Impact of Residual Compositional Inhomogeneities on the MCT Material Properties for IR Detectors
Abstract
1. Introduction
2. Materials and Methods
- Sample MW with a planned x = 0.29 at a cutoff wavelength of 4.5 μm at 300 K,
- Sample SW with a planned x = 0.37 at a cutoff wavelength of 3.2 μm at 300 K.
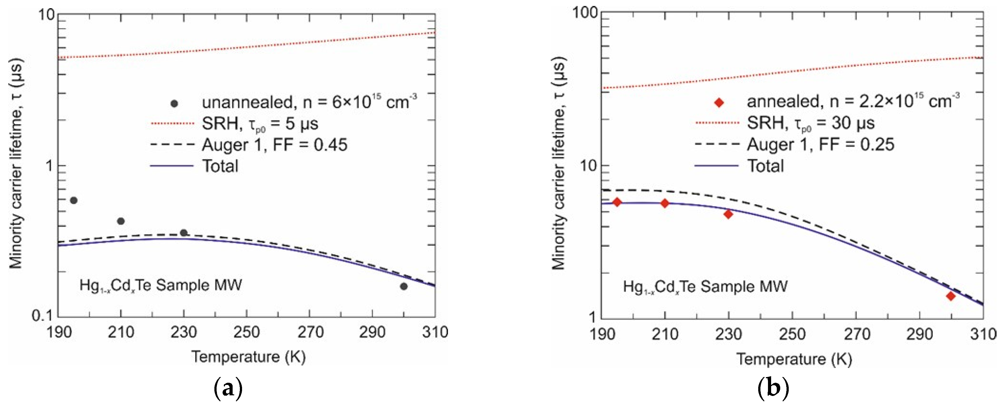
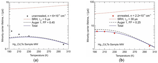
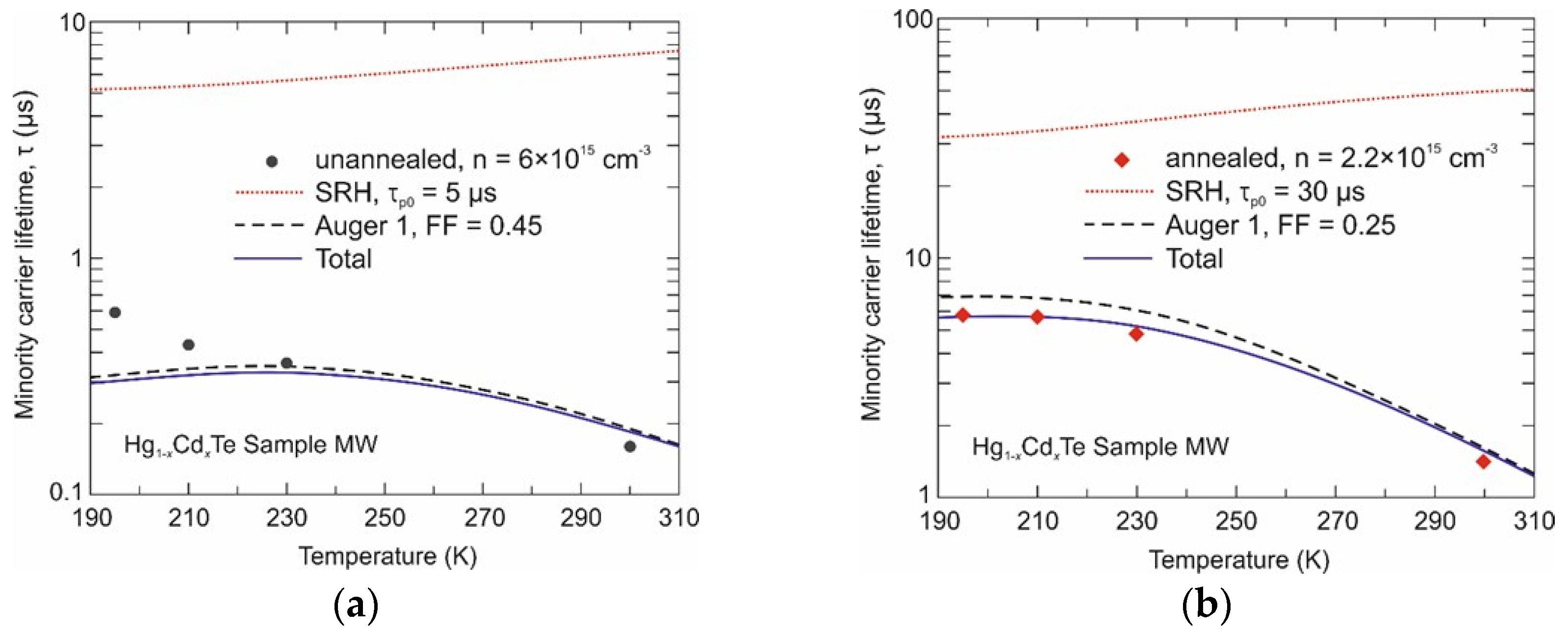
3. Results and Discussion
- MW: ≈ 5.5 × 1015 cm−3 and 2.2 × 1015 cm−3,
- SW: ≈ 5 × 1015 cm−3 and 1.9 × 1015 cm−3.
- MW: ≈ 6.0 × 1015 cm−3 and 2.2 × 1015 cm−3,
- SW: ≈ 6.2 × 1015 cm−3 and 1.9 × 1015 cm−3.
- Blue shift of the long wavelength photoresponse cutoff. This is probably due to the material homogenization that leads to an increase in the bandgap in HgTe-rich parts of the post-IMP periodic structures,
- Dramatic increase in the responsivity by much more than one order of magnitude.
4. Conclusions
Author Contributions
Funding
Data Availability Statement
Acknowledgments
Conflicts of Interest
Appendix A
References
- Irvine, S.; Mullin, J. The growth by MOVPE and characterisation of CdxHg1−xTe. J. Cryst. Growth 1981, 55, 107–115. [Google Scholar] [CrossRef]
- Zanio, K.; Massopust, T. Interdiffusion in HgCdTe/CdTe structures. J. Electron. Mater. 1986, 15, 103–109. [Google Scholar] [CrossRef]
- Tang, M.S.; Stevenson, D.A. Interdiffusion behaviour of HgTe-CdTe junctions. Appl. Phys. Lett. 1987, 50, 1272–1274. [Google Scholar] [CrossRef]
- Holander-Gleixner, S.; Robinson, H.; Helms, C. Simulation of HgTe/CdTe interdiffusion using fundamental point defect mechanisms. J. Electron. Mater. 1998, 27, 672–679. [Google Scholar] [CrossRef]
- Piotrowski, A.; Madejczyk, P.; Gawron, W.; Klos, K.; Pawluczyk, J.; Rutkowski, J.; Piotrowski, J.; Rogalski, A. Progress in MOCVD growth of HgCdTe heterostructures for uncooled infrared photodetectors. Infrared Phys. Technol. 2007, 49, 173–182. [Google Scholar] [CrossRef]
- Bevan, M.; Greggi, J.; Doyle, N. Structural studies of HgCdTe grown by MOCVD on lattice-matched substrates. J. Mater. Res. 1990, 5, 1475–1479. [Google Scholar] [CrossRef]
- Hoke, W.E.; Traczewski, R. Metal-organic vapor deposition of CdTe and HgCdTe films. J. Appl. Phys. 1983, 54, 5087–5089. [Google Scholar] [CrossRef]
- Schmit, J.L. MOCVD growth of CdTe and HgCdTe. J. Vac. Sci. Technol. A 1985, 3, 89–92. [Google Scholar] [CrossRef]
- Irvine, S.; Bajaj, J.; Sankur, H. Complete in situ laser monitoring of MOCVD HgCdTe/CdTe/ZnTe growth onto GaAs substrates. J. Cryst. Growth 1992, 124, 654–663. [Google Scholar] [CrossRef]
- Maxey, C.; Jones, C.; Metcalfe, N. Growth of fully doped HgCdTe heterostructures using a novel iodine doping source to achieve improved device performance at elevated temperatures. J. Electron. Mater. 1996, 25, 1276–1285. [Google Scholar] [CrossRef]
- Izhnin, I.; Mynbaev, K.; Voitsekhovsky, A.; Korotaev, A.; Fitsych, O.; Pociask-Bialy, M.; Dvoretsky, S. Background donor concentration in HgCdTe. Opto-Electron. Rev. 2015, 23, 200–207. [Google Scholar] [CrossRef]
- Wu, O.K.; Kamath, G.S. An overview of HgCdTe MBE technology. Semicond. Sci. Technol. 1991, 6, C6. [Google Scholar] [CrossRef]
- Rogalski, A.; Kopytko, M.; Martyniuk, P.; Hu, W. Comparison of performance limits of HOT HgCdTe photodiodes with 2D material infrared photodetectors. Opto-Electron. Rev. 2020, 28, 82–92. [Google Scholar]
- Kopytko, M.; Keblowski, A.; Gawron, W.; Pusz, W. LWIR HgCdTe barrier photodiode with Auger-suppression. Semicond. Sci. Technol. 2016, 31, 035025. [Google Scholar] [CrossRef]
- Yang, L.; Guo, H.; Shen, C.; Xie, H.; Yang, D.; Zhu, L.; Wang, F.; Sun, Q.; Chen, L.; Lin, C.; et al. Modeling and characteristics of MWIR HgCdTe APD at different post-annealing processes. Infrared Phys. Technol. 2022, 127, 104413. [Google Scholar] [CrossRef]
- Ajisawa, A.; Oda, N. Improvement in HgCdTe Diode Characteristics by Low Temperature Post-Implantation Annealing. J. Electron. Mater. 1995, 24, 1105–1111. [Google Scholar] [CrossRef]
- Attolin, G.; De Melo, O.; Leccabue, F.; Panizzieri, R.; Pelosi, C. Isovpe growth, post-growth annealing and characterization of Hg1−xCdxTe layers. Mater. Lett. 1989, 8, 313–317. [Google Scholar] [CrossRef]
- Simingalam, S.; Brill, G.; Wijewarnasuriya, P.; Rao, M.V. Low Temperature, Rapid Thermal Cycle Annealing of HgCdTe Grown on CdTe/Si. J. Electron. Mater. 2015, 44, 1321–1326. [Google Scholar] [CrossRef]
- Korotaev, A.G.; Izhnin, I.I.; Mynbaev, K.D.; Voitsekhovskii, A.V.; Nesmelov, S.N.; Dzyadukh, S.M.; Fitsych, O.I.; Varavin, V.S.; Dvoretsky, S.A.; Mikhailov, N.N.; et al. Hall-effect studies of modification of HgCdTe surface properties with ion implantation and thermal annealing. Surf. Coat. Technol. 2020, 393, 125721. [Google Scholar] [CrossRef]
- Edwall, D.D.; DeWames, R.E.; McLevige, W.V.; Pasko, J.G.; Arias, J.M. Measurement of minority carrier lifetime in n-type MBE HgCdTe and its dependence on annealing. J. Electron. Mater. 1998, 27, 698–702. [Google Scholar] [CrossRef]
- He, L.; Wang, S.L.; Yang, J.R.; Yu, M.F.; Wu, Y.; Chen, X.Q.; Fang, W.Z.; Qiao, Y.M.; Gui, Y.; Chu, J. Molecular beam epitaxy (MBE) in situ high-temperature annealing of HgCdTe. J. Cryst. Growth 1999, 201–202, 524–529. [Google Scholar] [CrossRef]
- Michalowski, P.; Anayee, M.; Mathis, T.S.; Kozdra, S.; Wójcik, A.; Hantanasirisakul, K.; Jóźwik, I.; Piątkowska, A.; Możdżonek, M.; Malinowska, A.; et al. Oxycarbide MXenes and MAX phases identification using monoatomic layer-by-layer analysis with ultralow-energy secondary-ion mass spectrometry. Nat. Nanotechnol. 2022, 17, 1192–1197. [Google Scholar] [CrossRef] [PubMed]
- Hansen, G.L.; Schmit, J.; Casselman, T. Energy gap versus alloy composition and temperature in Hg1−xCdxTe. J. Appl. Phys. 1982, 53, 7099–7100. [Google Scholar] [CrossRef]
- Najafi Bavani, S.; Akhoundi Khezrabad, M. The electron mobility in HgCdTe (x = 0.22 and 0.3): A comparison between experimental and theoretical results. Mater. Res. Bull. 2021, 140, 111325. [Google Scholar] [CrossRef]
- Jozwikowski, K.; Kopytko, M.; Rogalski, A. Numerical estimations of carrier generation-recombination processes and photon recycling effect in 3 μm n-on-p HgCdTe photodiodes. Opt. Eng. 2011, 50, 061003. [Google Scholar] [CrossRef]
- Anderson, W. Absorption constant of PbSnTe and HgCdTe alloys. Infrared Phys. 1980, 20, 363–372. [Google Scholar] [CrossRef]
- Kopytko, M.; Sobieski, J.; Gawron, W.; Keblowski, A.; Piotrowski, J. Minority carrier lifetime in HgCdTe(100) epilayers and their potential application to background radiation limited MWIR photodiodes. Semicond. Sci. Technol. 2021, 36, 055003. [Google Scholar] [CrossRef]
- Kinch, M.A. State-of-the-Art Infrared Detector Technology; SPIE Press Book; SPIE: Bellingham, WA, USA, 2014. [Google Scholar]
- Van Roosbroeck, W.; Shockley, W. Photon-Radiative Recombination of Electrons and Holes in Germanium. Phys. Rev. 1954, 94, 1558–1560. [Google Scholar] [CrossRef]
- Hansen, G.L.; Schmit, J.L. Calculation of intrinsic carrier concentration in HgCdTe. J. Appl. Phys. 1983, 54, 1639–1640. [Google Scholar] [CrossRef]
- Beattie, A.R.; Landsberg, P.T.; Fröhlich, H. Auger effect in semiconductors. Proc. R. Soc. Lond. Ser. A Math. Phys. Sci. 1959, 249, 16–29. [Google Scholar] [CrossRef]
- Shockley, W.; Read, W.T. Statistics of the Recombinations of Holes and Electrons. Phys. Rev. 1952, 87, 835–842. [Google Scholar] [CrossRef]
- Hall, R.N. Electron-Hole Recombination in Germanium. Phys. Rev. 1952, 87, 387. [Google Scholar] [CrossRef]





| Parameter | SW | MW |
|---|---|---|
| x | 0.355 | 0.292 |
| (0.370) | (0.297) | |
| λcut-off (300 K) | 3.52 μm | 4.84 μm |
| (3.32 μm) | (4.66 μm) | |
| XRD rocking curve FWHM | 307 arcsec | - |
| (230 arcsec) | - | |
| SRH lifetime | 0.5 μs | 5 μs |
| (2 μs) τp0 = τn0 (200 μs) τn0 >> τp0 | (30 μs) | |
| Total lifetime at 300 K | 0.73 μs | 0.15 μs |
| (4.84 μs) | (1.41 μs) | |
| Hall concentration at 80 K | 5.0 × 1015 cm−3 | 5.5 × 1015 cm−3 |
| (1.9 × 1015 cm−3) | (2.2 × 1015 cm−3) |
Disclaimer/Publisher’s Note: The statements, opinions and data contained in all publications are solely those of the individual author(s) and contributor(s) and not of MDPI and/or the editor(s). MDPI and/or the editor(s) disclaim responsibility for any injury to people or property resulting from any ideas, methods, instructions or products referred to in the content. |
© 2024 by the authors. Licensee MDPI, Basel, Switzerland. This article is an open access article distributed under the terms and conditions of the Creative Commons Attribution (CC BY) license (https://creativecommons.org/licenses/by/4.0/).
Share and Cite
Sobieski, J.; Kopytko, M.; Matuszelański, K.; Gawron, W.; Piotrowski, J.; Martyniuk, P. Impact of Residual Compositional Inhomogeneities on the MCT Material Properties for IR Detectors. Sensors 2024, 24, 2837. https://doi.org/10.3390/s24092837
Sobieski J, Kopytko M, Matuszelański K, Gawron W, Piotrowski J, Martyniuk P. Impact of Residual Compositional Inhomogeneities on the MCT Material Properties for IR Detectors. Sensors. 2024; 24(9):2837. https://doi.org/10.3390/s24092837
Chicago/Turabian StyleSobieski, Jan, Małgorzata Kopytko, Kacper Matuszelański, Waldemar Gawron, Józef Piotrowski, and Piotr Martyniuk. 2024. "Impact of Residual Compositional Inhomogeneities on the MCT Material Properties for IR Detectors" Sensors 24, no. 9: 2837. https://doi.org/10.3390/s24092837
APA StyleSobieski, J., Kopytko, M., Matuszelański, K., Gawron, W., Piotrowski, J., & Martyniuk, P. (2024). Impact of Residual Compositional Inhomogeneities on the MCT Material Properties for IR Detectors. Sensors, 24(9), 2837. https://doi.org/10.3390/s24092837

