High-Density Polyethylene Custom Focusing Lenses for High-Resolution Transient Terahertz Biomedical Imaging Sensors
Abstract
1. Introduction
2. Materials and Methods
2.1. Choice of Material for Aspheric Lens Design
2.2. Design of Plano-Aspheric Lenses
2.3. Fabrication of Plano-Aspheric Lenses
2.4. Integration of the Lens Pair into THz-TDS Setup
2.5. Data Processing Pipeline Using a Maximum a-Posteriori Probability Estimation Procedure
2.6. Tissue Block Preparation
3. Results and Discussion
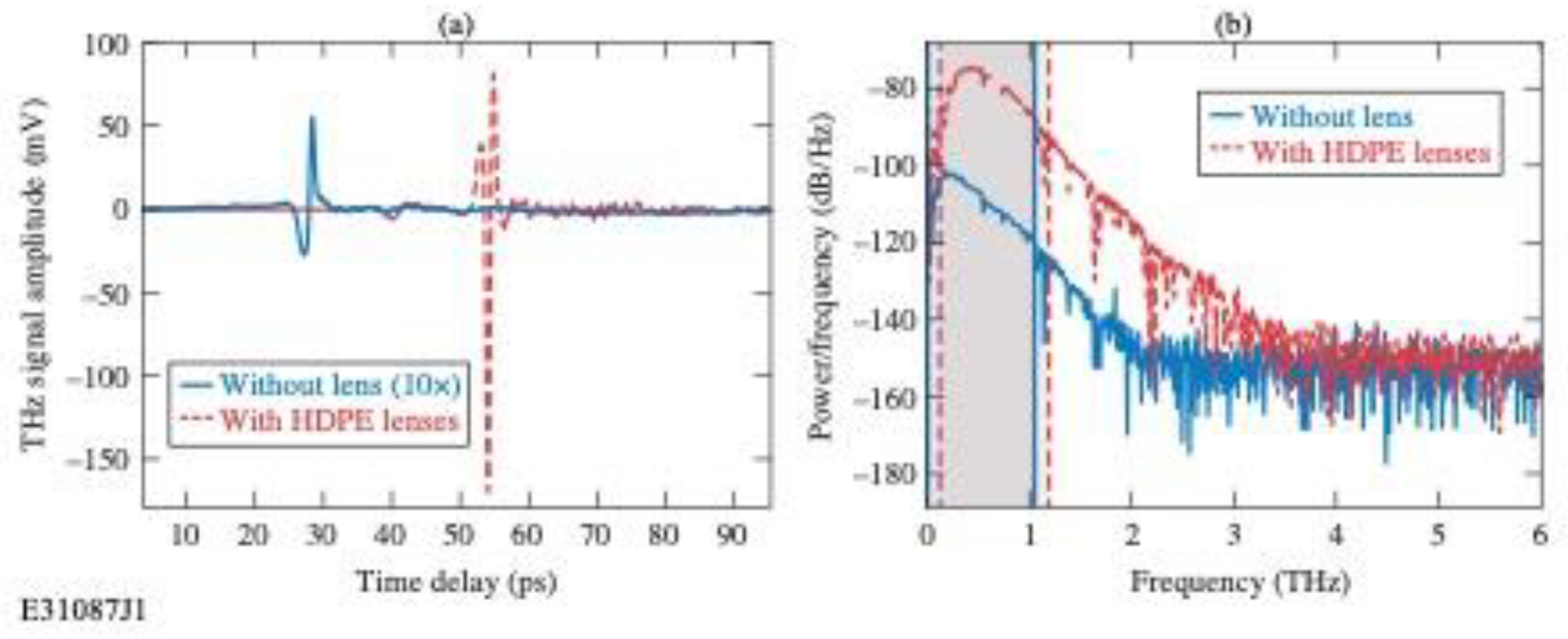
3.1. Bandwidth of the Spectra Obtained from Measured THz Transients
3.2. High-Resolution THz Imaging of Ex Vivo Murine Tissue Samples
3.3. Quantitative Evaluation of R2080 Lateral Resolution
4. Discussion
5. Patents
Author Contributions
Funding
Data Availability Statement
Acknowledgments
Conflicts of Interest
References
- Naftaly, M.; Miles, R.E. Terahertz Time-Domain Spectroscopy for Material Characterization. Proc. IEEE 2007, 95, 1658–1665. [Google Scholar] [CrossRef]
- Neu, J.; Schmuttenmaer, C.A. Tutorial: An Introduction to Terahertz Time Domain Spectroscopy (THz-TDS). J. Appl. Phys. 2018, 124, 231101. [Google Scholar] [CrossRef]
- Alexander, N.E.; Alderman, B.; Allona, F.; Frijlink, P.; Gonzalo, R.; Hägelen, M.; Ibáñez, A.; Krozer, V.; Langford, M.L.; Limiti, E.; et al. TeraSCREEN: Multi-Frequency Multi-Mode Terahertz Screening for Border Checks. Proc. SPIE 2014, 9078, 907802. [Google Scholar] [CrossRef]
- Markl, D.; Ruggiero, M.T.; Zeitler, J.A. Pharmaceutical Applications of Terahertz Spectroscopy and Imaging. Eur. Pharm. Rev. 2016, 21, 45–50. [Google Scholar]
- Gowen, A.A.; O’Sullivan, C.; O’Donnell, C.P. Terahertz Time Domain Spectroscopy, and Imaging: Emerging Techniques for Food Process Monitoring and Quality Control. Trends Food Sci. Technol. 2012, 25, 40–46. [Google Scholar] [CrossRef]
- Giovannacci, D.; Martos-Levif, D.; Walker, G.; Menu, M.; Detalle, V. Terahertz Applications in Cultural Heritage: Case Studies. Proc. SPIE 2013, 9065, 906510. [Google Scholar] [CrossRef]
- Kulesa, C. Terahertz Spectroscopy for Astronomy: From Comets to Cosmology. IEEE Trans. Terahertz Sci. Technol. 2011, 1, 232–240. [Google Scholar] [CrossRef]
- Gezimati, M.; Singh, G. Terahertz Imaging and Sensing for Healthcare: Current Status and Future Perspectives. IEEE Access 2023, 11, 18590–18619. [Google Scholar] [CrossRef]
- Meng, D.; Liu, J.; Chen, W.; Cheng, Y.-Y.; You, K.-W.; Fan, Z.-C.; Ye, Q.; Huang, P.-H.; Chen, Y.-S. Study on the Enhancement Mechanism of Terahertz Molecular Fingerprint Sensing. Results Phys. 2022, 39, 105766. [Google Scholar] [CrossRef]
- Chakraborty, D.; Mills, B.N.; Cheng, J.; Komissarov, I.; Gerber, S.A.; Sobolewski, R. Development of Terahertz Imaging Markers for Pancreatic Ductal Adenocarcinoma Using Maximum A Posteriori Probability (MAP) Estimation. ACS Omega 2023, 8, 9925–9933. [Google Scholar] [CrossRef] [PubMed]
- Lewis, R.A. A Review of Terahertz Sources. J. Phys. D Appl. Phys. 2014, 47, 374001. [Google Scholar] [CrossRef]
- Davies, A.G.; Linfield, E.H.; Johnston, M.B. The Development of Terahertz Sources and Their Applications. Phys. Med. Biol. 2002, 47, 3679. [Google Scholar] [CrossRef] [PubMed]
- Cheng, J.; Komissarov, I.; Chen, G.; Chakraborty, D.; Adam, R.; Bürgler, D.E.; Heidtfeld, S.; Cao, D.; Büscher, M.; Hardtdegen, H.; et al. Terahertz Inverse Spin Hall Effect in Spintronic Nanostructures with Various Ferromagnetic Materials. J. Magn. Magn. Mater. 2024, 593, 171641. [Google Scholar] [CrossRef]
- Semenov, A.D.; Gol’tsman, G.N.; Sobolewski, R. Hot-Electron Effect in Superconductors and Its Applications for Radiation Sensors. Supercond. Sci. Technol. 2002, 15, R1. [Google Scholar] [CrossRef]
- Sung, S.; Garritano, J.; Bajwa, N.; Nowroozi, B.; Grundfest, W.; Taylor, Z. Analysis and Optimization of THz Imaging Optics with Off-Axis Parabolic Mirrors. In Proceedings of the 2014 39th International Conference on Infrared, Millimeter, and Terahertz Waves (IRMMW-THz), Tucson, AZ, USA, 14–19 September 2014. [Google Scholar] [CrossRef]
- Zatta, R.; Jain, R.; Grzyb, J.; Pfeiffer, U.R. Resolution Limits of Hyper-Hemispherical Silicon Lens-Integrated THz Cameras Employing Geometrical Multiframe Super-Resolution Imaging. IEEE Trans. Terahertz Sci. Technol. 2021, 11, 277–286. [Google Scholar] [CrossRef]
- Naftaly, M.; Miles, R.E.; Greenslade, P.J. THz Transmission in Polymer Materials—A Data Library. In Proceedings of the 2007 Joint 32nd International Conference on Infrared and Millimeter Waves and the 15th International Conference on Terahertz Electronics, Cardiff, UK, 2–9 September 2007; pp. 1–2. [Google Scholar] [CrossRef]
- Olagoke, O. Polyolefins. In Handbook of Thermoplastics; Olabisi, O., Adewale, K., Eds.; CRC Press: Boca Raton, FL, USA, 2016; Chapter 1–2. [Google Scholar]
- Zhou, K.; Miao, W.; Fan, B.; Delorme, Y.; Caroopen, S.; Batrung, M.; Shi, S. Transmittance of High-Density Polyethylene from 0.1 THz to 15 THz. Proc. SPIE 2019, 11196, 111960Y. [Google Scholar] [CrossRef]
- OSLO. LAMDA Research Corporation. Available online: https://lambdares.com/oslo (accessed on 9 January 2024).
- Kingslake, R. Lens Design Fundamentals; Academic Press: New York, NY, USA, 1978; p. 321. [Google Scholar]
- Schwertz, K. An Introduction to the Optics Manufacturing Process. In OptoMechanics (OPTI 521) Report; University of Arizona James C. Wyant College of Optical Sciences: Tucson, AZ, USA, 2008. [Google Scholar]
- Khan, S.; Goswami, S.; Feng, F.; McAleavey, S.A. Investigating ARFI Geometry Effects on Shearwave Viscoelasticity Reconstructions. In Proceedings of the IEEE International Ultrasonics Symposium (IUS), Xi’an, China, 11–16 September 2021; IEEE: Piscataway, NJ, USA, 2021. [Google Scholar] [CrossRef]
- Chakraborty, D.; Mills, B.N.; Cheng, J.; Gerber, S.A.; Sobolewski, R. Maximum A-Posteriori Probability (MAP) Terahertz Parameter Extraction for Pancreatic Ductal Adenocarcinoma. In Proceedings of the 2022 47th International Conference on Infrared, Millimeter and Terahertz Waves (IRMMW-THz), Delft, The Netherlands, 28 August–2 September 2022. [Google Scholar] [CrossRef]
- Carminati, R.; Greffet, J.-J. Near-Field Effects in Spatial Coherence of Thermal Sources. Phys. Rev. Lett. 1999, 82, 1660–1663. [Google Scholar] [CrossRef]
- Tian, L.; Xu, X. Optical Properties and Crystallization of Natural Waxes at Several Annealing Temperatures: A Terahertz Time-Domain Spectroscopy Study. J. Infrared Millim. Terahertz Waves 2018, 39, 302–312. [Google Scholar] [CrossRef]
- Roper, L. Using Sigmoid and Double-Sigmoid Functions for Earth-States Transitions. Available online: https://www.researchgate.net/publication/242689104_Using_Sigmoid_and_Double-Sigmoid_Functions_for_Earth-States_Transitions_1#fullTextFileContent (accessed on 9 January 2024).
- Wiacek, A.; Rindal, O.M.H.; Falomo, E.; Myers, K.; Fabrega-Foster, K.; Harvey, S.; Bell, M.A.L. Robust Short-Lag Spatial Coherence Imaging of Breast Ultrasound Data: Initial Clinical Results. IEEE Trans. Ultrason. Ferroelectr. Freq. Control 2019, 66, 527–540. [Google Scholar] [CrossRef] [PubMed]







| Imaging Markers | R2080 (μm) | |
|---|---|---|
| With HDPE Lenses | With TeflonTM Lenses | |
| Figure 4b | Figure 4a | |
| (100 μm Step Size) | (100 μm Step Size) | |
| Refractive index n | 333 (±19) | 1850 (±38) |
| Absorption coefficient in mm–1 α | 291 (±15) | 765 (±17) |
Disclaimer/Publisher’s Note: The statements, opinions and data contained in all publications are solely those of the individual author(s) and contributor(s) and not of MDPI and/or the editor(s). MDPI and/or the editor(s) disclaim responsibility for any injury to people or property resulting from any ideas, methods, instructions or products referred to in the content. |
© 2024 by the authors. Licensee MDPI, Basel, Switzerland. This article is an open access article distributed under the terms and conditions of the Creative Commons Attribution (CC BY) license (https://creativecommons.org/licenses/by/4.0/).
Share and Cite
Chakraborty, D.; Boni, R.; Mills, B.N.; Cheng, J.; Komissarov, I.; Gerber, S.A.; Sobolewski, R. High-Density Polyethylene Custom Focusing Lenses for High-Resolution Transient Terahertz Biomedical Imaging Sensors. Sensors 2024, 24, 2066. https://doi.org/10.3390/s24072066
Chakraborty D, Boni R, Mills BN, Cheng J, Komissarov I, Gerber SA, Sobolewski R. High-Density Polyethylene Custom Focusing Lenses for High-Resolution Transient Terahertz Biomedical Imaging Sensors. Sensors. 2024; 24(7):2066. https://doi.org/10.3390/s24072066
Chicago/Turabian StyleChakraborty, Debamitra, Robert Boni, Bradley N. Mills, Jing Cheng, Ivan Komissarov, Scott A. Gerber, and Roman Sobolewski. 2024. "High-Density Polyethylene Custom Focusing Lenses for High-Resolution Transient Terahertz Biomedical Imaging Sensors" Sensors 24, no. 7: 2066. https://doi.org/10.3390/s24072066
APA StyleChakraborty, D., Boni, R., Mills, B. N., Cheng, J., Komissarov, I., Gerber, S. A., & Sobolewski, R. (2024). High-Density Polyethylene Custom Focusing Lenses for High-Resolution Transient Terahertz Biomedical Imaging Sensors. Sensors, 24(7), 2066. https://doi.org/10.3390/s24072066

