On the Influence of Humidity on a Thermal Conductivity Sensor for the Detection of Hydrogen
Abstract
1. Introduction
2. Materials and Methods
2.1. Theoretical Background
2.2. Thermal Conductivity Sensors
2.3. Gas Measuring Station
2.4. Measurement Methods
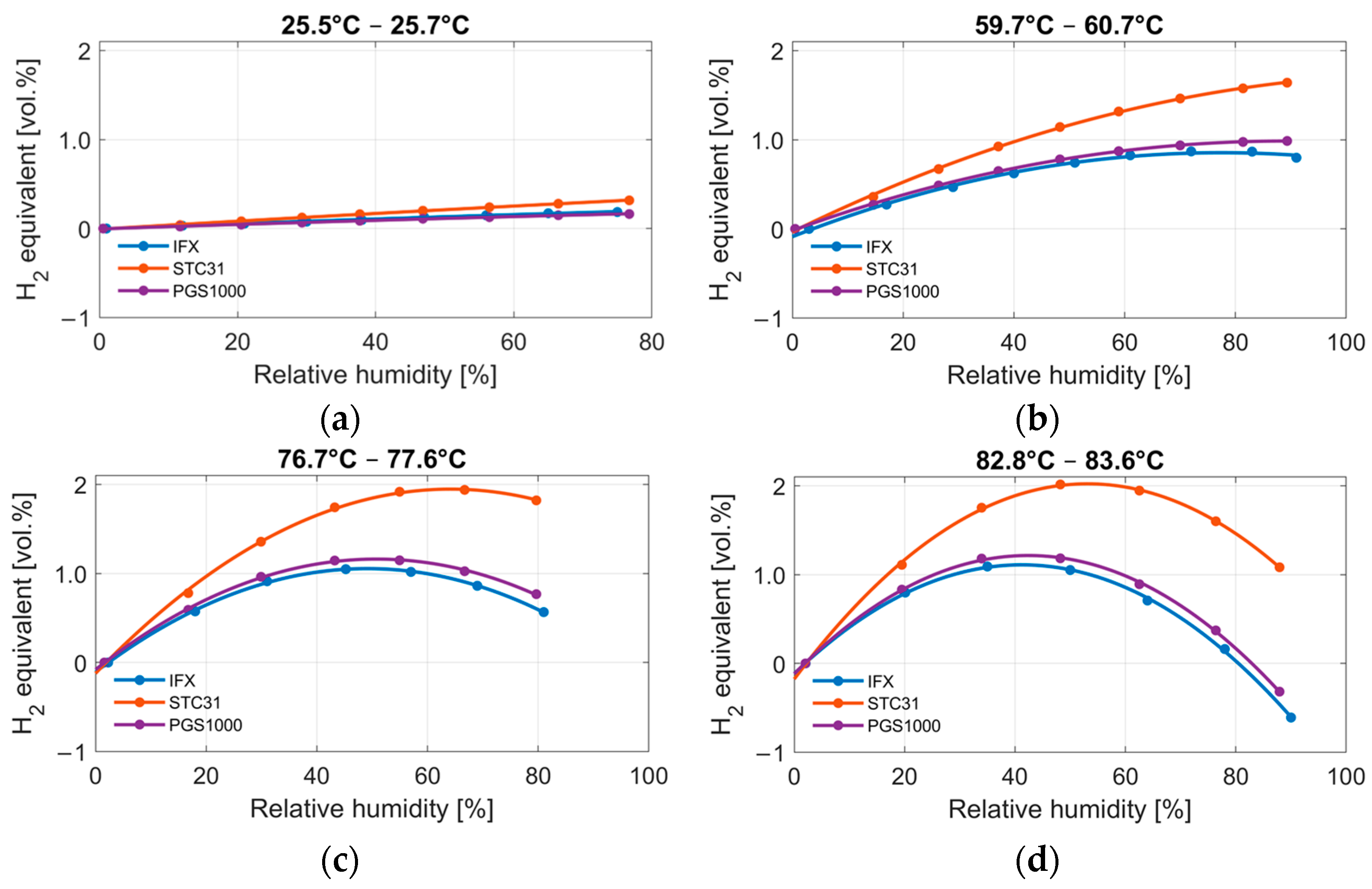
3. Results
Humidity Response
4. Discussion
5. Conclusions
Author Contributions
Funding
Institutional Review Board Statement
Informed Consent Statement
Data Availability Statement
Acknowledgments
Conflicts of Interest
References
- Robinson, C.; Davies, A.; Wainwright, J. Global Hydrogen Balance: Outlook to 2050—Inflections and Green Rules; IHS Markit: London, UK, 2022. [Google Scholar]
- National Hydrogen Strategy Update; Federal Ministry for Economic Affairs and Climate Action: Berlin, Germany, 2023.
- Shahid, S. A Review of Thermal Runaway Prevention and Mitigation Strategies for Lithium-Ion Batteries. Energy Convers. Manag. 2022, 16, 100310. [Google Scholar] [CrossRef]
- Hübert, T.; Boon-Brett, L.; Black, G.; Banach, U. Hydrogen Sensors—A Review. Sens. Actuators B Chem. 2011, 157, 329–352. [Google Scholar] [CrossRef]
- Udoetok, E.S. Thermal conductivity of binary mixtures of gases. Front. Heat Mass Transf. 2013, 4, 1–5. [Google Scholar] [CrossRef]
- Mathur, S.; Tondon, P.K.; Saxena, S.C. Thermal Conductivity of Binary, Ternary and Quaternary Mixtures of Rare Gases. Mol. Phys. 1967, 12, 569–579. [Google Scholar] [CrossRef]
- Zhukov, V.P.; Pätz, M. On Thermal Conductivity of Gas Mixtures Containing Hydrogen. Heat Mass Transf. 2017, 53, 2219–2222. [Google Scholar] [CrossRef]
- Mason, E.A.; Saxena, S.C. Approximate Formula for the Thermal Conductivity of Gas Mixtures. Phys. Fluids 1958, 1, 361. [Google Scholar] [CrossRef]
- Tsilingiris, P.T. Thermophysical and Transport Properties of Humid Air at Temperature Range between 0 and 100 °C. Energy Convers. Manag. 2008, 49, 1098–1110. [Google Scholar] [CrossRef]
- Melling, A.; Noppenberger, S.; Still, M.; Venzke, H. Interpolation Correlations for Fluid Properties of Humid Air in the Temperature Range 100 °C to 200 °C. J. Phys. Chem. Ref. Data 1997, 26, 1111–1123. [Google Scholar] [CrossRef]
- Tondon, P.K.; Saxena, S.C. Calculation of Thermal Conductivity of Polar-Nonpolar Gas Mixtures. Appl. Sci. Res. 1968, 19, 163–170. [Google Scholar] [CrossRef]
- Lindsay, A.L.; Bromley, L.A. Thermal Conductivity of Gas Mixtures. Ind. Eng. Chem. 1950, 42, 1508–1511. [Google Scholar] [CrossRef]
- Muckenfuss, C.; Curtiss, C.F. Thermal Conductivity of Multicomponent Gas Mixtures. J. Chem. Phys. 1958, 29, 1273–1277. [Google Scholar] [CrossRef]
- Mason, E.A.; Saxena, S.C. Thermal Conductivity of Multicomponent Gas Mixtures. II. J. Chem. Phys. 1959, 31, 511–514. [Google Scholar] [CrossRef]
- Emperhoff, S.; Eberl, M.; Barraza, J.P.; Brandl, F.; Wöllenstein, J. Differential Thermal Conductivity Hydrogen Sensor. In Proceedings of the Sensor and Measurement Science International 2023, Nürnberg, Germany, 8–11 May 2023; pp. 65–66. [Google Scholar]
- Datasheet STC31—CO2 Sensor Based on Thermal Conductivity 2020. Available online: https://sensirion.com/media/documents/7B1D0EA7/61652CD0/Sensirion_Thermal_Conductivity_Datasheet_STC31_D1_1.pdf (accessed on 16 December 2023).
- PGS1000 Series—MEMS Thermal Conductivity Hydrogen Sensor 2022. Available online: https://posifatech.com/wp-content/uploads/2020/11/Datasheet_PGS1000_MEMS_TC_H2_RevA_C0.5.pdf (accessed on 16 December 2023).
- Gruess, H.; Schmick, H. Wissenschaftliche Veröffentlichungen aus dem Siemens-Konzern; Springer: Berlin, Germany, 1928; Volume 7. [Google Scholar]
- Vargaftik, N. Handbook of Physical Properties of Liquids and Gases—Pure Substances and Mixtures; Hemispere: Washington, DC, USA, 1983. [Google Scholar]
- Kimura, M. Absolute-Humidity Sensing Independent of the Ambient Temperature. Sens. Actuators Phys. 1996, 55, 7–11. [Google Scholar] [CrossRef]










Disclaimer/Publisher’s Note: The statements, opinions and data contained in all publications are solely those of the individual author(s) and contributor(s) and not of MDPI and/or the editor(s). MDPI and/or the editor(s) disclaim responsibility for any injury to people or property resulting from any ideas, methods, instructions or products referred to in the content. |
© 2024 by the authors. Licensee MDPI, Basel, Switzerland. This article is an open access article distributed under the terms and conditions of the Creative Commons Attribution (CC BY) license (https://creativecommons.org/licenses/by/4.0/).
Share and Cite
Emperhoff, S.; Eberl, M.; Dwertmann, T.; Wöllenstein, J. On the Influence of Humidity on a Thermal Conductivity Sensor for the Detection of Hydrogen. Sensors 2024, 24, 2697. https://doi.org/10.3390/s24092697
Emperhoff S, Eberl M, Dwertmann T, Wöllenstein J. On the Influence of Humidity on a Thermal Conductivity Sensor for the Detection of Hydrogen. Sensors. 2024; 24(9):2697. https://doi.org/10.3390/s24092697
Chicago/Turabian StyleEmperhoff, Sophie, Matthias Eberl, Tim Dwertmann, and Jürgen Wöllenstein. 2024. "On the Influence of Humidity on a Thermal Conductivity Sensor for the Detection of Hydrogen" Sensors 24, no. 9: 2697. https://doi.org/10.3390/s24092697
APA StyleEmperhoff, S., Eberl, M., Dwertmann, T., & Wöllenstein, J. (2024). On the Influence of Humidity on a Thermal Conductivity Sensor for the Detection of Hydrogen. Sensors, 24(9), 2697. https://doi.org/10.3390/s24092697
