Robust Cooperative Fault-Tolerant Control for Uncertain Multi-Agent Systems Subject to Actuator Faults
Abstract
1. Introduction
- (1)
- A type of intermediate variable observer has been designed for each agent to estimate the fault and system state information. The fault estimation matching condition is not necessary for this approach, which is also applicable to time-varying faults.
- (2)
- In the observer design process, both the centralized and distributed estimation errors of the agents are considered, which has the advantages of centralized and distributed structures and can enhance design flexibility and improve estimation performance.
- (3)
- In the current work, it is not necessary to obtain the bounds of faults and their derivatives. Consequently, the distributed fault estimation method proposed in this paper has great generality and practicality.
- (4)
- Compared with most existing results, this FE and FTC scheme is suitable for both directed and undirected MASs.
2. Problem Statement
3. Intermediate Observer Design
4. Estimation Error Analysis
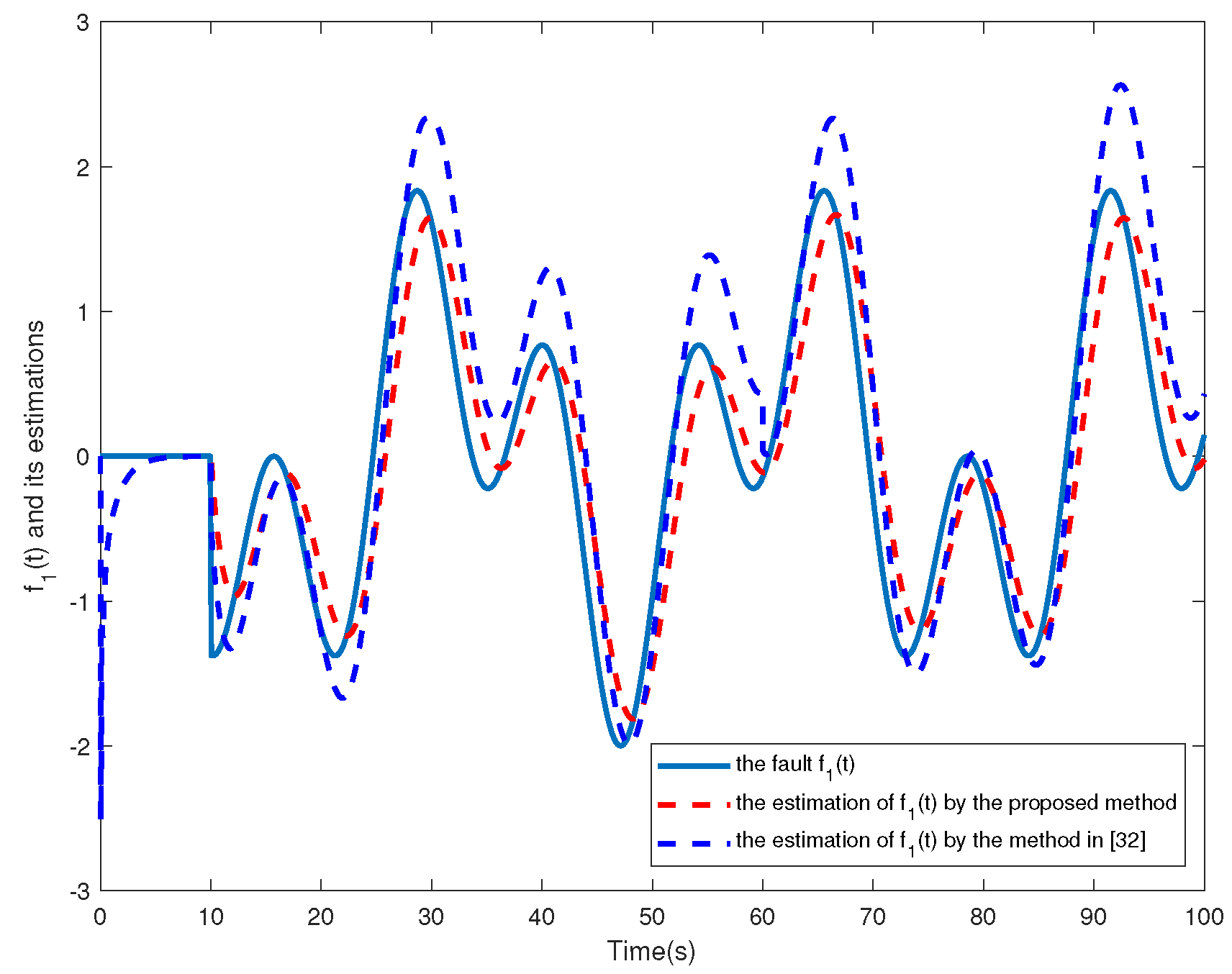
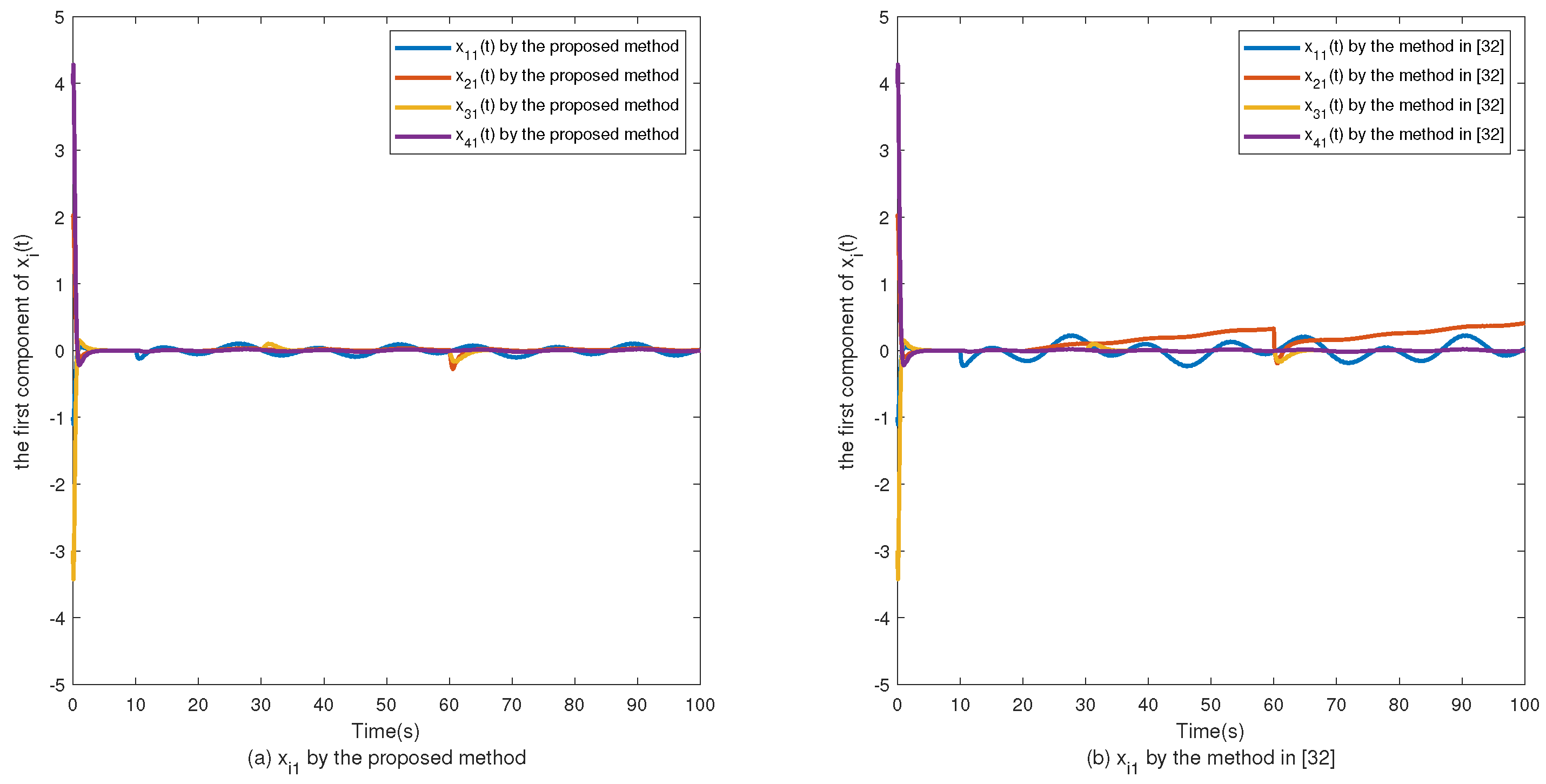
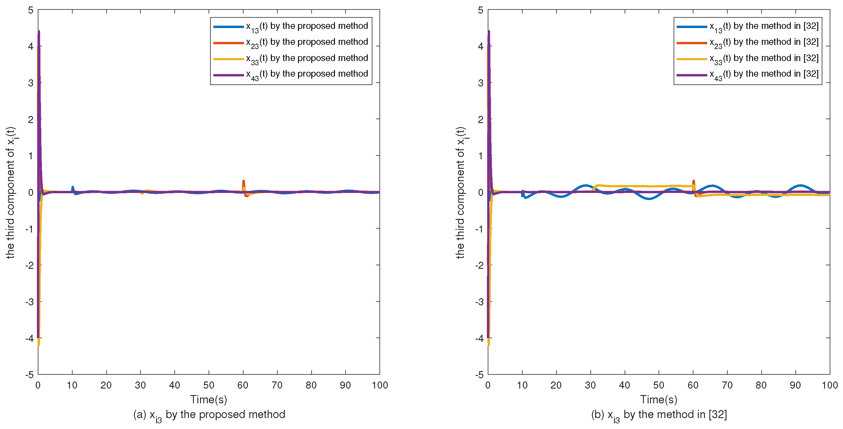
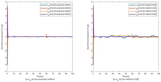
5. Numerical Simulation
6. Conclusions
Author Contributions
Funding
Institutional Review Board Statement
Informed Consent Statement
Data Availability Statement
Conflicts of Interest
References
- Dunbabin, M.; Marques, L. Robots for environmental monitoring: Significant advancements and applications. IEEE Robot. Autom. Mag. 2012, 19, 24–39. [Google Scholar] [CrossRef]
- Kamel, M.A.; Yu, X.; Zhang, Y. Formation control and coordination of multiple unmanned ground vehicles in normal and faulty situations: A review. Annu. Rev. Control 2020, 49, 128–144. [Google Scholar] [CrossRef]
- Chen, F.; Ren, W. On the control of multi-agent systems: A survey. Found. Trends Syst. Control 2019, 6, 339–499. [Google Scholar] [CrossRef]
- Loia, V.; Vaccaro, A. Decentralized economic dispatch in smart grids by self-organizing dynamic agents. IEEE Trans. Syst. Man Cybern. Syst. 2013, 44, 397–408. [Google Scholar] [CrossRef]
- Chang, J.; Guo, Z.; Cieslak, J.; Henry, D. Robust fault accommodation strategy of the reentry vehicle: A disturbance estimate-triggered approach. Nonlinear Dyn. 2021, 103, 2605–2625. [Google Scholar] [CrossRef]
- Qin, J.; Ma, Q.; Shi, Y.; Wang, L. Recent advances in consensus of multi-agent systems: A brief survey. IEEE Trans. Ind. Electron. 2016, 64, 4972–4983. [Google Scholar] [CrossRef]
- Qin, J.; Zhang, G.; Zheng, W.X.; Kang, Y. Adaptive sliding mode consensus tracking for second-order nonlinear multiagent systems with actuator faults. IEEE Trans. Cybern. 2018, 49, 1605–1615. [Google Scholar] [CrossRef] [PubMed]
- Yang, H.; Han, Q.L.; Ge, X.; Ding, L.; Xu, Y.; Jiang, B.; Zhou, D. Fault-tolerant cooperative control of multiagent systems: A survey of trends and methodologies. IEEE Trans. Ind. Inform. 2019, 16, 4–17. [Google Scholar] [CrossRef]
- Ding, S.X. Advanced Methods for Fault Diagnosis and Fault-Tolerant Control; Springer: Berlin/Heidelberg, Germany, 2021. [Google Scholar]
- Varga, A. Solving fault diagnosis problems. In Studies in Systems, Decision and Control, 1st ed.; Springer International Publishing: Berlin/Heidelberg, Germany, 2017; Volume 84, pp. 8–9. [Google Scholar]
- Gao, Z. Fault estimation and fault-tolerant control for discrete-time dynamic systems. IEEE Trans. Ind. Electron. 2015, 62, 3874–3884. [Google Scholar] [CrossRef]
- Liu, C.; Jiang, B.; Patton, R.J.; Zhang, K. Hierarchical-structure-based fault estimation and fault-tolerant control for multiagent systems. IEEE Trans. Control Netw. Syst. 2018, 6, 586–597. [Google Scholar] [CrossRef]
- Zhao, S.; Huang, B.; Zhao, C. Online probabilistic estimation of sensor faulty signal in industrial processes and its applications. IEEE Trans. Ind. Electron. 2020, 68, 8853–8862. [Google Scholar] [CrossRef]
- Shi, Y.; Hua, Y.; Yu, J.; Dong, X.; Ren, Z. Fully data-driven robust output formation tracking control for heterogeneous multiagent system with multiple leaders and actuator faults. IEEE Trans. Cybern. 2022, 54, 3183–3196. [Google Scholar] [CrossRef] [PubMed]
- Zhang, K.; Jiang, B.; Chen, M.; Yan, X.G. Distributed fault estimation and fault-tolerant control of interconnected systems. IEEE Trans. Cybern. 2019, 51, 1230–1240. [Google Scholar] [CrossRef] [PubMed]
- Chadli, M.; Davoodi, M.; Meskin, N. Distributed state estimation, fault detection and isolation filter design for heterogeneous multi-agent linear parameter-varying systems. IET Control Theory Appl. 2017, 11, 254–262. [Google Scholar] [CrossRef]
- Gao, M.; Yang, S.; Sheng, L. Distributed fault estimation for time-varying multi-agent systems with sensor faults and partially decoupled disturbances. IEEE Access 2019, 7, 147905–147913. [Google Scholar] [CrossRef]
- Menon, P.P.; Edwards, C. Robust fault estimation using relative information in linear multi-agent networks. IEEE Trans. Autom. Control 2013, 59, 477–482. [Google Scholar] [CrossRef]
- Han, J.; Liu, X.; Gao, X.; Wei, X. Intermediate observer-based robust distributed fault estimation for nonlinear multiagent systems with directed graphs. IEEE Trans. Ind. Inform. 2019, 16, 7426–7436. [Google Scholar] [CrossRef]
- Liu, X.; Gao, X.; Han, J. Distributed fault estimation for a class of nonlinear multiagent systems. IEEE Trans. Syst. Man Cybern. Syst. 2018, 50, 3382–3390. [Google Scholar] [CrossRef]
- Liu, Q.; Zhang, K.; Jiang, B. Fixed-time fault estimation and prescribed performance fault-tolerant control for interconnected systems. IEEE Trans. Cybern. 2022, 54, 1084–1095. [Google Scholar] [CrossRef]
- Zhu, J.W.; Yang, G.H.; Wang, H.; Wang, F. Fault estimation for a class of nonlinear systems based on intermediate estimator. IEEE Trans. Autom. Control 2015, 61, 2518–2524. [Google Scholar] [CrossRef]
- Li, J.N.; Ren, W. Finite-horizon H∞ fault-tolerant constrained consensus for multiagent systems with communication delays. IEEE Trans. Cybern. 2019, 51, 416–426. [Google Scholar] [CrossRef] [PubMed]
- Li, J.N.; Liu, X.; Ru, X.F.; Xu, X. Disturbance rejection adaptive fault-tolerant constrained consensus for multi-agent systems with failures. IEEE Trans. Circuits Syst. II Express Briefs 2020, 67, 3302–3306. [Google Scholar] [CrossRef]
- Zuo, Z.; Zhang, J.; Wang, Y. Adaptive fault-tolerant tracking control for linear and Lipschitz nonlinear multi-agent systems. IEEE Trans. Ind. Electron. 2014, 62, 3923–3931. [Google Scholar] [CrossRef]
- Deng, C.; Yang, G.H. Adaptive fault-tolerant control for a class of nonlinear multi-agent systems with actuator faults. J. Frankl. Inst. 2017, 354, 4784–4800. [Google Scholar] [CrossRef]
- Deng, C.; Yang, G.H. Distributed adaptive fault-tolerant control approach to cooperative output regulation for linear multi-agent systems. Automatica 2019, 103, 62–68. [Google Scholar] [CrossRef]
- Li, J.N.; Feng, H.; Wang, Y.; Liu, G.Y. A novel failure-distribution-dependent non-fragile H∞ fault-tolerant load frequency control for faulty multi-area power systems. IEEE Trans. Power Syst. 2023, 39, 2936–2946. [Google Scholar] [CrossRef]
- Aryankia, K.; Selmic, R.R. Formation control and target tracking for a class of nonlinear multi-agent systems using neural networks. In Proceedings of the 2020 European Control Conference (ECC), St. Petersburg, Russia, 12–15 May 2020; pp. 160–165. [Google Scholar]
- Cui, Y.; Liu, X.; Deng, X.; Wang, Q. Observer-based adaptive fuzzy formation control of nonlinear multi-agent systems with nonstrict-feedback form. Int. J. Fuzzy Syst. 2021, 23, 680–691. [Google Scholar] [CrossRef]
- Liu, C.; Jiang, B.; Zhang, K. Distributed adaptive observers-based fault estimation for leader-following multi-agent linear uncertain systems with actuator faults. In Proceedings of the 2016 IEEE Chinese Guidance, Navigation and Control Conference (CGNCC), Nanjing, China, 12–14 August 2016; pp. 1162–1167. [Google Scholar]
- Liu, Y.; Yang, G.H. Integrated design of fault estimation and fault-tolerant control for linear multi-agent systems using relative outputs. Neurocomputing 2019, 329, 468–475. [Google Scholar] [CrossRef]
- Huang, S.J.; Yang, G.H. Fault tolerant controller design for T–S fuzzy systems with time-varying delay and actuator faults: A K-step fault-estimation approach. IEEE Trans. Fuzzy Syst. 2014, 22, 1526–1540. [Google Scholar] [CrossRef]








Disclaimer/Publisher’s Note: The statements, opinions and data contained in all publications are solely those of the individual author(s) and contributor(s) and not of MDPI and/or the editor(s). MDPI and/or the editor(s) disclaim responsibility for any injury to people or property resulting from any ideas, methods, instructions or products referred to in the content. |
© 2024 by the authors. Licensee MDPI, Basel, Switzerland. This article is an open access article distributed under the terms and conditions of the Creative Commons Attribution (CC BY) license (https://creativecommons.org/licenses/by/4.0/).
Share and Cite
Shi, J.; Chen, X.; Xing, S.; Liu, A.; Chen, C. Robust Cooperative Fault-Tolerant Control for Uncertain Multi-Agent Systems Subject to Actuator Faults. Sensors 2024, 24, 2651. https://doi.org/10.3390/s24082651
Shi J, Chen X, Xing S, Liu A, Chen C. Robust Cooperative Fault-Tolerant Control for Uncertain Multi-Agent Systems Subject to Actuator Faults. Sensors. 2024; 24(8):2651. https://doi.org/10.3390/s24082651
Chicago/Turabian StyleShi, Jiantao, Xiang Chen, Shuangqing Xing, Anning Liu, and Chuang Chen. 2024. "Robust Cooperative Fault-Tolerant Control for Uncertain Multi-Agent Systems Subject to Actuator Faults" Sensors 24, no. 8: 2651. https://doi.org/10.3390/s24082651
APA StyleShi, J., Chen, X., Xing, S., Liu, A., & Chen, C. (2024). Robust Cooperative Fault-Tolerant Control for Uncertain Multi-Agent Systems Subject to Actuator Faults. Sensors, 24(8), 2651. https://doi.org/10.3390/s24082651

