Development of High-Performance Ethanol Gas Sensors Based on La2O3 Nanoparticles-Embedded Porous SnO2 Nanofibers
Abstract
1. Introduction
2. Materials and Methods
2.1. Materials
2.2. Preparation
2.3. Characterization
2.4. Fabrication and Measurement of Gas Sensor
3. Results
3.1. Characterization of La2O3 NPs-Embedded Porous SnO2 NFs
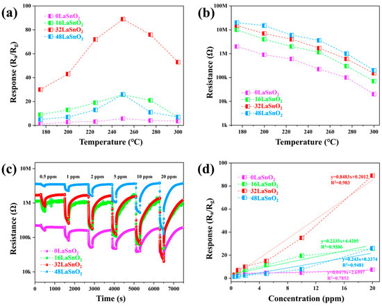
3.2. Gas-Sensing Properties
3.3. Gas-Sensing Mechanism
4. Conclusions
Supplementary Materials
Author Contributions
Funding
Institutional Review Board Statement
Informed Consent Statement
Data Availability Statement
Conflicts of Interest
References
- Wang, C.; Wang, Z.; Xi, R.; Zhang, L.; Zhang, S.; Wang, L.; Pan, G. In situ synthesis of flower-like ZnO on GaN using electrodeposition and its application as ethanol gas sensor at room temperature. Sens. Actuator B-Chem. 2019, 292, 270–276. [Google Scholar] [CrossRef]
- Thu, N.; Cuong, N.; Nguyen, L.; Khieu, D.; Nam, P.; Toan, N.; Hung, C.; Hieu, N. Fe2O3 nanoporous network fabricated from Fe3O4/reduced graphene oxide for high-performance ethanol gas sensor. Sens. Actuator B-Chem. 2018, 255, 3275–3283. [Google Scholar] [CrossRef]
- Cao, F.; Li, C.; Li, M.; Li, H.; Huang, X.; Yang, B. Direct growth of Al-doped ZnO ultrathin nanosheets on electrode for ethanol gas sensor application. Appl. Surf. Sci. 2018, 447, 173–181. [Google Scholar] [CrossRef]
- Raghu, A.; Katuppanan, K.; Nampoothiri, J.; Pullithadathil, B. Wearable, flexible ethanol gas sensor based on TiO2 nanoparticles-grafted 2D-titanium carbide nanosheets. ACS Appl. Nano Mater. 2019, 2, 1152–1163. [Google Scholar] [CrossRef]
- Wang, Q.; Kou, X.; Liu, C.; Zhao, L.; Lin, T.; Liu, F.; Yang, X.; Lin, J.; Lu, G. Hydrothermal synthesis of hierarchical CoO/SnO2 nanostructures for ethanol gas sensor. J. Colloid Interface Sci. 2018, 513, 760–766. [Google Scholar] [CrossRef] [PubMed]
- Cai, Z.; Park, S. A superior sensor consisting of porous, Pd nanoparticle–decorated SnO2 nanotubes for the detection of ppb-level hydrogen gas. J. Alloys Compd. 2022, 907, 164459. [Google Scholar] [CrossRef]
- Cai, Z.; Park, S. Ultrasensitive hydrogen sensor based on porous-structured Pd-decorated In2O3 nanoparticle-embedded SnO2 nanofibers. Sens. Actuator B-Chem. 2022, 367, 132090. [Google Scholar] [CrossRef]
- Cao, P.; Yang, Z.; Navale, S.; Ham, S.; Liu, X.; Liu, W.; Lu, Y.; Stadler, F.; Zhu, D. Ethanol sensing behavior of Pd-nanoparticles decorated ZnO-nanorod based chemiresistive gas sensors. Sens. Actuator B-Chem. 2019, 298, 126850. [Google Scholar] [CrossRef]
- Choi, S.; Bonyani, M.; Sun, G.; Lee, J.; Hyun, S.; Lee, C. Cr2O3 nanoparticle-functionalized WO3 nanorods for ethanol gas sensors. Appl. Surf. Sci. 2018, 432, 241–249. [Google Scholar] [CrossRef]
- Zhao, S.; Shen, Y.; Yan, X.; Zhou, P.; Yin, Y.; Lu, R.; Han, C.; Cui, B.; Wei, D. Complex-surfactant-assisted hydrothermal synthesis of one-dimensional ZnO nanorods for high-performance ethanol gas sensor. Sens. Actuator B-Chem. 2019, 286, 501–511. [Google Scholar] [CrossRef]
- Han, C.; Chen, X.; Liu, D.; Zhou, P.; Zhao, S.; Bi, H.; Meng, D.; Wei, D.; Shen, Y. Fabrication of shrub-like CuO porous films by a top-down method for high-performance ethanol gas sensor. Vacuum 2018, 157, 332–339. [Google Scholar] [CrossRef]
- Liu, D.; Tang, A.; Zhang, Z. Visible light assisted room-temperature NO2 gas sensor based on hollow SnO2@SnS2 nanostructures. Sens. Actuator B-Chem. 2020, 324, 128754. [Google Scholar] [CrossRef]
- Zhang, Q.; Zhao, Y.; Shang, X.; Tang, S.; Jiang, L.; Wu, Y.; Zhou, Q.; Li, S. Novel strategy and highly sensitive cataluminescence gas sensor for methallyl alcohol detection based on La2O3/α-Al2O3 composite materials. Sens. Actuator B-Chem. 2022, 369, 132331. [Google Scholar] [CrossRef]
- Hsu, K.; Fang, T.; Hsiao, Y.; Chan, C. Highly response CO2 gas sensor based on Au-La2O3 doped SnO2 nanofibers. Mater. Lett. 2020, 261, 127144. [Google Scholar] [CrossRef]
- Kong, Y.; Li, Y.; Cui, X.; Su, L.; Ma, D.; Lai, T.; Yao, L.; Xiao, X.; Wang, Y. SnO2 nanostructured materials used as gas sensors for the detection of hazardous and flammable gases: A review. Nano Mater. Sci. 2022, 4, 339–350. [Google Scholar] [CrossRef]
- Chen, Q.; Ma, S.; Xu, X.; Jiao, H.; Zhang, G.; Liu, L.; Wang, P.; Gengzang, D.; Yao, H. Optimization ethanol detection performance manifested by gas sensor based on In2O3/ZnS rough microspheres. Sens. Actuator B-Chem. 2018, 264, 263–278. [Google Scholar] [CrossRef]
- Liu, J.; Wang, T.; Wang, B.; Sun, P.; Yang, Q.; Liang, X.; Song, H.; Lu, G. Highly sensitive and low detection limit of ethanol gas sensor based on hollow ZnO/SnO2 spheres composite material. Sens. Actuator B-Chem. 2017, 245, 551–559. [Google Scholar] [CrossRef]
- Qin, Y.; Fan, G.; Liu, K.; Hu, M. Vanadium pentoxide hierarchical structure networks for high performance ethanol gas sensor with dual working temperature characteristic. Sens. Actuator B-Chem. 2014, 190, 141–148. [Google Scholar] [CrossRef]
- Shooshtari, M.; Sacco, L.; Ginkel, J.; Vollebregt, S.; Salehi, A. Enhancement of room temperature ethanol sensing by optimizing the density of vertically aligned carbon nanofibers decorated with gold nanoparticles. Materials 2022, 15, 1383. [Google Scholar] [CrossRef] [PubMed]
- Zhang, Y.; Li, J.; Duan, Z.; Yang, Y.; Yuan, Z.; Jiang, Y.; Tai, H. Pd-decorated ZnO hexagonal microdiscs for NH3 sensor. Chemosensors 2024, 12, 43. [Google Scholar] [CrossRef]
- Cai, Z.; Park, S. Highly selective acetone sensor based on Co3O4-decorated porous TiO2 nanofibers. J. Alloys Compd. 2022, 919, 165875. [Google Scholar] [CrossRef]
- Cai, Z.; Park, S. Fabrication of selective and highly sensitive triethylamine gas sensor using In2O3-SnO2 hollow nanospheres in room temperature activated by UV irradiation. J. Mater. Res. Technol.-JMRT 2023, 26, 6581–6596. [Google Scholar] [CrossRef]
- Zhou, Q.; Xu, L.; Umar, A.; Chen, W.; Kumar, R. Pt nanoparticles decorated SnO2 nanoneedles for efficient CO gas sensing applications. Sens. Actuator B-Chem. 2018, 256, 656–664. [Google Scholar] [CrossRef]
- Yang, S.; Lei, G.; Xu, H.; Lan, Z.; Wang, Z.; Gu, H. Metal Oxide Based Heterojunctions for Gas Sensors: A Review. Nanomaterials, 2021; 11, 1026. [Google Scholar]
- Zappa, D.; Galstyan, V.; Kaur, N.; Arachchige, H.; Sisman, O.; Comini, E. Metal oxide -based heterostructures for gas sensors—A review. Anal. Chim. Acta 2018, 1039, 1–23. [Google Scholar] [CrossRef]
- Qin, W.; Zhang, R.; Yuan, Z.; Xing, C.; Meng, F. Preparation of p-LaFeO3/n-Fe2O3 heterojunction composites by one-step hydrothermal method and gas sensing properties for acetone. IEEE Trans. Instrum. Meas. 2022, 71, 1501809. [Google Scholar] [CrossRef]
- Zhao, G.; Li, M.; Li, H.; Ping, Z.; Wang, P.; Wu, Y.; Li, L. La-doped micro-angular cube ZnSnO3 with nano-La2O3 decoration for enhanced ethylene glycol sensing performance at low temperature. Sens. Actuator A-Phys. 2023, 362, 114649. [Google Scholar] [CrossRef]
- Rahman, M.; Sheikh, T.; Asiri, A.; Awual, M. Development of 3-methoxyaniline sensor probe based on thin Ag2O@La2O3 nanosheets for environmental safety. N. J. Chem. 2019, 43, 4620–4632. [Google Scholar] [CrossRef]
- Ciftyürek, E.; Šmíd, B.; Li, Z.; Matolín, V.; Schierbaum, K. Spectroscopic understanding of SnO2 and WO3 metal oxide surfaces with advanced synchrotron based; XPS-UPS and near ambient pressure (NAP) XPS surface sensitive techniques for gas sensor applications under operational conditions. Sensors 2019, 19, 4737. [Google Scholar] [CrossRef]
- Liu, L.; Wang, Y.; Guan, K.; Liu, Y.; Li, Y.; Sun, F.; Wang, X.; Zhang, C.; Feng, S.; Zhang, T. Influence of oxygen vacancies on the performance of SnO2 gas sensing by near-ambient pressure XPS studies. Sens. Actuator B-Chem. 2023, 393, 134252. [Google Scholar] [CrossRef]
- Bai, X.; Lv, H.; Liu, Z.; Chen, J.; Wang, J.; Sun, B.; Zhang, Y.; Wang, R.; Shi, K. Thin-layered MoS2 nanoflakes vertically grown on SnO2 nanotubes as highly effective room-temperature NO2 gas sensor. J. Hazard. Mater. 2021, 416, 125830. [Google Scholar] [CrossRef]
- Li, N.; Fan, Y.; Shi, Y.; Xiang, Q.; Wang, X.; Xu, J. A low temperature formaldehyde gas sensor based on hierarchical SnO/SnO2 nano-flowers assembled from ultrathin nanosheets: Synthesis, sensing performance and mechanism. Sens. Actuator B-Chem. 2019, 294, 106–115. [Google Scholar] [CrossRef]
- Zhang, K.; Qin, S.; Tang, P.; Feng, Y.; Li, D. Ultra-sensitive ethanol gas sensors based on nanosheet-assembled hierarchical ZnO-In2O3 heterostructures. J. Hazard. Mater. 2020, 391, 122191. [Google Scholar] [CrossRef] [PubMed]
- Cai, Z.; Park, J.; Park, S. Room temperature selective detection of NO2 using Au-decorated In2O3 nanoparticles embedded in porous ZnO nanofibers. J. Alloys Compd. 2023, 965, 171352. [Google Scholar] [CrossRef]
- Zhang, J.; Ma, S.; Wang, B.; Pei, S. Hydrothermal synthesis of SnO2-CuO composite nanoparticles as a fast-response ethanol gas sensor. J. Alloys Compd. 2021, 886, 161299. [Google Scholar] [CrossRef]
- Petrov, V.; Sysoev, V.; Starnikova, A.; Volkova, M.; Kalazhokov, Z.; Storozhenko, V.; Khubezhov, S.; Bayan, E. Synthesis, Characterization and Gas Sensing Study of ZnO-SnO2 Nanocomposite Thin Films. Chemosensors 2021, 9, 124. [Google Scholar] [CrossRef]
- Guo, J.; Li, W.; Zhao, X.; Hu, H.; Wang, M.; Luo, Y.; Xie, D.; Zhang, Y.; Zhu, H. Highly Sensitive, Selective, Flexible and Scalable Room-Temperature NO2 Gas Sensor Based on Hollow SnO2/ZnO Nanofibers. Molecules 2021, 26, 6475. [Google Scholar] [CrossRef]
- Li, Z.; Zeng, W.; Li, Q. SnO2 as a gas sensor in detection of volatile organic compounds: A review. Sens. Actuator A-Phys. 2022, 346, 113845. [Google Scholar] [CrossRef]
- Cai, Z.; Park, J.; Jun, D.; Park, S. High-performance UV-activated room temperature NO2 sensors based on TiO2/In2O3 composite. Crystengcomm 2023, 25, 2546–2556. [Google Scholar] [CrossRef]
- Sun, G.; Kheel, H.; Ko, T.; Lee, C.; Kim, H. Prominent ethanol sensing with Cr2O3 nanoparticle-decorated ZnS nanorods sensors. J. Korean Phys. Soc. 2016, 69, 390–397. [Google Scholar] [CrossRef]
- Huang, B.; Zhang, Z.; Zhao, C.; Cairang, L.; Bai, J.; Zhang, Y.; Mu, X.; Du, J.; Wang, H.; Pan, X.; et al. Enhanced gas-sensing performance of ZnO@In2O3 core@shell nanofibers prepared by coaxial electrospinning. Sens. Actuator B-Chem. 2018, 255, 2248–2257. [Google Scholar] [CrossRef]
- Zeng, W.; Miao, B.; Li, T.; Zhang, H.; Hussain, S.; Li, Y.; Yu, W. Hydrothermal synthesis, characterization of h-WO3 nanowires and gas sensing of thin film sensor based on this powder. Thin Solid Films 2015, 584, 294–299. [Google Scholar] [CrossRef]
- Kim, K.; Kim, D.; Kang, S.; Park, S. Detection of ethanol gas using In2O3 nanoparticle-decorated ZnS nanowires. Sens. Actuator B-Chem. 2017, 248, 43–49. [Google Scholar] [CrossRef]
- Zhang, S.; Song, P.; Liu, L.; Yang, Z.; Wang, Q. In2O3 nanosheets array directly grown on Al2O3 ceramic tube and their gas sensing performance. Ceram. Int. 2017, 43, 7942–7947. [Google Scholar] [CrossRef]
- Hieu, N.; Kim, H.; Ju, B.; Lee, J. Enhanced performance of SnO2 nanowires ethanol sensor by functionalizing with La2O3. Sens. Actuator B-Chem. 2008, 133, 228–234. [Google Scholar] [CrossRef]
- Phan, T.; Dinh, T.; Nguyen, M.; Li, D.; Phan, C.; Pham, T.; Nguyen, C.; Pham, T. Hierarchically structured LaFeO3 with hollow core and porous shell as efficient sensing material for ethanol detection. Sens. Actuator B-Chem. 2022, 354, 131195. [Google Scholar] [CrossRef]
- Hao, P.; Qiu, G.; Song, P.; Yang, Z.; Wang, Q. Construction of porous LaFeO3 microspheres decorated with NiO nanosheets for high response ethanol gas sensors. Appl. Surf. Sci. 2020, 515, 146025. [Google Scholar] [CrossRef]
- Liu, H.; Li, P.; Liu, B.; Zhang, T.; Zhang, Y. Au/La Co-Modified In2O3 Nanospheres for Highly Sensitive Ethanol Gas Detection. Chemosensors 2022, 10, 392. [Google Scholar] [CrossRef]
- Wu, X.; Wang, H.; Wang, J.; Wang, D.; Shi, L.; Tian, X.; Sun, J. VOCs gas sensor based on MOFs derived porous Au@Cr2O3-In2O3 nanorods for breath analysis. Colloid Surf. A-Physicochem. Eng. Asp. 2022, 632, 127752. [Google Scholar] [CrossRef]
- Choi, M.; Kim, M.; Mirzaei, A.; Kim, H.; Kim, S.; Baek, S.; Chun, D.; Jin, C.; Lee, K. Selective, sensitive, and stable NO2 gas sensor based on porous ZnO nanosheets. Appl. Surf. Sci. 2021, 568, 150910. [Google Scholar] [CrossRef]
- Cai, Z.; Park, J.; Park, S. Synergistic effect of Pd and Fe2O3 nanoparticles embedded in porous NiO nanofibers on hydrogen gas detection: Fabrication, characterization, and sensing mechanism exploration. Sens. Actuator B-Chem. 2023, 388, 133836. [Google Scholar] [CrossRef]
- Wang, L.; Ma, S.; Xu, X.; Li, J.; Yang, T.; Cao, P.; Yun, P.; Wang, S.; Han, T. Oxygen vacancy-based Tb-doped SnO2 nanotubes as an ultra-sensitive sensor for ethanol detection. Sens. Actuator B-Chem. 2021, 344, 130111. [Google Scholar] [CrossRef]
- Cai, Z.; Park, S. Improved SnO2 nanowire acetone sensor with uniform Co3O4 nanoparticle decoration. J. Environ. Chem. Eng. 2023, 11, 111504. [Google Scholar] [CrossRef]












| Sensing Materials | Con. (ppm) | Tem. (°C) | Res. (Ra/Rg) | Res. Time (s) | Rec. Time (s) | Ref. |
|---|---|---|---|---|---|---|
| Cr2O3/ZnS | 200 | 300 | 13.84 | 23 | 20 | [40] |
| In2O3/ZnO | 100 | 225 | 32 | 3.7 | 52 | [41] |
| WO3 | 200 | 300 | 32.5 | 6 | 8 | [42] |
| In2O3/ZnS | 100 | 300 | 15 | 40 | 225 | [43] |
| In2O3 | 100 | 280 | 45 | - | - | [44] |
| La2O3/SnO2 | 100 | 400 | 57.3 | - | - | [45] |
| LaFeO3 | 143 | 300 | 14.5 | 23 | 39 | [46] |
| NiO/LaFeO3 | 10 | 240 | 14.7 | 2 | 9 | [47] |
| Au/La/In2O3 | 100 | 210 | 1.48 | 1 | 394 | [48] |
| Au@Cr2O3-In2O3 | 5 | 180 | 4.4 | 135 | 618 | [49] |
| La2O3/SnO2 | 20 | 250 | 111 | 150 | 742 | This work |
Disclaimer/Publisher’s Note: The statements, opinions and data contained in all publications are solely those of the individual author(s) and contributor(s) and not of MDPI and/or the editor(s). MDPI and/or the editor(s) disclaim responsibility for any injury to people or property resulting from any ideas, methods, instructions or products referred to in the content. |
© 2024 by the authors. Licensee MDPI, Basel, Switzerland. This article is an open access article distributed under the terms and conditions of the Creative Commons Attribution (CC BY) license (https://creativecommons.org/licenses/by/4.0/).
Share and Cite
Li, G.; Hou, J.; Hilal, M.; Kim, H.; Chen, Z.; Cui, Y.; Kim, J.-H.; Cai, Z. Development of High-Performance Ethanol Gas Sensors Based on La2O3 Nanoparticles-Embedded Porous SnO2 Nanofibers. Sensors 2024, 24, 6839. https://doi.org/10.3390/s24216839
Li G, Hou J, Hilal M, Kim H, Chen Z, Cui Y, Kim J-H, Cai Z. Development of High-Performance Ethanol Gas Sensors Based on La2O3 Nanoparticles-Embedded Porous SnO2 Nanofibers. Sensors. 2024; 24(21):6839. https://doi.org/10.3390/s24216839
Chicago/Turabian StyleLi, Gen, Jian Hou, Muhammad Hilal, Hyojung Kim, Zhiyong Chen, Yunhao Cui, Jun-Hyun Kim, and Zhicheng Cai. 2024. "Development of High-Performance Ethanol Gas Sensors Based on La2O3 Nanoparticles-Embedded Porous SnO2 Nanofibers" Sensors 24, no. 21: 6839. https://doi.org/10.3390/s24216839
APA StyleLi, G., Hou, J., Hilal, M., Kim, H., Chen, Z., Cui, Y., Kim, J.-H., & Cai, Z. (2024). Development of High-Performance Ethanol Gas Sensors Based on La2O3 Nanoparticles-Embedded Porous SnO2 Nanofibers. Sensors, 24(21), 6839. https://doi.org/10.3390/s24216839

