RobEns: Robust Ensemble Adversarial Machine Learning Framework for Securing IoT Traffic
Abstract
1. Introduction
- ▪
- What are the main elements of a robust ensemble AML framework that enhances ML-based IDS in an IoT environment?
- ▪
- How would black-box attacks be employed in hardening ML-based IDS within the IoT context?
- ▪
- How can dual defense methods be associated with an ensemble AML framework for ML-based IDS in an IoT environment?
- ▪
- Can an ensemble AML framework designed for IoT traffic intrusion detection enhance performance without affecting the accuracy of the original examples?
- ▪
- Design and implementation of a robust ensemble framework, RobEns, that integrates attack and defense strategies for enhancing the detection rate of multi-class IDS models within the IoT context.
- ▪
- Comprehensive investigation of state-of-the-art IDS models, namely, Support Vector Machine (SVM), Logistic Regression (LR), Multilayer Perceptron (MLP), and Random Forest (RF) [4]. In addition, two novel ensemble learning models are considered to improve the proposed system’s performance further. The experiments conducted to validate and assess the proposed work rely on three relevant benchmarking datasets, namely UNSW-NB15 [23], ToN-IoT [24], and Edge-IIoT [25].
- ▪
- Realistic deployment of four state-of-the-art AML black-box attack strategies for evaluating adversarial accuracy. In particular, black-box settings of the Fast Gradient Sign Method (FGSM) [26], Carlini and Wagner (C&W) [27], Zeroth-Order Optimization (ZOO) [28], and HopSkipJump [29] attacks are utilized in this research.
- ▪
- A novel dual defense methodology where data-based and model-based defense techniques are jointly considered for strengthening IDS performance and proving substantial advantages of the proposed framework. Namely, Feature Squeezing, Adversarial Training, and Ensemble Learning Models are considered.
2. Background and Related Work
2.1. ML-Based Intrusion Detection Systems for IoT Networks
2.2. AML Attacks and Defense for IoT-Based IDSs
2.3. AML-Based Frameworks
2.4. Poisitioning the Paper
3. A Proposed Robust Ensemble Adversarial Machine Learning Framework for Securing IoT Traffic
3.1. Framework Overview
3.2. Model Selection and Training for IoT-Based IDSs
- -
- Logistic Regression (LR): A supervised probabilistic algorithm that performs classification using maximum likelihood. It relies on logistic sigmoids for both binary classification and multi-class classification tasks. It predicts the class of target value by assigning a threshold and output probabilities. A nonlinear transformation is applied to convert the absolute values into a range between zero and one [38].
- -
- Support Vector Machine (SVM): A supervised non-probabilistic algorithm that performs both classification and regression tasks. It defines the dividing hyperplane where the input variable can be separated by the maximum margin. The hyperplane can be a linear or a nonlinear function of the input variable. This facilitates handling both binary and multi-class prediction using the kernel trick that includes linear, polynomial, and Radial Basis Functions (RBFs) [4,38].
- -
- Random Forest (RF): A supervised ensemble tree-based algorithm that utilizes an army of tree-like structures for performing both classification and regression tasks. Each individual tree is trained on a randomly chosen subset from the training set. The quality of such trees is based on node split, where specific split criteria are employed, such as gini and entropy. The collective decisions of the tree army have very good accuracy in addition to fast and scalable performance on large datasets [4,38].
- -
- Multilayer Perceptron (MLP): An early deep learning architecture that consists of an input layer, a hidden layer, and an output layer. This neural network contains connections between the nodes of each layer in a forward direction. The connection reflects a weighted summation of the previous layer that requires adjustment and fine-tuning using a backpropagation algorithm. The generalization of the model is achieved using multiple techniques such as weight decay, early stopping, dropout, and others [4,38].
- -
- Ensemble Learning (EL): A collaborative learning method based on the wisdom of the crowd concept where collective decisions from multiple models are employed [12]. EL includes several main approaches, including “stacking” and “voting”. Stacking extends the bagging workflow by building a meta-model that combines, in an optimal manner, the final predictions of base models. Voting trains multiple base models in which initial predictions are determined independently by each model, and the final prediction is selected through averaging or majority voting [39]. In this study, stacking and voting are employed using MLP, SVM, and LR models that prove their efficiency individually in an IoT-based IDS context. This approach is assumed to construct stronger models that are harder to compromise compared to a traditional one [22].
3.3. Adversarial Example (AE) Generation
- -
- Black-box Setting of the Fast Gradient Sign Method (FGSM) Attack: It is a transfer-based attack with a local substitute model trained using queried information from the target model. The method utilizes the sign of the gradient in calculating the cost function, thereby generating adversarial examples to mislead the target model. It is a typical white-box attack method that relies on a first-order projected gradient descent algorithm. The adversarial example is constructed using -norm perturbation, taking into consideration the constraints on the maximal distortions. No iterative processes are performed, which yields its efficiency in terms of computational complexity [2,26]. Table 1 shows the attack parameters of the benchmark FGSM for all datasets.
- -
- Black-box Setting of Carlini and Wagner (C&W) Attack: It can be introduced as a transfer-based attack with a local substitute model in which the output is used to mislead a target model. This attack is considered one of the strongest attacks where adversarial examples are constructed using the -norm of Euclidean distance. The norm is applied for quantifying the difference between the original and adversarial examples, in which large distortions are penalized. The attack employs the Adam optimizer, starting points, and a tanh-nonlinearity function when performing an iterative targeted gradient attack. The attack has shown competitive performance in bypassing 10 detection methods intended to detect adversarial examples [19,27]. Table 2 shows the attack parameters of the benchmarks C&W for all datasets.
- -
- Zeroth-Order Optimization (ZOO) Attack: It can be defined as a score-based attack with an assumption of access to the prediction confidence only and a performance as effective as the Carlini and Wagner white-box attack. This attack does not use the gradient nor the smoothness of the target model’s output. The method performs an attack by minimizing the distance between the decision boundary and benign examples. A zeroth-order optimization algorithm is used with a randomized gradient-free method to minimize such distance and formulate the attack [28,41,42]. Table 3 shows the attack parameters of the benchmark ZOO for all datasets.
- -
- HopSkipJump Attack: It is a decision-based attack that relies on a novel estimation of gradient direction to generate adversarial examples given a defined perturbation range. The attack involves geometric progression and binary search for stepsize search and boundary search, respectively. The approach is hyperparameter-free for both targeted and untargeted attacks. Moreover, more complex settings, such as non-differentiable models or discrete input transformations, can be handled by this attack approach. Furthermore, it employs query-efficient algorithms that yield competitive performance for boundary attacks and strong defense mechanisms [22,29]. The parameters of the benchmark HopSkipJump attack considered for all datasets are reported in Table 4.
3.4. Defenses against Adversarial Attacks
- A.
- Module 1: Feature Squeezing-based Defense
- B.
- Module 2: Adversarial Training-based Defense
4. Experiments
4.1. Datasets and Evaluation Metrics
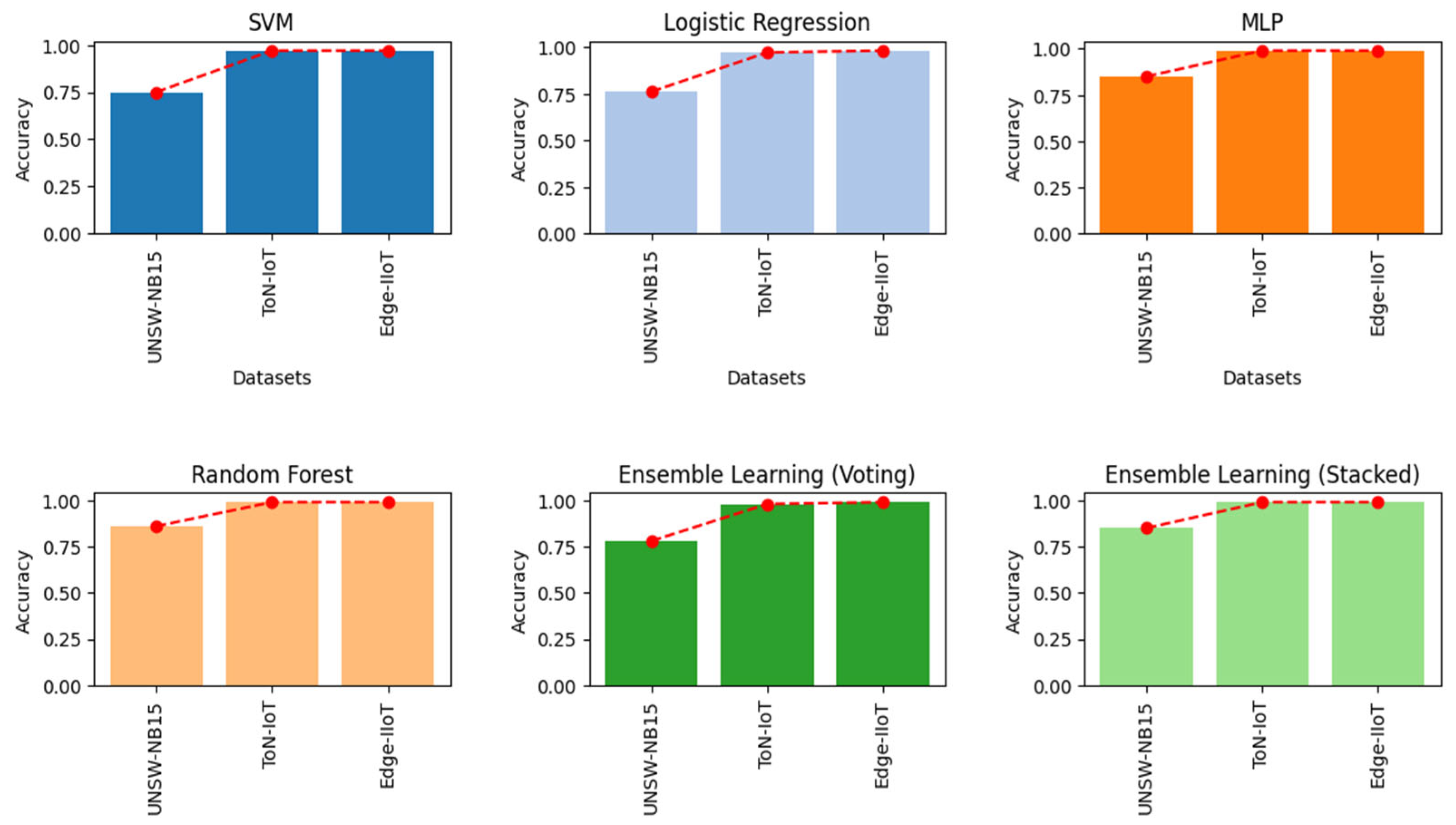
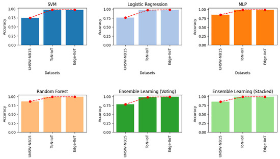
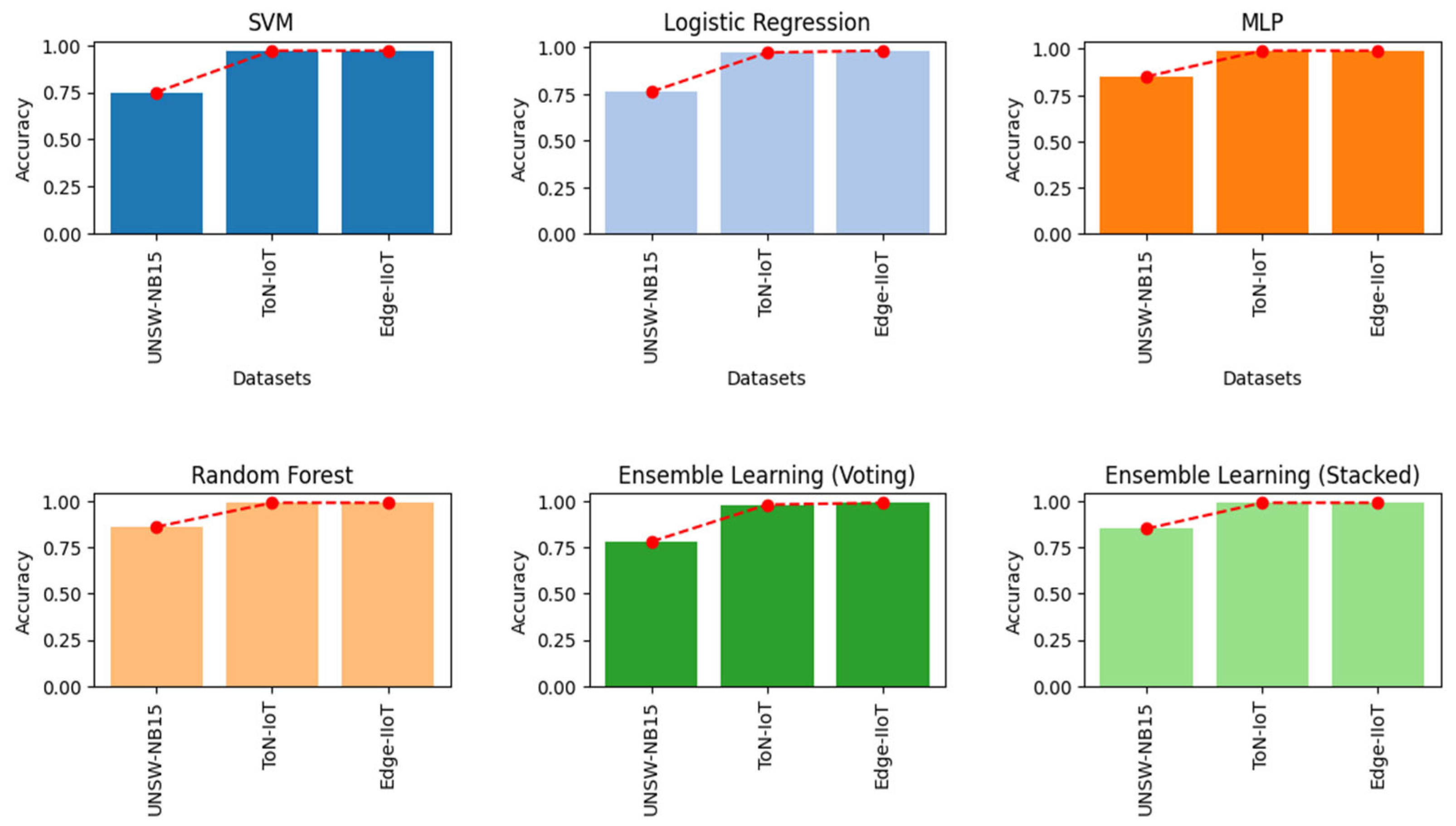
4.2. Classification Performance
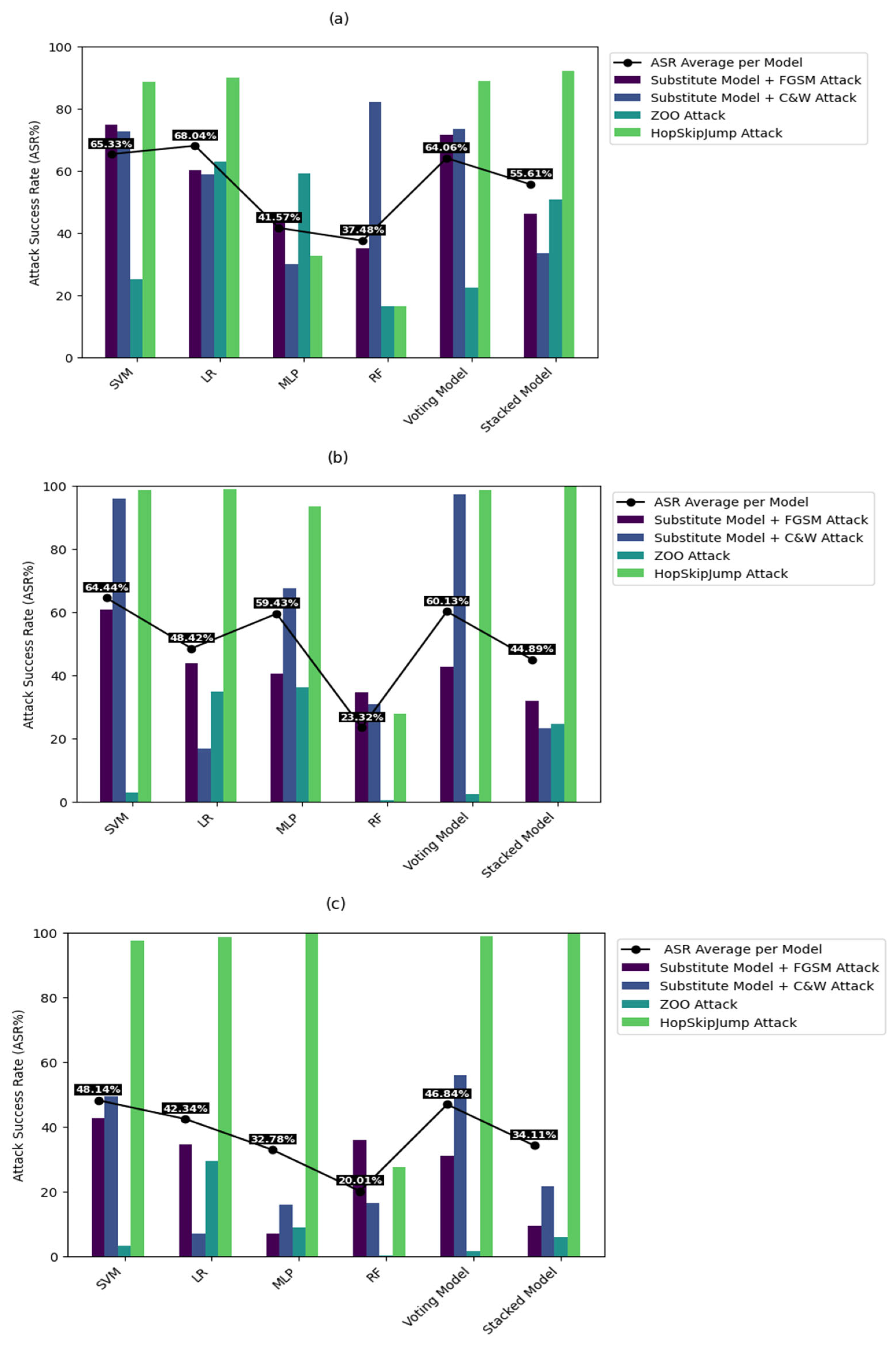
4.3. Adversarial Attacks Performance against IDS Models
- A.
- Adversarial Results
- B.
- Attack Success Rate (ASR) Analysis
4.4. Adversarial Defense Performance for Robustifying IDS Models
5. Conclusions
Author Contributions
Funding
Institutional Review Board Statement
Informed Consent Statement
Data Availability Statement
Conflicts of Interest
References
- Papadopoulos, P.; von Essen, O.T.; Pitropakis, N.; Chrysoulas, C.; Mylonas, A.; Buchanan, W.J. Launching adversarial attacks against network intrusion detection systems for iot. J. Cybersecur. Priv. 2021, 1, 252–273. [Google Scholar] [CrossRef]
- Alkadi, S.; Al-Ahmadi, S.; Ismail, M.M.B. Better Safe Than Never: A Survey on Adversarial Machine Learning Applications towards IoT Environment. Appl. Sci. 2023, 13, 6001. [Google Scholar] [CrossRef]
- Paleyes, A.; Urma, R.-G.; Lawrence, N.D. Challenges in deploying machine learning: A survey of case studies. ACM Comput. Surv. 2022, 55, 1–29. [Google Scholar] [CrossRef]
- Alkadi, S.; Al-Ahmadi, S.; Ismail, M.M.B. Toward Improved Machine Learning-Based Intrusion Detection for Internet of Things Traffic. Computers 2023, 12, 148. [Google Scholar] [CrossRef]
- Taheri, S.; Khormali, A.; Salem, M.; Yuan, J.-S. Developing a robust defensive system against adversarial examples using generative adversarial networks. Big Data Cogn. Comput. 2020, 4, 11. [Google Scholar] [CrossRef]
- Wang, J.; Pan, J.; AlQerm, I.; Liu, Y. Def-ids: An ensemble defense mechanism against adversarial attacks for deep learning-based network intrusion detection. In Proceedings of the 2021 International Conference on Computer Communications and Networks (ICCCN), Athens, Greece, 19–22 July 2021; IEEE: Piscataway, NJ, USA, 2021; pp. 1–9. [Google Scholar]
- Mohammadian, H.; Ghorbani, A.A.; Lashkari, A.H. A gradient-based approach for adversarial attack on deep learning-based network intrusion detection systems. Appl. Soft Comput. 2023, 137, 110173. [Google Scholar] [CrossRef]
- Sharon, Y.; Berend, D.; Liu, Y.; Shabtai, A.; Elovici, Y. Tantra: Timing-based adversarial network traffic reshaping attack. IEEE Trans. Inf. Forensics Secur. 2022, 17, 3225–3237. [Google Scholar] [CrossRef]
- McCarthy, A.; Andriotis, P.; Ghadafi, E.; Legg, P. Feature vulnerability and robustness assessment against adversarial machine learning attacks. In Proceedings of the 2021 International Conference on Cyber Situational Awareness, Data Analytics and Assessment (CyberSA), Dublin, Ireland, 14–18 June 2021; IEEE: Piscataway, NJ, USA, 2021; pp. 1–8. [Google Scholar]
- Alotaibi, A.; Rassam, M.A. Enhancing the Sustainability of Deep-Learning-Based Network Intrusion Detection Classifiers against Adversarial Attacks. Sustainability 2023, 15, 9801. [Google Scholar] [CrossRef]
- De Lucia, M.J.; Cotton, C. A network security classifier defense: Against adversarial machine learning attacks. In Proceedings of the 2nd ACM Workshop on Wireless Security and Machine Learning, Linz, Austria, 13 July 2020; pp. 67–73. [Google Scholar]
- Fu, X.; Zhou, N.; Jiao, L.; Li, H.; Zhang, J. The robust deep learning–based schemes for intrusion detection in internet of things environments. Ann. Telecommun. 2021, 76, 273–285. [Google Scholar] [CrossRef]
- Anthi, E.; Williams, L.; Javed, A.; Burnap, P. Hardening machine learning denial of service (DoS) defences against adversarial attacks in IoT smart home networks. Comput. Secur. 2021, 108, 102352. [Google Scholar] [CrossRef]
- Ibitoye, O.; Shafiq, O.; Matrawy, A. Analyzing adversarial attacks against deep learning for intrusion detection in IoT networks. In Proceedings of the 2019 IEEE global communications conference (GLOBECOM), Waikoloa, HI, USA, 9–13 December 2019; IEEE: Piscataway, NJ, USA, 2019; pp. 1–6. [Google Scholar]
- Vitorino, J.; Praça, I.; Maia, E. Towards adversarial realism and robust learning for IoT intrusion detection and classification. Ann. Telecommun. 2023, 78, 401–412. [Google Scholar] [CrossRef]
- Kumar, K.N.; Vishnu, C.; Mitra, R.; Mohan, C.K. Black-box adversarial attacks in autonomous vehicle technology. In Proceedings of the 2020 IEEE Applied Imagery Pattern Recognition Workshop (AIPR), Washington, DC, USA, 13–15 October 2020; IEEE: Piscataway, NJ, USA, 2020; pp. 1–7. [Google Scholar]
- Faysal, J.A.; Mostafa, S.T.; Tamanna, J.S.; Mumenin, K.M.; Arifin, M.M.; Awal, M.A.; Shome, A.; Mostafa, S.S. XGB-RF: A hybrid machine learning approach for IoT intrusion detection. Telecom 2022, 3, 52–69. [Google Scholar] [CrossRef]
- Nguyen, X.-H.; Nguyen, X.-D.; Huynh, H.-H.; Le, K.-H. Realguard: A lightweight network intrusion detection system for IoT gateways. Sensors 2022, 22, 432. [Google Scholar] [CrossRef] [PubMed]
- Li, P.; Yi, J.; Zhang, L. Query-efficient black-box attack by active learning. In Proceedings of the 2018 IEEE International Conference on Data Mining (ICDM), Singapore, 17–20 November 2018; IEEE: Piscataway, NJ, USA, 2018; pp. 1200–1205. [Google Scholar]
- Maseer, Z.K.; Yusof, R.; Mostafa, S.A.; Bahaman, N.; Musa, O.; Al-rimy, B.A.S. DeepIoT. IDS: Hybrid deep learning for enhancing IoT network intrusion detection. Comput. Mater. Contin. 2021, 69, 3945–3966. [Google Scholar]
- Qayyum, A.; Usama, M.; Qadir, J.; Al-Fuqaha, A. Securing connected & autonomous vehicles: Challenges posed by adversarial machine learning and the way forward. IEEE Commun. Surv. Tutor. 2020, 22, 998–1026. [Google Scholar]
- Zhang, C.; Costa-Perez, X.; Patras, P. Adversarial attacks against deep learning-based network intrusion detection systems and defense mechanisms. IEEE/ACM Trans. Netw. 2022, 30, 1294–1311. [Google Scholar] [CrossRef]
- Moustafa, N.; Slay, J. UNSW-NB15: A comprehensive data set for network intrusion detection systems (UNSW-NB15 network data set). In Proceedings of the 2015 Military Communications and Information Systems Conference (MilCIS), Canberra, Australia, 10–12 November 2015; IEEE: Piscataway, NJ, USA, 2015; pp. 1–6. [Google Scholar]
- Moustafa, N.; Keshky, M.; Debiez, E.; Janicke, H. Federated TON_IoT Windows datasets for evaluating AI-based security applications. In Proceedings of the 2020 IEEE 19th International Conference on Trust, Security and Privacy in Computing and Communications (TrustCom), Guangzhou, China, 29 December–1 January 2021; IEEE: Piscataway, NJ, USA, 2020; pp. 848–855. [Google Scholar]
- Ferrag, M.A.; Friha, O.; Hamouda, D.; Maglaras, L.; Janicke, H. Edge-IIoTset: A new comprehensive realistic cyber security dataset of IoT and IIoT applications for centralized and federated learning. IEEE Access 2022, 10, 40281–40306. [Google Scholar] [CrossRef]
- Goodfellow, I.J.; Shlens, J.; Szegedy, C. Explaining and harnessing adversarial examples. arXiv 2014, arXiv:1412.6572. [Google Scholar]
- Carlini, N.; Wagner, D. Towards evaluating the robustness of neural networks. In Proceedings of the 2017 IEEE Symposium on Security and Privacy (SP), San Jose, CA, USA, 22–26 May 2017; IEEE: Piscataway, NJ, USA, 2017; pp. 39–57. [Google Scholar]
- Chen, P.-Y.; Zhang, H.; Sharma, Y.; Yi, J.; Hsieh, C.-J. Zoo: Zeroth order optimization based black-box attacks to deep neural networks without training substitute models. In Proceedings of the 10th ACM Workshop on Artificial Intelligence and Security, Dallas, TX, USA, 3 November 2017; pp. 15–26. [Google Scholar]
- Chen, J.; Jordan, M.I.; Wainwright, M.J. Hopskipjumpattack: A query-efficient decision-based attack. In Proceedings of the 2020 IEEE Symposium on Security and Privacy (SP), San Francisco, CA, USA, 18–21 May 2020; IEEE: Piscataway, NJ, USA, 2020; pp. 1277–1294. [Google Scholar]
- Gad, A.R.; Nashat, A.A.; Barkat, T.M. Intrusion detection system using machine learning for vehicular ad hoc networks based on ToN-IoT dataset. IEEE Access 2021, 9, 142206–142217. [Google Scholar] [CrossRef]
- Alsaedi, A.; Moustafa, N.; Tari, Z.; Mahmood, A.; Anwar, A. TON_IoT telemetry dataset: A new generation dataset of IoT and IIoT for data-driven intrusion detection systems. IEEE Access 2020, 8, 165130–165150. [Google Scholar] [CrossRef]
- Thaseen, I.S.; Mohanraj, V.; Ramachandran, S.; Sanapala, K.; Yeo, S.-S. A hadoop based framework integrating machine learning classifiers for anomaly detection in the internet of things. Electronics 2021, 10, 1955. [Google Scholar] [CrossRef]
- Koroniotis, N.; Moustafa, N.; Sitnikova, E.; Turnbull, B. Towards the development of realistic botnet dataset in the internet of things for network forensic analytics: Bot-iot dataset. Future Gener. Comput. Syst. 2019, 100, 779–796. [Google Scholar] [CrossRef]
- Khamis, R.A.; Matrawy, A. Evaluation of adversarial training on different types of neural networks in deep learning-based idss. In Proceedings of the 2020 International Symposium on Networks, Computers and Communications (ISNCC), Montreal, QC, Canada, 20–22 October 2020; IEEE: Piscataway, NJ, USA, 2020; pp. 1–6. [Google Scholar]
- Clements, J.; Yang, Y.; Sharma, A.A.; Hu, H.; Lao, Y. Rallying adversarial techniques against deep learning for network security. In Proceedings of the 2021 IEEE Symposium Series on Computational Intelligence (SSCI), Orlando, FL, USA, 5–7 December 2021; IEEE: Piscataway, NJ, USA, 2021; pp. 1–8. [Google Scholar]
- Qiu, H.; Dong, T.; Zhang, T.; Lu, J.; Memmi, G.; Qiu, M. Adversarial attacks against network intrusion detection in IoT systems. IEEE Internet Things J. 2020, 8, 10327–10335. [Google Scholar] [CrossRef]
- Dankwa, S.; Yang, L. Securing iot devices: A robust and efficient deep learning with a mixed batch adversarial generation process for captcha security verification. Electronics 2021, 10, 1798. [Google Scholar] [CrossRef]
- Mahdavinejad, M.S.; Rezvan, M.; Barekatain, M.; Adibi, P.; Barnaghi, P.; Sheth, A.P. Machine learning for Internet of Things data analysis: A survey. Digit. Commun. Netw. 2018, 4, 161–175. [Google Scholar] [CrossRef]
- Rani, D.; Gill, N.S.; Gulia, P.; Chatterjee, J.M. An Ensemble-Based Multiclass Classifier for Intrusion Detection Using Internet of Things. Comput. Intell. Neurosci. 2022, 2022, 1668676. [Google Scholar] [CrossRef] [PubMed]
- Liashchynskyi, P.; Liashchynskyi, P. Grid search, random search, genetic algorithm: A big comparison for NAS. arXiv 2019, arXiv:1912.06059. [Google Scholar]
- Wu, H.; Hu, Z.; Gu, B. Fast and scalable adversarial training of kernel SVM via doubly stochastic gradients. Proc. AAAI Conf. Artif. Intell. 2021, 35, 10329–10337. [Google Scholar] [CrossRef]
- Chen, H.; Zhang, H.; Boning, D.; Hsieh, C.-J. Robust decision trees against adversarial examples. In Proceedings of the International Conference on Machine Learning, PMLR, Long Beach, CA, USA, 9–15 June 2019; pp. 1122–1131. [Google Scholar]
- Xu, W.; Evans, D.; Qi, Y. Feature squeezing: Detecting adversarial examples in deep neural networks. arXiv 2017, arXiv:1704.01155. [Google Scholar]
- Brendel, W.; Rauber, J.; Bethge, M. Decision-based adversarial attacks: Reliable attacks against black-box machine learning models. arXiv 2017, arXiv:1712.04248. [Google Scholar]
- Madry, A.; Makelov, A.; Schmidt, L.; Tsipras, D.; Vladu, A. Towards deep learning models resistant to adversarial attacks. arXiv 2017, arXiv:1706.06083. [Google Scholar]
- Athalye, A.; Carlini, N.; Wagner, D. Obfuscated gradients give a false sense of security: Circumventing defenses to adversarial examples. In Proceedings of the International Conference on Machine Learning, PMLR, Stockholm, Sweden, 10–15 July 2018; pp. 274–283. [Google Scholar]
- Khraisat, A.; Gondal, I.; Vamplew, P.; Kamruzzaman, J. Survey of intrusion detection systems: Techniques, datasets and challenges. Cybersecurity 2019, 2, 20. [Google Scholar] [CrossRef]
- Hossin, M.; Sulaiman, M.N. A review on evaluation metrics for data classification evaluations. Int. J. Data Min. Knowl. Manag. Process 2015, 5, 1. [Google Scholar]
- Guesmi, A.; Khasawneh, K.N.; Abu-Ghazaleh, N.; Alouani, I. Room: Adversarial machine learning attacks under real-time constraints. In Proceedings of the 2022 International Joint Conference on Neural Networks (IJCNN), Padua, Italy, 18–23 July 2022; IEEE: Piscataway, NJ, USA, 2022; pp. 1–10. [Google Scholar]
- Khettaf, D.; Bouzar-Benlabiod, L. Defending The Defender: Detecting Adversarial Examples For Network Intrusion Detection Systems. Comput. Sci. Math. 2022; preprint. [Google Scholar] [CrossRef]
- Salman, O.; Elhajj, I.H.; Kayssi, A.; Chehab, A. A review on machine learning–based approaches for Internet traffic classification. Ann. Telecommun. 2020, 75, 673–710. [Google Scholar] [CrossRef]
- Rai, K.; Devi, M.S.; Guleria, A. Decision tree based algorithm for intrusion detection. Int. J. Adv. Netw. Appl. 2016, 7, 2828. [Google Scholar]
- Alexandropoulos, S.-A.N.; Aridas, C.K.; Kotsiantis, S.B.; Vrahatis, M.N. Stacking strong ensembles of classifiers. In Proceedings of the Artificial Intelligence Applications and Innovations: 15th IFIP WG 12.5 International Conference, AIAI 2019, Hersonissos, Greece, 24–26 May 2019; Proceedings 15. Springer: Berlin/Heidelberg, Germany, 2019; pp. 545–556. [Google Scholar]
- Alotaibi, Y.; Ilyas, M. Ensemble-Learning Framework for Intrusion Detection to Enhance Internet of Things’ Devices Security. Sensors 2023, 23, 5568. [Google Scholar] [CrossRef] [PubMed]
- Devine, S.M.; Bastian, N.D. An Adversarial Training Based Machine Learning Approach to Malware Classification under Adversarial Conditions. In Proceedings of the 54th Hawaii International Conference on System Sciences, Kauai, HI, USA, 5 January 2021; pp. 1–10. [Google Scholar]
- Kurakin, A.; Goodfellow, I.; Bengio, S. Adversarial machine learning at scale. arXiv 2016, arXiv:1611.01236. [Google Scholar]
- Thantharate, P.; Anurag, T. CYBRIA-Pioneering Federated Learning for Privacy-Aware Cybersecurity with Brilliance. In Proceedings of the 2023 IEEE 20th International Conference on Smart Communities: Improving Quality of Life Using AI, Robotics and IoT (HONET), Boca Raton, FL, USA, 4–6 December 2023; IEEE: Piscataway, NJ, USA, 2023; pp. 56–61. [Google Scholar]
- Dhasaratha, C.; Hasan, M.K.; Islam, S.; Khapre, S.; Abdullah, S.; Ghazal, T.M.; Alzahrani, A.I.; Alalwan, N.; Vo, N.; Akhtaruzzaman, M. Data privacy model using blockchain reinforcement federated learning approach for scalable internet of medical things. CAAI Trans. Intell. Technol. 2024. [Google Scholar] [CrossRef]







| Parameter | Value |
|---|---|
| Norm () | |
| Epsilon () | 0.1 |
| Parameter | Value |
|---|---|
| Norm () | |
| Confidence () | 0.0 |
| Max iterations | 1000 |
| Binary Search Steps | 10 |
| Parameter | Value |
|---|---|
| Norm () | |
| Confidence () | 0.0 |
| Binary Search Steps | 10 |
| Parameter | Value |
|---|---|
| Norm () | |
| Max iterations | 40 |
| Binary Search Steps | 5 |
| Dataset | Publisher | Year | Attacks | Feature Sets | Size by Records |
|---|---|---|---|---|---|
| UNSW-NB15 [23] | Cyber Range Lab of UNSW | 2015 | 10 classes | 45 | 2 million |
| ToN-IoT [24] | Cyber Range Lab of UNSW | 2020 | 9 classes | 31 | 22 million |
| Edge-IIoT [25] | IEEE Dataport | 2022 | 14 classes | 61 | 20 million |
| Model | UNSW-NB15 Dataset | ToN-IoT Dataset | Edge-IIoT Dataset |
|---|---|---|---|
| SVM | 74.90% | 97.28% | 97.00% |
| LR | 76.57% | 97.17% | 98.37% |
| MLP | 84.50% | 99.97% | 99.87% |
| RF | 85.77% | 99.98% | 99.99% |
| Voting model | 77.78% | 97.95% | 98.53% |
| Stacked model | 85.48% | 99.99% | 99.71% |
| Attacks None | Black-Box (FGSM) | Black-Box (C&W) | 0th-Optimization (ZOO) | HopSkipJump (HSJ) | |
|---|---|---|---|---|---|
| Model | Standard Accuracy | Adversarial Accuracy | Adversarial Accuracy | Adversarial Accuracy | Adversarial Accuracy |
| SVM | 74.90% | 25.15% | 27.22% | 74.87% | 11.43% |
| LR | 76.57% | 39.70% | 41.08% | 37.14% | 09.93% |
| MLP | 84.50% | 55.30% | 70.10% | 40.97% | 67.36% |
| RF | 85.77% | 64.99% | 82.11% | 83.60% | 83.61% |
| Voting model | 77.78% | 28.44% | 26.51% | 77.69% | 11.14% |
| Stacked model | 85.48% | 53.98% | 66.46% | 49.31% | 07.81% |
| Attacks None | Black-Box (FGSM) | Black-Box (C&W) | 0th-Optimization (ZOO) | HopSkipJump (HSJ) | |
|---|---|---|---|---|---|
| Model | Standard Accuracy | Adversarial Accuracy | Adversarial Accuracy | Adversarial Accuracy | Adversarial Accuracy |
| SVM | 97.28% | 39.36% | 4.19% | 97.25% | 1.46% |
| LR | 97.17% | 56.41% | 83.43% | 65.30% | 1.18% |
| MLP | 99.97% | 59.47% | 32.57% | 63.75% | 6.50% |
| RF | 99.98% | 65.61% | 69.28% | 99.67% | 72.14% |
| Voting model | 97.95% | 57.32% | 2.83% | 97.80% | 1.51% |
| Stacked model | 99.99% | 68.17% | 76.87% | 75.41% | 0.00% |
| Attacks None | Black-Box (FGSM) | Black-Box (C&W) | 0th-Optimization (ZOO) | HopSkipJump (HSJ) | |
|---|---|---|---|---|---|
| Model | Standard Accuracy | Adversarial Accuracy | Adversarial Accuracy | Adversarial Accuracy | Adversarial Accuracy |
| SVM | 97.00% | 57.29% | 50.74% | 97.00% | 2.39% |
| LR | 98.37% | 65.44% | 93.09% | 70.76% | 1.36% |
| MLP | 99.87% | 93.20% | 84.27% | 91.17% | 0.22% |
| RF | 99.99% | 64.13% | 83.64% | 99.77% | 72.14% |
| Voting Model | 98.53% | 68.90% | 44.12% | 98.50% | 1.14% |
| Stacked Model | 99.71% | 90.61% | 78.40% | 94.30% | 0.27% |
| Parameter | Value |
|---|---|
| Bit depth | |
| Clip value |
| Parameter | Value |
|---|---|
| Classifier | The assigned target model (i.e., six candidate models) |
| Attack | The assigned attack for generating AEs (i.e., FGSM. C&W, ZOO, and HopSkipJump) |
| Number of Epochs |
| Dataset | Models | Standard Accuracy | RobEns Standard Accuracy |
|---|---|---|---|
| UNSW-NB15 | SVM | 74% | 75% |
| LR | 76% | 76% | |
| MLP | 84% | 79% | |
| RF | 85% | 86% | |
| Voting model | 77% | 77% | |
| Stacked model | 85% | 87% | |
| ToN-IoT | SVM | 97% | 97% |
| LR | 97% | 97% | |
| MLP | 99% | 99% | |
| RF | 99% | 90% | |
| Voting model | 97% | 97% | |
| Stacked model | 99% | 99% | |
| Edge-IIoT | SVM | 97% | 97% |
| LR | 98% | 98% | |
| MLP | 99% | 99% | |
| RF | 99% | 100% | |
| Voting model | 98% | 98% | |
| Stacked model | 99% | 99% |
| Reference | Datasets | Attack Scenario | Attack Method | Defense Type | Defense Method | Results and Findings |
|---|---|---|---|---|---|---|
| Taheri et al. [5] | CTU-13 | White Box | FGSM DeepFool PGD GAN | Single | Adversarial Training | - Robust accuracy less than standard accuracy - No investigation of defense effect over the standard accuracy |
| Fu et al. [12] | CSE-CIC-IDS2018 | White Box | FGSM | Single | Adversarial Training | - Robust accuracy less than standard accuracy - The defense method reduces the standard accuracy significantly |
| Anthi et al. [13] | Private | White Box | Rule-based Approach | Single | Adversarial Training | - Robust accuracy less than standard accuracy - No investigation of defense effect over the standard accuracy |
| Ibitoye et al. [14] | BoT-IoT | White Box | FGSM PGD BIM | Single | Feature Normalization | - Robust accuracy is poor compared to standard accuracy - Positive impact on the standard accuracy |
| Vitorino et al. [15] | IoT-23 Bot-IoT | Black Box | A2PM | Single | Adversarial Training | - Robust accuracy is slight less compared to standard accuracy - Negative impact on the standard accuracy |
| Proposed RobEns Framework | UNSW-NB15 ToN-IoT Edge-IIoT | Black Box | FGSM C&W ZOO HopSkipJump | Dual | - Feature Squeezing - Adversarial Training | - Framework’s robust accuracy achieve same standard accuracy results - Framework’s standard accuracy is maintained |
Disclaimer/Publisher’s Note: The statements, opinions and data contained in all publications are solely those of the individual author(s) and contributor(s) and not of MDPI and/or the editor(s). MDPI and/or the editor(s) disclaim responsibility for any injury to people or property resulting from any ideas, methods, instructions or products referred to in the content. |
© 2024 by the authors. Licensee MDPI, Basel, Switzerland. This article is an open access article distributed under the terms and conditions of the Creative Commons Attribution (CC BY) license (https://creativecommons.org/licenses/by/4.0/).
Share and Cite
Alkadi, S.; Al-Ahmadi, S.; Ben Ismail, M.M. RobEns: Robust Ensemble Adversarial Machine Learning Framework for Securing IoT Traffic. Sensors 2024, 24, 2626. https://doi.org/10.3390/s24082626
Alkadi S, Al-Ahmadi S, Ben Ismail MM. RobEns: Robust Ensemble Adversarial Machine Learning Framework for Securing IoT Traffic. Sensors. 2024; 24(8):2626. https://doi.org/10.3390/s24082626
Chicago/Turabian StyleAlkadi, Sarah, Saad Al-Ahmadi, and Mohamed Maher Ben Ismail. 2024. "RobEns: Robust Ensemble Adversarial Machine Learning Framework for Securing IoT Traffic" Sensors 24, no. 8: 2626. https://doi.org/10.3390/s24082626
APA StyleAlkadi, S., Al-Ahmadi, S., & Ben Ismail, M. M. (2024). RobEns: Robust Ensemble Adversarial Machine Learning Framework for Securing IoT Traffic. Sensors, 24(8), 2626. https://doi.org/10.3390/s24082626

