Influence of SiC and ZnO Doping on the Electrical Performance of Polylactic Acid-Based Triboelectric Nanogenerators
Abstract
1. Introduction
2. Materials and Methods
2.1. Materials
2.2. Preparation of Filament and Samples
2.3. Tribogenerators
2.4. Characterization of PLA and Doped PLA
2.5. Characterization of Tribogenerators
3. Results and Discussion
3.1. Structural Characterization
3.2. Electrical Characterization—Estimation of Dielectric Constant
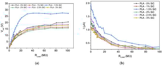
3.3. SiC-Based Tribogenerators
3.4. ZnO-Based Tribogenerators
3.5. Analysis of the Results
4. Conclusions
Author Contributions
Funding
Institutional Review Board Statement
Informed Consent Statement
Data Availability Statement
Acknowledgments
Conflicts of Interest
References
- Fan, F.R.; Tian, Z.Q.; Lin Wang, Z. Flexible Triboelectric Generator. Nano Energy 2012, 1, 328–334. [Google Scholar] [CrossRef]
- Choi, D.; Lee, Y.; Lin, Z.H.; Cho, S.; Kim, M.; Ao, C.K.; Soh, S.; Sohn, C.; Jeong, C.K.; Lee, J.; et al. Recent Advances in Triboelectric Nanogenerators: From Technological Progress to Commercial Applications. ACS Nano 2023, 17, 11087–11219. [Google Scholar] [CrossRef]
- Yu, Y.; Li, H.; Zhao, D.; Gao, Q.; Li, X.; Wang, J.; Wang, Z.L.; Cheng, T. Material’s Selection Rules for High Performance Triboelectric Nanogenerators. Mater. Today 2023, 64, 61–71. [Google Scholar] [CrossRef]
- Delgado-Alvarado, E.; Elvira-Hernández, E.A.; Hernández-Hernández, J.; Huerta-Chua, J.; Vázquez-Leal, H.; Martínez-Castillo, J.; García-Ramírez, P.J.; Herrera-May, A.L. Recent Progress of Nanogenerators for Green Energy Harvesting: Performance, Applications, and Challenges. Nanomaterials 2022, 12, 2549. [Google Scholar] [CrossRef]
- Zhang, R.; Örtegren, J.; Hummelgård, M.; Olsen, M.; Andersson, H.; Olin, H. A Review of the Advances in Composites/Nanocomposites for Triboelectric Nanogenerators. Nanotechnology 2022, 33, 212003. [Google Scholar] [CrossRef]
- Chao, S.; Ouyang, H.; Jiang, D.; Fan, Y.; Li, Z. Triboelectric Nanogenerator Based on Degradable Materials. EcoMat 2021, 3, e12072. [Google Scholar] [CrossRef]
- Kanishka, K.; Acherjee, B. Revolutionizing Manufacturing: A Comprehensive Overview of Additive Manufacturing Processes, Materials, Developments, and Challenges. J. Manuf. Process. 2023, 107, 574–619. [Google Scholar] [CrossRef]
- Jandyal, A.; Chaturvedi, I.; Wazir, I.; Raina, A.; Ul Haq, M.I. 3D Printing—A Review of Processes, Materials and Applications in Industry 4.0. Sustain. Oper. Comput. 2022, 3, 33–42. [Google Scholar] [CrossRef]
- Chen, B.; Tang, W.; Wang, Z.L. Advanced 3D Printing-Based Triboelectric Nanogenerator for Mechanical Energy Harvesting and Self-Powered Sensing. Mater. Today 2021, 50, 224–238. [Google Scholar] [CrossRef]
- Qiao, H.; Zhang, Y.; Huang, Z.; Wang, Y.; Li, D.; Zhou, H. 3D Printing Individualized Triboelectric Nanogenerator with Macro-Pattern. Nano Energy 2018, 50, 126–132. [Google Scholar] [CrossRef]
- Pan, R.; Xuan, W.; Chen, J.; Dong, S.; Jin, H.; Wang, X.; Li, H.; Luo, J. Fully Biodegradable Triboelectric Nanogenerators Based on Electrospun Polylactic Acid and Nanostructured Gelatin Films. Nano Energy 2018, 45, 193–202. [Google Scholar] [CrossRef]
- Suo, X.; Li, B.; Ji, H.; Mei, S.; Miao, S.; Gu, M.; Yang, Y.; Jiang, D.; Cui, S.; Chen, L.; et al. Dielectric Layer Doping for Enhanced Triboelectric Nanogenerators. Nano Energy 2023, 114, 108651. [Google Scholar] [CrossRef]
- Zhang, P.; Tong, W.; Liang, C.; Chen, Y.; Liu, Y.; Wang, Z.; Zhang, Y. Enhancing the Endogenous Triboelectricity of a Polylactic Acid Nanofiber Film by Controlling the MXene Content and Distribution. J. Mater. Chem. A 2022, 10, 24310–24319. [Google Scholar] [CrossRef]
- Shi, X.; Si, W.; Zhu, J.; Zhang, S. Boosting the Electrical Performance of PLA-Based Triboelectric Nanogenerators for Sustainable Power Sources and Self-Powered Sensing. Small 2023, 2307620. [Google Scholar] [CrossRef]
- Li, W.; Leng, B.; Hu, S.; Cheng, X. Improving the Output Efficiency of Triboelectric Nanogenerator by a Power Regulation Circuit. Sensors 2023, 23, 4912. [Google Scholar] [CrossRef]
- Skorda, S.; Bardakas, A.; Segkos, A.; Chouchoumi, N.; Hourdakis, E.; Vekinis, G.; Tsamis, C. Influence of SiC doping on the me-chanical, electrical, and optical properties of 3D-printed PLA. J. Compos. Sci. 2024, 8, 79. [Google Scholar] [CrossRef]
- Jayasvasti, S.; Thainiramit, P.; Yingyong, P.; Isarakorn, D. Technique for Measuring Power across High Resistive Load of Triboelectric Energy Harvester. Micromachines 2021, 12, 766. [Google Scholar] [CrossRef]
- Sareni, B.; Krähenbühl, L.; Beroual, A.; Brosseau, C. Effective dielectric constant of periodic composite materials. J. Appl. Phys. 1996, 80, 1688–1696. [Google Scholar] [CrossRef]
- Kaur, D.; Bharti, A.; Sharma, T.; Madhu, C. Dielectric Properties of ZnO-Based Nanocomposites and Their Potential Applications. Int. J. Opt. 2021, 2021, 9950202. [Google Scholar] [CrossRef]
- Colella, R.; Chietera, F.P.; Catarinucci, L. Analysis of fdm and dlp 3d-printing technologies to prototype electromagnetic devices for rfid applications. Sensors 2021, 21, 897. [Google Scholar] [CrossRef]
- Behzadnezhad, B.; Collick, B.D.; Behdad, N.; McMillan, A.B. Dielectric properties of 3D-printed materials for anatomy specific 3D-printed MRI coils. J. Magn. Reson. 2018, 289, 113–121. [Google Scholar] [CrossRef]
- Niu, S.; Wang, S.; Lin, L.; Liu, Y.; Zhou, Y.S.; Hu, Y.; Wang, Z.L. Theoretical Study of Contact-Mode Triboelectric Nanogenerators as an Effective Power Source. Energy Environ. Sci. 2013, 6, 3576–3583. [Google Scholar] [CrossRef]
- Jin, L.; Xiao, X.; Deng, W.; Nashalian, A.; He, D.; Raveendran, V.; Yan, C.; Su, H.; Chu, X.; Yang, T.; et al. Manipulating Relative Permittivity for High-Performance Wearable Triboelectric Nanogenerators. Nano Lett. 2020, 20, 6404–6411. [Google Scholar] [CrossRef] [PubMed]
- Lee, J.W.; Cho, H.J.; Chun, J.; Kim, K.N.; Kim, S.; Ahn, C.W.; Kim, I.W.; Kim, J.Y.; Kim, S.W.; Yang, C.; et al. Robust Nanogenerators Based on Graft Copolymers via Control of Dielectrics for Remarkable Output Power Enhancement. Sci. Adv. 2017, 3, e1602902. [Google Scholar] [CrossRef] [PubMed]
- Kumar, C.; Perris, J.; Bairagi, S.; Min, G.; Xu, Y.; Gadegaard, N.; Mulvihill, D.M. Multiscale In-Situ Quantification of the Role of Surface Roughness and Contact Area Using a Novel Mica-PVS Triboelectric Nanogenerator. Nano Energy 2023, 107, 108122. [Google Scholar] [CrossRef]
- Wen, J.; Niu, C.; He, H.; Han, W.; Zhong, Y.; Wu, Y. A Load-Dependent Model of Triboelectric Nanogenerators for Surface Roughness Sensing. IEEE Sens. J. 2021, 21, 20220–20228. [Google Scholar] [CrossRef]
- Shafeek, S.; Balakrishnan, N.T.M.; Fatma, B.; Garg, A.; J, J.F.M.; Morton, D.; Luo, J.; Raghavan, P. Exalting Energy Scavenging for Triboelectric Nanogenerator Using Silicon Carbide Particles Doped Polyvinylidene Difluoride Nanocomposite. Nano Energy 2023, 107, 108146. [Google Scholar] [CrossRef]











| Sample | Thickness (μm) | δThickness (μm) |
|---|---|---|
| 0% ZnO | 380 | 10.0 |
| 1% ZnO | 385 | 10.0 |
| 2% ZnO | 420 | 10.0 |
| 3% ZnO | 415 | 10.0 |
Disclaimer/Publisher’s Note: The statements, opinions and data contained in all publications are solely those of the individual author(s) and contributor(s) and not of MDPI and/or the editor(s). MDPI and/or the editor(s) disclaim responsibility for any injury to people or property resulting from any ideas, methods, instructions or products referred to in the content. |
© 2024 by the authors. Licensee MDPI, Basel, Switzerland. This article is an open access article distributed under the terms and conditions of the Creative Commons Attribution (CC BY) license (https://creativecommons.org/licenses/by/4.0/).
Share and Cite
Skorda, S.; Bardakas, A.; Vekinis, G.; Tsamis, C. Influence of SiC and ZnO Doping on the Electrical Performance of Polylactic Acid-Based Triboelectric Nanogenerators. Sensors 2024, 24, 2497. https://doi.org/10.3390/s24082497
Skorda S, Bardakas A, Vekinis G, Tsamis C. Influence of SiC and ZnO Doping on the Electrical Performance of Polylactic Acid-Based Triboelectric Nanogenerators. Sensors. 2024; 24(8):2497. https://doi.org/10.3390/s24082497
Chicago/Turabian StyleSkorda, Stefania, Achilleas Bardakas, George Vekinis, and Christos Tsamis. 2024. "Influence of SiC and ZnO Doping on the Electrical Performance of Polylactic Acid-Based Triboelectric Nanogenerators" Sensors 24, no. 8: 2497. https://doi.org/10.3390/s24082497
APA StyleSkorda, S., Bardakas, A., Vekinis, G., & Tsamis, C. (2024). Influence of SiC and ZnO Doping on the Electrical Performance of Polylactic Acid-Based Triboelectric Nanogenerators. Sensors, 24(8), 2497. https://doi.org/10.3390/s24082497

