Reliability Evaluation Method for Array Antenna Considering Performance Changes
Abstract
1. Introduction
2. Reliability Analysis Flow Considering Performance Changes
- (1)
- Transceiver channel failure analysis. According to the structure and composition of the array antenna, the failure characteristic of the transceiver channel is analyzed. The basis for the array antenna’s state-changing analysis is provided.
- (2)
- Array antenna’s status and performance evaluation. According to the array antenna’s scale and structure, all possible states of the array antenna are defined. The array antenna’s performance in different states is calculated.
- (3)
- Available-state and non-available-state divisions. According to the array antenna’s performance in each state and the performance requirements during the application process, all possible states of the array antenna are divided into available states and non-available states. In the available state, the array antenna’s performance could meet the application requirements and the array antenna can be used normally. In non-available states, the application requirement cannot be satisfied by the array antenna’s performance, and the array antenna cannot be used normally.
- (4)
- Available state probability function calculation. According to the fault law of the array antenna’s transceiver channel, considering the transition between different states, the probability function of each available state is calculated, and the probability of the array antenna being in the available state at different times is determined.
- (5)
- Array antenna reliability function calculation. Based on the array antenna available state probability function calculation, the array antenna availability probability is obtained by adding all the available state probabilities together. And the array antenna’s reliability function can be obtained.
- (6)
- Array antenna’s average life calculation. Based on the calculation of the array antenna’s reliability function, the array antenna’s average life can be calculated with Formula (2).
3. Reliability Calculation Flow Considering Performance Changes
3.1. Reliability Calculation Flow
- (1)
- Failure analysis of transceiver channels
- (2)
- Array status and performance evaluation
- (a)
- States generation. All possible states of the array antenna are generated. For the array antenna with N transceiver channels, the number of faults n = 0, 1, …, N − 1. Under each fault number, the corresponding total number of states is . Then the total number of the array antenna in all possible states is . The set of array antenna’s states is denoted as S = {Si}, where Si is the ith state of the array antenna, which contains 0, 1 values with the number of N, when Si(j) = 1, it means that the array antenna’s jth transceiver channel is normal; When Si(j) = 0, it means that the array antenna’s jth transceiver channel is faulty.
- (b)
- Pattern calculation for each state. For each state Si, the channel signal amplitude of A.*Si is regenerated according to its state. The antenna pattern in that state is calculated according to the pattern formula.
- (c)
- Performance parameter calculation. Based on the calculation results of the antenna pattern, the array antenna’s performance parameters are calculated according to the definition of each performance parameter.
- (3)
- Available state and non-available state division
- (4)
- Available state probability calculation
- (5)
- Array antenna’s reliability function calculation
3.2. Suitable Size Analysis of Array Antenna
4. Reliability Calculation Flow Considering Performance Changes for Larger Scale Array Antenna
- (1)
- Array antenna’s performance analysis. The array antenna’s performance is analyzed with different faults occurring in different scale subarrays. The subarray is a small array composed of some transceiver channels in the array antenna. The basis for subarray division and determination of T/R modules’ minimum failure number is provided with the analysis result.
- (2)
- The subarray division and the determination of the minimum failure number. According to the performance of the array antenna under different analysis ranges and different fault numbers, the array antenna is divided into multiple subarrays concerning the working performance requirements. And the minimum failure number is determined. if the number of failures that occurred in the subarray is bigger than the minimum failure number, the array antenna’s performance would not satisfy the working requirement. If the array antenna can be divided into m subarrays, for the ith subarray, I ∈ [0, m − 1], its radius, T/R module number and minimum fault number are recorded as ri, ni, and fi, respectively, as shown in Table 2.
- (3)
- Array antenna’s fault state function F(t) calculation. When the number of faulty transceiver channels f is less than fmax, it means f < fmax, the probability function that the array antenna is unavailable is denoted as F(t). F(t) is the sum of the failure probability of each subarray causing the array to be unavailable. Taking subarray i as an example, the minimum failure number that causes the array to be unavailable is fi, and then the probability function Fi(t) that the array would be unavailable is
- (4)
- Array antenna’s reliability function and average life calculation. Based on the k out of n reliability model of Equation (1), subtract the array antenna’s fault state function, and the array antenna’s reliability function R(t) can be obtainedwhere k = 0.9n and fmax = 0.1n.
5. Simulation and Analysis
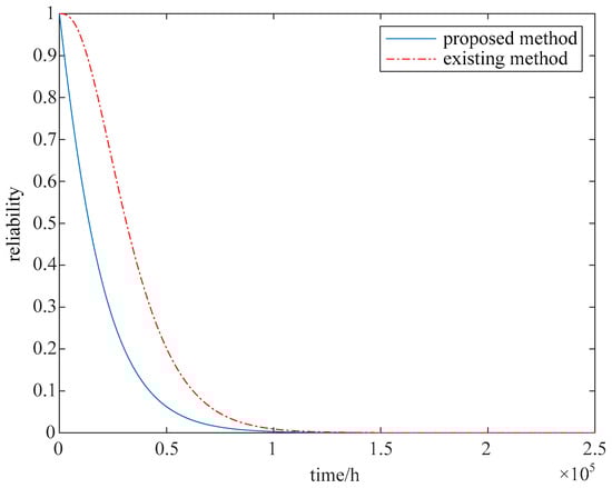
5.1. Reliability Analysis for Small-Scale Array Antenna
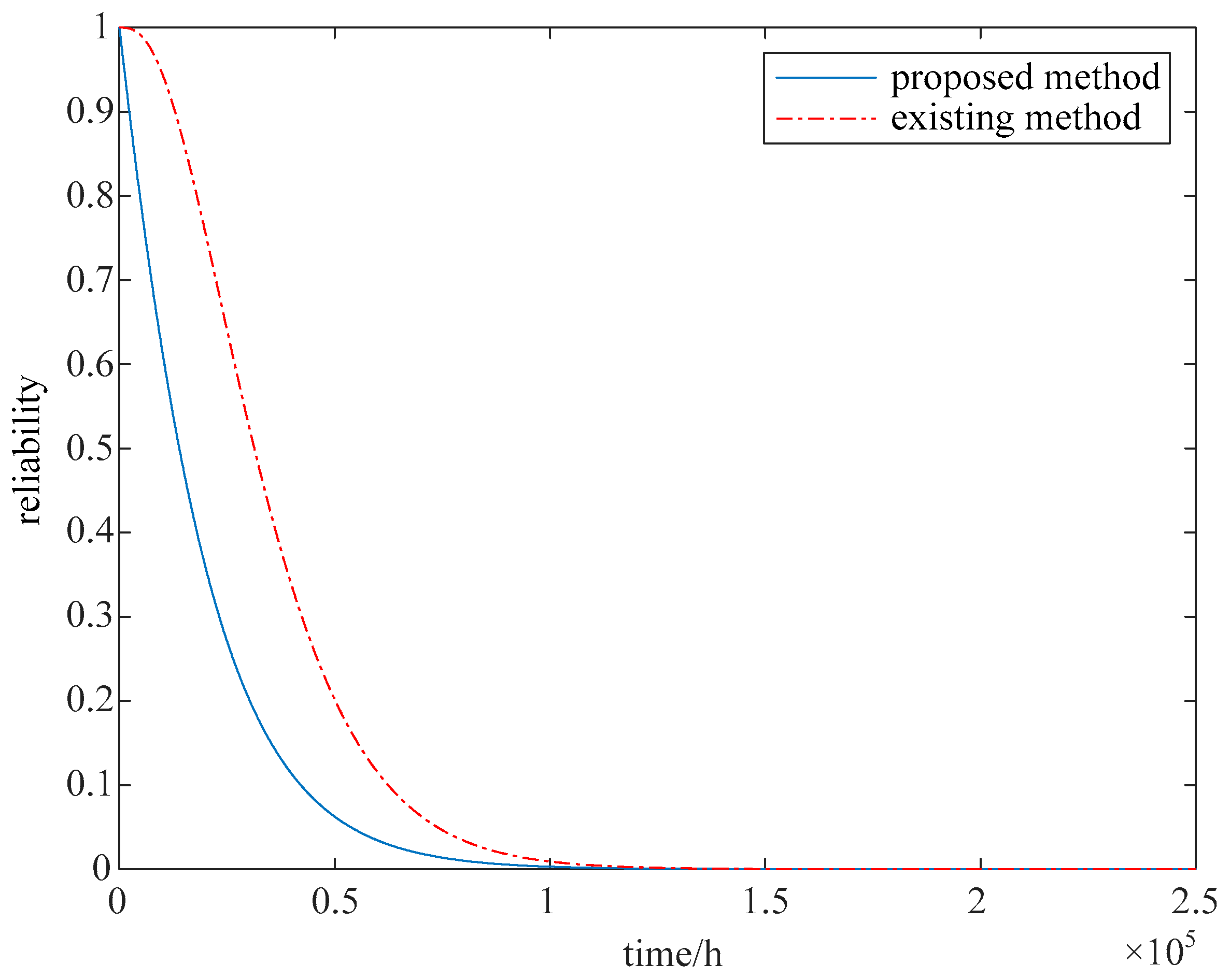
5.2. Reliability Analysis for Larger-Scale Array Antenna
6. Conclusions
Author Contributions
Funding
Institutional Review Board Statement
Informed Consent Statement
Data Availability Statement
Conflicts of Interest
Abbreviations
| T/R | Transmitter and Receiver |
| MTTF | Mean Time To Failure |
| maxSLL | maximum Secondary Lobe Level |
| avSLL | average Secondary Lobe Level |
| HPBW | Half-Power Beam Width |
| FNBW | First Null Beam width |
References
- Hamid, S.; Chopra, S.R.; Gupta, A.; Tanwar, S.; Florea, B.C.; Taralunga, D.D.; Alfarraj, O.; Shehata, A.M. Hybrid beamforming in massive MIMO for next-generation communication technology. Sensors 2023, 16, 7294. [Google Scholar] [CrossRef]
- Fan, F.F.; Chen, Q.L.; Xu, Y.X.; Zhao, X.F. A wideband compact printed dipole antenna array with SICL feeding network for 5G application. IEEE Antennas Wirel. Propag. Lett. 2022, 22, 283–287. [Google Scholar] [CrossRef]
- Sim, C.Y.D.; Lo, J.J.; Chen, Z.N. Design of a broadband millimeter-wave array antenna for 5G applications. IEEE Antennas Wirel. Propag. Lett. 2023, 22, 1030–1034. [Google Scholar] [CrossRef]
- Tan, Q.; Fan, K.; Yu, W.; Wang, W.; Liu, L.; Luo, G.Q. A circularly polarized magneto-electric dipole antenna array with wide AR and impedance bandwidth for millimeter-wave applications. IEEE Antennas Wirel. Propag. Lett. 2023, 22, 2250–2254. [Google Scholar] [CrossRef]
- EI-Hameed, A.S.; Ouf, E.G.; Elboushi, A.E.; Seliem, A.G.; Izumi, Y. An improved performance radar sensor for K-band automotive radars. Sensors 2023, 16, 7070. [Google Scholar] [CrossRef]
- Yamauchi, Y.; Shimoi, N. Posture classification with a bed-monitoring system using radio frequency identification. Sensors 2023, 16, 7304. [Google Scholar] [CrossRef] [PubMed]
- Sekehravani, E.A.; Leone, G. Evaluation of the resolution in inverse scattering of dielectric cylinders for medical applications. Sensors 2023, 16, 7250. [Google Scholar] [CrossRef] [PubMed]
- Cho, H.; Jo, H.W.; Kim, J.W.; Kim, K.S.; Oh, J. Shorted trapezoidal SIW antenna with quasi-hemispherical pattern for 2D wide scanning planar phased array antenna. IEEE Trans. Antennas Propag. 2022, 70, 7211–7216. [Google Scholar] [CrossRef]
- Roshani, S.; Koziel, S.; Yahya, S.I.; Chaudhary, M.A.; Ghadi, Y.Y.; Roshani, S.; Golunski, L. Mutual coupling reduction in antenna arrays using artificial intelligence approach and inverse neural network surrogates. Sensors 2023, 16, 7089. [Google Scholar] [CrossRef]
- He, T.; Zhu, G.F.; Wang, L. Possible fault types and impact analysis of phased array antennas. In Proceedings of the 2019 IEEE 4th Advanced Information Technology, Electronic and Automation Control Conference (IAEAC 2019), Chengdu, China, 20–22 December 2019. [Google Scholar]
- Vakalis, S.; Nanzer, J.A. Analysis of element failures in active incoherent microwave imaging arrays using noise signals. IEEE Microw. Wirel. Compon. Lett. 2019, 29, 161–163. [Google Scholar] [CrossRef]
- Zhu, S.; Han, C.H.; Meng, Y.F.; Xu, J.W.; An, T. Embryonics based phased array antenna structure with self-repair ability. IEEE Access 2020, 8, 209660–209673. [Google Scholar] [CrossRef]
- Agrawal, A.K.; Holzman, E.L. Active phased array design for high reliability. IEEE Trans. Aerosp. Electron. Syst. 1999, 35, 1204–1211. [Google Scholar] [CrossRef]
- Costantine, J.; Tawk, Y.; Barbin, S.E. Reconfigurable antennas: Design and applications. Proc. IEEE 2015, 103, 424–437. [Google Scholar] [CrossRef]
- Koziel, S.; Dabrowska, A.P.; Hasan, M.A. Frequency based regularization for improved reliability optimization of antenna structures. IEEE Trans. Antennas Propag. 2021, 69, 4246–4251. [Google Scholar] [CrossRef]
- Kouassi, A.; Nguyen-Trong, N.; Kaufmann, T. Reliability-aware optimization of a wideband antenna. IEEE Trans. Antennas Propag. 2016, 64, 450–460. [Google Scholar] [CrossRef]
- Kumar, B.P.; Kumar, C.; Kumar, V.S. Reliability considerations of spherical phased array antenna for satellites. IEEE Trans. Aerosp. Electron. Syst. 2018, 54, 1381–1391. [Google Scholar] [CrossRef]
- Marchiori, G.; Formentin, F.; Rampini, F. Reliability-centered maintenance for ground-based large optical telescopes and radio antenna arrays. In Proceedings of the SPIE, Montréal, QC, Canada, 22 July 2014. [Google Scholar]
- Tymoteusz, B. VTS ZATOKA radar system reliability and availability analysis. Int. J. Reliab. Qual. Saf. Eng. 2007, 14, 537–545. [Google Scholar]
- Hongan, L.; Huairui, G.; Monteforte, A.; Mettas, A. Reliability analysis for phased array radar system. In Proceedings of the 2009 8th International Conference on Reliability, Maintainability and Safety, Chengdu, China, 20–24 July 2009; pp. 20–23. [Google Scholar]
- Serkan, E. Mean time to failure of weighted k-out-of-n: G systems. Commun. Stat.-Simul. Comput. 2015, 44, 2705–2713. [Google Scholar]
- Serkan, S.T.; Baktir, C. Reliability modeling & analysis for active phased array antenna design. In Proceedings of the 2017 Annual Reliability and Maintainability Sym-posium (RAMS), Orlando, FL, USA, 23–26 January 2017; pp. 1–5. [Google Scholar]
- Zhao, Z.C.; Chen, W.B.; Li, X.Y. Reliability modeling and analysis of satellite-based phased array antenna. In Proceedings of the 2022 13th International Conference on Reliability, Maintainability, and Safety (ICRMS), Kowloon, Hong Kong, 21–24 August 2022; pp. 238–242. [Google Scholar]
- Jung, M.; Saad, W.; Jang, Y. Reliability analysis of large intelligent surfaces (LISs): Rate distribution and outage probability. IEEE Wirel. Commun. Lett. 2019, 8, 1662–1666. [Google Scholar] [CrossRef]
- Yang, J.; Zhang, H.; Luo, H. Application of flexible degradation technology to phased-array antenna. In Proceedings of the 2021 2nd China International SAR Symposium (CISS), Shanghai, China, 3–5 November 2021; pp. 1–3. [Google Scholar]
- Dong, W.; Xu, Z.H.; Wang, L.S.B. Array reliability analysis for irregular subarrayed phased array antenna. In Proceedings of the 2020 IEEE International Symposium on Antennas and Propagation and North American Radio Science Meeting, Montreal, QC, Canada, 5–10 July 2020; pp. 283–284. [Google Scholar]
- Famoriji, O.J.; Akingbade, K.; Ogunti, E. Analysis of phased array antenna system via spherical harmonics decomposition. IET Commun. 2019, 18, 3097–3104. [Google Scholar] [CrossRef]






| Array Antenna Scale N | State Number |
|---|---|
| 10 | 1024 |
| 20 | 1.05 × 106 |
| 30 | 1.07 × 109 |
| 40 | 1.10 × 1012 |
| 50 | 1.13 × 1015 |
| 60 | 1.15 × 1018 |
| 70 | 1.18 × 1021 |
| 80 | 1.21 × 1024 |
| 90 | 1.24 × 1027 |
| 100 | 1.27 × 1030 |
| Subarray Sequence Number | Radius r | TR Number in Subarray | Minimal Failure Number |
|---|---|---|---|
| 0 | r0 | n0 | f0 |
| 1 | r1 | n1 | f1 |
| 2 | r2 | n2 | f2 |
| … | … | … | … |
| m − 1 | rm−1 | nm−1 | fm−1 |
| Method | Array Antenna Scale | Average Life/h |
|---|---|---|
| existing method [19] | 20 | 35,203 |
| proposed method | 20 | 18,937 |
| Subarray Sequence Number | Radius r | TR Number in Subarray | Minimal Failure Number |
|---|---|---|---|
| 0 | 12 | 24 | 3 |
| 1 | 21 | 42 | 4 |
| 2 | 28 | 56 | 5 |
| 3 | 32 | 64 | 5 |
| Method | Array Antenna Scale | Average Life/h |
|---|---|---|
| existing method [19] | 64 | 25,531 |
| proposed method | 64 | 21,158 |
Disclaimer/Publisher’s Note: The statements, opinions and data contained in all publications are solely those of the individual author(s) and contributor(s) and not of MDPI and/or the editor(s). MDPI and/or the editor(s) disclaim responsibility for any injury to people or property resulting from any ideas, methods, instructions or products referred to in the content. |
© 2024 by the authors. Licensee MDPI, Basel, Switzerland. This article is an open access article distributed under the terms and conditions of the Creative Commons Attribution (CC BY) license (https://creativecommons.org/licenses/by/4.0/).
Share and Cite
Huang, X.; Zhu, S.; Liang, G. Reliability Evaluation Method for Array Antenna Considering Performance Changes. Sensors 2024, 24, 1914. https://doi.org/10.3390/s24061914
Huang X, Zhu S, Liang G. Reliability Evaluation Method for Array Antenna Considering Performance Changes. Sensors. 2024; 24(6):1914. https://doi.org/10.3390/s24061914
Chicago/Turabian StyleHuang, Xinxin, Sai Zhu, and Guanhui Liang. 2024. "Reliability Evaluation Method for Array Antenna Considering Performance Changes" Sensors 24, no. 6: 1914. https://doi.org/10.3390/s24061914
APA StyleHuang, X., Zhu, S., & Liang, G. (2024). Reliability Evaluation Method for Array Antenna Considering Performance Changes. Sensors, 24(6), 1914. https://doi.org/10.3390/s24061914

