Broadband Eddy Current Measurement of the Sheet Resistance of GaN Semiconductors
Abstract
1. Introduction
2. Experimental Setup
2.1. Contactless Multifrequency Eddy Current System (MFEC)
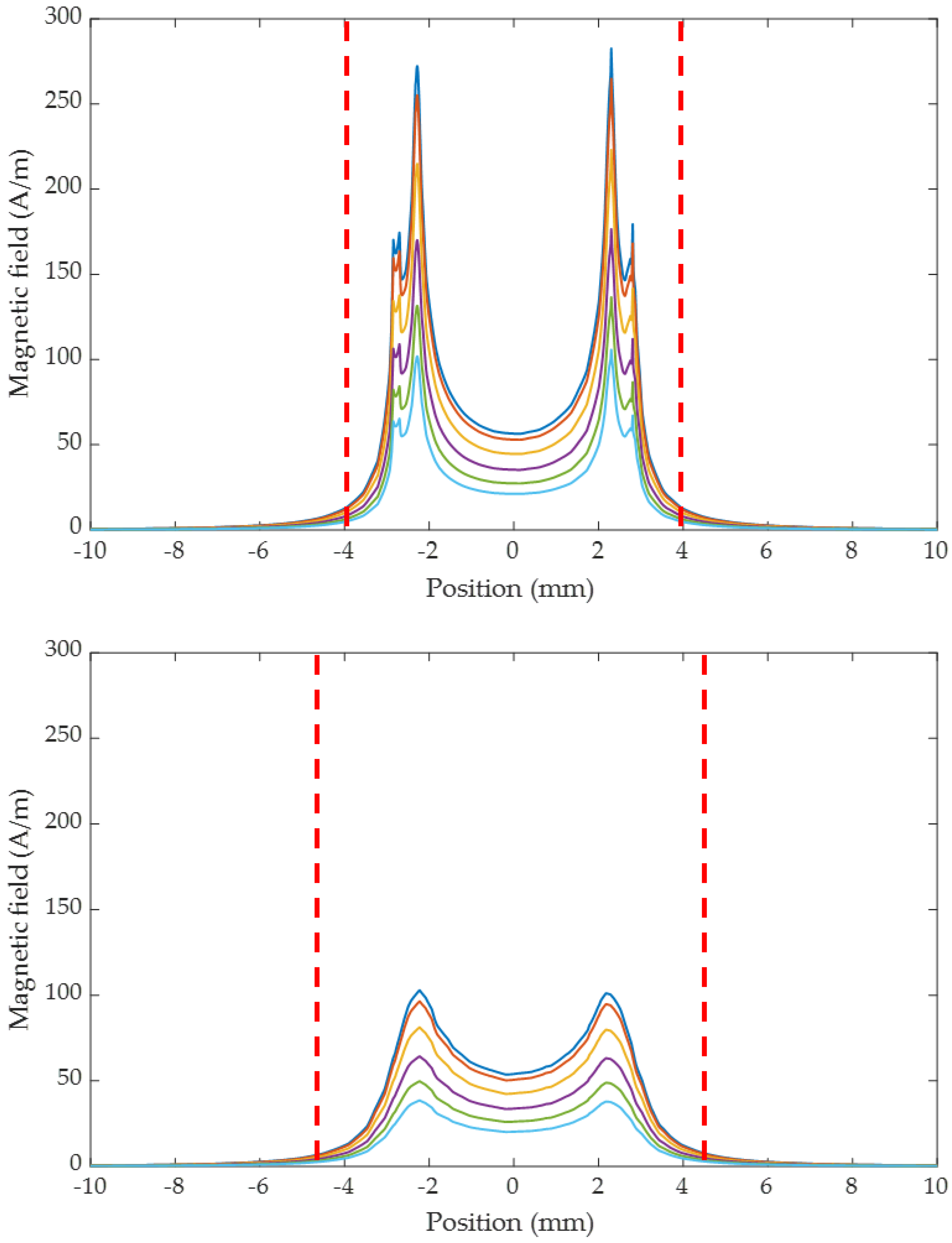
2.2. Finite Element Model and Simulation
3. Experimental Result on the Measurement of a GaN Sample
4. Conclusions
Author Contributions
Funding
Data Availability Statement
Acknowledgments
Conflicts of Interest
References
- Rashid, M.H. Power electronics—Challenges and trends. In Proceedings of the 2017 International Conference on Innovations in Electrical Engineering and Computational Technologies (ICIEECT), Karachi, Pakistan, 5–7 April 2017; p. 1. [Google Scholar]
- Blaabjerg, F.; Ma, K.; Yang, Y. Power Electronics for Renewable Energy Systems—Status and Trends. In Proceedings of the CIPS 2014, 8th International Conference on Integrated Power Electronics Systems, Nuremberg, Germany, 20–22 March 2014; pp. 1–11. [Google Scholar]
- Tejaswini, B.; Percis, E.S. Supremacy of Power Electronic Technologies and their Applications in Modern Operating Converters in Smart Grid. In Proceedings of the 2022 6th International Conference on Electronics, Communication and Aerospace Technology, Coimbatore, India, 1–3 December 2022; pp. 134–139. [Google Scholar]
- Meneghini, M.; De Santi, C.; Abid, I.; Buffolo, M.; Cioni, M.; Khadar, R.A.; Nela, L.; Zagni, N.; Chini, A.; Medjdoub, F.; et al. GaN-based power devices: Physics, reliability, and perspectives. J. Appl. Phys. 2021, 130, 181101. [Google Scholar] [CrossRef]
- Tang, G.; Kwan, M.H.; Zhang, Z.; He, J.; Lei, J.; Su, R.Y.; Yao, F.W.; Lin, Y.M.; Yu, J.L.; Yang, T.; et al. High-speed, high-reliability GaN power device with integrated gate driver. In Proceedings of the 2018 IEEE 30th International Symposium on Power Semiconductor Devices and ICs (ISPSD), Chicago, IL, USA, 13–17 May 2018; pp. 76–79. [Google Scholar]
- Kumazaki, Y.; Ohki, T.; Kotani, J.; Ozaki, S.; Niida, Y.; Minoura, Y.; Nishimori, M.; Okamoto, N.; Sato, M.; Nakamura, N.; et al. Over 80% power-added-efficiency GaN high-electron-mobility transistors on free-standing GaN substrates. Appl. Phys. Express 2021, 14, 16502. [Google Scholar] [CrossRef]
- Zeng, F.; An, J.X.; Zhou, G.; Li, W.; Wang, H.; Duan, T.; Jiang, L.; Yu, H. A Comprehensive Review of Recent Progress on GaN High Electron Mobility Transistors: Devices, Fabrication and Reliability. Electronics 2018, 7, 377. [Google Scholar] [CrossRef]
- Valdes, L.B. Resistivity Measurements on Germanium for Transistors. Proc. IRE 1954, 42, 420–427. [Google Scholar] [CrossRef]
- Chelly, A.; Glass, S.; Belhassen, J.; Karsenty, A. Broad review of four-point probe correction factors: Enhanced analytical model using advanced numerical and experimental cross-examination. Results Phys. 2023, 48, 106445. [Google Scholar] [CrossRef]
- Sinton, R.A.; Cuevas, A. Contactless determination of current voltage characteristics and minority carrier lifetimes in semiconductors from quasi steady state photoconductance data. Appl. Phys. Lett. 1996, 69, 2510–2512. [Google Scholar] [CrossRef]
- Watson, C.C.; Chan, W.K. High-spatial-resolution semiconductor characterization using a microwave eddy current probe. Appl. Phys. Lett. 2001, 78, 129–131. [Google Scholar] [CrossRef]
- Xia, Z.; Huang, R.; Chen, Z.; Yu, K.; Zhang, Z.; Salas-Avila, J.R.; Yin, W. Eddy Current Measurement for Planar Structures. Sensors 2022, 22, 8695. [Google Scholar] [CrossRef] [PubMed]
- Loete, F.; Le Bihan, Y.; Mencaraglia, D. Contactless Measurement of Semiconductor Conductivity. FR Patent 1553392, 16 April 2015. [Google Scholar]
- Loete, F.; Le Bihan, Y.; Mencaraglia, D. Contactless device for the fast conductivity characterization of a large range semiconductors. In Proceedings of the 2016 International Symposium on Semiconductor Manufacturing (ISSM), Tokyo, Japan, 12–13 December 2016; pp. 1–4. [Google Scholar]
- Loete, F.; Makhloufi, H.; Bihan, Y.L.; Mencaraglia, D. Contactless Conductivity Measurement for ITO Nanolayers on AsGa Substrats Over a Wide Frequency Range. In Proceedings of the 2018 IEEE Sensors, New Delhi, India, 28–31 October 2018; pp. 1–4. [Google Scholar]
- Dodd, C.V.; Deeds, W.E. Analytical Solutions to Eddy-Current Probe-Coil Problems. J. Appl. Phys. 1968, 39, 2829–2838. [Google Scholar] [CrossRef]
- Gramz, M.; Stepinski, T. Eddy Current Imaging, Array Sensors and Flaw Reconstruction. Res. Nondestruct. Eval. 1994, 5, 157–174. [Google Scholar] [CrossRef]
- Gajda, J.; Stencel, M. Eddy-Current Sensors with Asymmetrical Point Spread Function. Sensors 2016, 16, 1642. [Google Scholar] [CrossRef] [PubMed]
- García-Martín, J.; Gómez-Gil, J.; Vázquez-Sánchez, E. Non-Destructive Techniques Based on Eddy Current Testing. Sensors 2011, 11, 2525–2565. [Google Scholar] [CrossRef] [PubMed]
- Khan, U.; Narang, K.; Arora, A.; Tyagi, R.; Padmavati, M.V.G.; Bag, R.K.; Riaz, U. Improvement in the crystalline quality of GaN and defects analysis using cathodoluminescence. Mater. Today Proc. 2021, 36, 631–636. [Google Scholar] [CrossRef]
- Mishra, M.; Krishna, S.T.; Aggarwal, N.; Vihari, S.; Chauhan, A.K.S.; Gupta, G. A Comparative Photoelectron Spectroscopic Analysis of MBE and MOCVD Grown Epitaxial GaN Films. Sci. Adv. Mater. 2015, 7, 546–551. [Google Scholar] [CrossRef]
- Prabhakaran, K.; Andersson, T.G.; Nozawa, K. Nature of native oxide on GaN surface and its reaction with Al. Appl. Phys. Lett. 1996, 69, 3212–3214. [Google Scholar] [CrossRef]
- Besendörfer, S.; Meissner, E.; Medjdoub, F.; Derluyn, J.; Friedrich, J.; Erlbacher, T. The impact of dislocations on AlGaN/GaN Schottky diodes and on gate failure of high electron mobility transistors. Sci. Rep. 2020, 10, 17252. [Google Scholar] [CrossRef] [PubMed]
- Mishra, M.; Krishna, N.; Aggarwal, N.; Kaur, M.; Singh, S.; Gupta, G. Pit assisted oxygen chemisorption on GaN surfaces. Phys. Chem. Chem. Phys. 2015, 17, 15201–15208. [Google Scholar] [CrossRef] [PubMed]
- Pérez-Tomás, A.; Placidi, M.; Fontserè, A.; Gammon, P.M.; Jennings, M.R. Temperature behavior and modeling of ohmic contacts to Si+ implanted n-type GaN. Microelectron. Reliab. 2011, 51, 1325–1329. [Google Scholar] [CrossRef]
- Mnatsakanov, T.T.; Levinshtein, M.E.; Pomortseva, L.I.; Yurkov, S.N.; Simin, G.S.; Khan, M.A. Carrier mobility model for GaN. Solid-State Electron. 2003, 47, 111–115. [Google Scholar] [CrossRef]
- Götz, W.; Johnson, N.M.; Chen, C.; Liu, H.; Kuo, C.; Imler, W. Activation energies of Si donors in GaN. Appl. Phys. Lett. 1996, 68, 3144–3146. [Google Scholar] [CrossRef]





Disclaimer/Publisher’s Note: The statements, opinions and data contained in all publications are solely those of the individual author(s) and contributor(s) and not of MDPI and/or the editor(s). MDPI and/or the editor(s) disclaim responsibility for any injury to people or property resulting from any ideas, methods, instructions or products referred to in the content. |
© 2024 by the authors. Licensee MDPI, Basel, Switzerland. This article is an open access article distributed under the terms and conditions of the Creative Commons Attribution (CC BY) license (https://creativecommons.org/licenses/by/4.0/).
Share and Cite
Belkacem, G.; Loete, F.; Phulpin, T. Broadband Eddy Current Measurement of the Sheet Resistance of GaN Semiconductors. Sensors 2024, 24, 1629. https://doi.org/10.3390/s24051629
Belkacem G, Loete F, Phulpin T. Broadband Eddy Current Measurement of the Sheet Resistance of GaN Semiconductors. Sensors. 2024; 24(5):1629. https://doi.org/10.3390/s24051629
Chicago/Turabian StyleBelkacem, Ghania, Florent Loete, and Tanguy Phulpin. 2024. "Broadband Eddy Current Measurement of the Sheet Resistance of GaN Semiconductors" Sensors 24, no. 5: 1629. https://doi.org/10.3390/s24051629
APA StyleBelkacem, G., Loete, F., & Phulpin, T. (2024). Broadband Eddy Current Measurement of the Sheet Resistance of GaN Semiconductors. Sensors, 24(5), 1629. https://doi.org/10.3390/s24051629

