Chatter Stability Prediction for Deep-Cavity Turning of a Bent-Blade Cutter
Abstract
1. Introduction
2. Dynamic Model of the Bent-Blade Cutter
Dynamic Governing Equations
3. Finite Element Analyses
4. Simulation and Experimental Validations
4.1. Setup of the Experiment
4.2. Chatter Tests and Results Analysis
- The first four order natural frequencies of the bent-blade cutter considering the combined deformation effect of bending and torsion are 1250.9 Hz, 1258.8 Hz, 3760.5 Hz and 4449.3 Hz. The first two modes have the modal agglomeration phenomenon, which is caused by the structure symmetry of the simplified dynamical model of the bent-blade cutter.
- The bending and torsional deformation of the tool mainly occur on the cutter bar, and the bending deformation at the cutter bar is larger than the torsional deformation.
- Because the cutter board is connected to the place where the cutter bar has the greatest torsion, the torsional vibration mode at the cutter board is larger than the bending vibration mode.

4.3. Influence of Cutting Parameters on Turning Stability
4.3.1. The Effect of Spindle Speed on Turning Stability
4.3.2. The Effect of Feed on Turning Stability
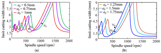
4.3.3. The Effect of Cutting Depth on Turning Stability
5. Conclusions
- There is a great modal coupling effect in the stable lobe diagram from the first two order modal parameters of the bent-blade cutter, but the mode of the cutter remains unchanged. Therefore, the cutter also has multi-modal characteristics: there are a modal coupling effect, and modal invariant characteristics.
- Considering the influence of bending deformation and torsional deformation on the turning process, it can be seen from the analysis results that the stability lobes move up and left, and the turning stability is significantly improved. Therefore, the combined effect of bending and torsion cannot be ignored.
- After determining the cutting system, an optimal spindle speed, cutting depth and a higher feed rate are selected in combination with the dynamic parameters to increase the stable area.
Author Contributions
Funding
Institutional Review Board Statement
Informed Consent Statement
Data Availability Statement
Conflicts of Interest
References
- Liu, S.; Afazov, S.; Becker, A.; Ratchev, S. Machining error prediction scheme aided smart fixture development in machining of a Ti6Al4V slender part. Proc. Inst. Mech. Eng. Part B J. Eng. Manuf. 2023, 237, 1509–1517. [Google Scholar] [CrossRef]
- Urbikain, G.; de Lacalle, L.L.; Campa, F.; Fernández, A.; Elías, A. Stability prediction in straight turning of a flexible workpiece by collocation method. Int. J. Mach. Tools Manuf. 2012, 54, 73–81. [Google Scholar] [CrossRef]
- Nam, S.; Eren, B.; Hayasaka, T.; Sencer, B.; Shamoto, E. Analytical prediction of chatter stability for modulated turning. Int. J. Mach. Tools Manuf. 2021, 165, 103739. [Google Scholar] [CrossRef]
- Khoshdarregi, M.; Altintas, Y. Dynamics of multipoint thread turning—Part II: Application to thin-walled oil pipes. J. Manuf. Sci. Eng. 2018, 140, 041016. [Google Scholar] [CrossRef]
- Basovich, S.; Arogeti, S. Identification and robust control for regenerative chatter in internal turning with simultaneous com-pensation of machining error. Mech. Syst. Signal Process. 2021, 149, 107208. [Google Scholar] [CrossRef]
- Akdeniz, E.; Arslan, H. A new design of boring bar using TiNi3 alloy to reduce vibration in turning operations. Proc. Inst. Mech. Eng. Part B J. Eng. Manuf. 2023, 237, 105–121. [Google Scholar] [CrossRef]
- Yuan, Y.; Jing, X.; Ehmann, K.F.; Cao, J.; Li, H.; Zhang, D. Modeling of cutting forces in micro end-milling. J. Manuf. Process. 2018, 31, 844–858. [Google Scholar] [CrossRef]
- Wan, M.; Gao, T.-Q.; Feng, J.; Zhang, W.-H. On improving chatter stability of thin-wall milling by prestressing. J. Mater. Process. Technol. 2019, 264, 32–44. [Google Scholar] [CrossRef]
- Mei, J.; Luo, M.; Guo, J.; Li, H.; Zhang, D. Analytical Modeling, Design and Performance Evaluation of Chatter-Free Milling Cutter with Alternating Pitch Variations. IEEE Access 2018, 6, 32367–32375. [Google Scholar] [CrossRef]
- Yang, Y.; Wang, Y.; Liu, Q. Design of a milling cutter with large length–diameter ratio based on embedded passive damper. J. Vib. Control. 2018, 25, 506–516. [Google Scholar] [CrossRef]
- Fallah, M.; Moetakef, B. Adaptive inverse control of chatter vibrations in internal turning operations. Mech. Syst. Signal Process. 2019, 129, 91–111. [Google Scholar] [CrossRef]
- Liu, Y.; Li, T.-X.; Liu, K.; Zhang, Y.-M. Chatter reliability prediction of turning process system with uncertainties. Mech. Syst. Signal Process. 2016, 66, 232–247. [Google Scholar] [CrossRef]
- Yue, C.; Gao, H.; Liu, X.; Liang, S.Y.; Wang, L. A review of chatter vibration research in milling. Chin. J. Aeronaut. 2019, 32, 215–242. [Google Scholar] [CrossRef]
- Kim, S.; Ahmadi, K. Estimation of vibration stability in turning using operational modal analysis. Mech. Syst. Signal Process. 2019, 130, 315–332. [Google Scholar] [CrossRef]
- Monkova, K.; Monka, P.; Cizikova, A.; Murgas, F.; Rehor, J.; Edl, M. Modal Analysis as the Base of Dynamic Analysis. Appl. Mech. Mater. 2015, 798, 148–152. [Google Scholar] [CrossRef]
- Takahashi, H.; Yuki, T.; Suzuki, K. Modeling of ball screw driven stage for drilling machines with lumped parameter system model and FEM model. Mech. Eng. J. 2016, 3, 16–00068. [Google Scholar] [CrossRef]
- Slavík, A. Dynamic equations on time scales and generalized ordinary differential equations. J. Math. Anal. Appl. 2012, 385, 534–550. [Google Scholar] [CrossRef]
- Kotaiah, K.R.; Srinivas, J. Dynamic analysis of a turning tool with a discrete model of the workpiece. Proc. Inst. Mech. Eng. Part B J. Eng. Manuf. 2010, 224, 207–215. [Google Scholar] [CrossRef]
- Li, W.; Wang, L.; Yu, G. Chatter prediction in flank milling of thin-walled parts considering force-induced deformation. Mech. Syst. Signal Process. 2021, 165, 108314. [Google Scholar] [CrossRef]
- Ma, Y.; Wan, M.; Yang, Y.; Zhang, W. Dynamics of tapping process. Int. J. Mach. Tools Manuf. 2019, 140, 3–47. [Google Scholar] [CrossRef]
- Shukla, S.; Jain, R.; Gangopadhyay, S. Measurement and analysis of radial force, radial torque and surface integrity in micro-drilling of an Al7075-T6 alloy. Proc. Inst. Mech. Eng. Part B J. Eng. Manuf. 2023, 45. [Google Scholar] [CrossRef]
- Abainia, S.; Ouelaa, N. Experimental study of the combined influence of the tool geometry parameters on the cutting forces and tool vibrations. Int. J. Adv. Manuf. Technol. 2015, 79, 1127–1138. [Google Scholar] [CrossRef]
- Andreas, O.; Günter, R. The influence of tangential and torsional vibrations on the stability lobes in metal cutting. Nonlinear Dyn. 2015, 82, 1989–2000. [Google Scholar]
- Zhang, X.; Yu, T.; Wang, W. Chatter stability of micro end milling by considering process nonlinearities and process damping. Int. J. Adv. Manuf. Technol. 2019, 87, 2785–2796. [Google Scholar]
- Mohammadi, Y.; Ahmadi, K. Frequency domain analysis of regenerative chatter in machine tools with Linear Time Periodic dynamics. Mech. Syst. Signal Process. 2019, 120, 378–391. [Google Scholar] [CrossRef]
- Jiang, S.; Yan, S.; Liu, Y.; Duan, C.; Xu, J.; Sun, Y. Analytical prediction of chatter stability in turning of low-stiffness pure iron parts by nosed tool. Int. J. Adv. Manuf. Technol. 2019, 102, 1227–1237. [Google Scholar] [CrossRef]
- Li, W.; Wang, L.; Yu, G.; Wang, D. Time-varying dynamics updating method for chatter prediction in thin-walled part milling process. Mech. Syst. Signal Process. 2021, 159, 107840. [Google Scholar] [CrossRef]
- Lu, K.; Lian, Z.; Gu, F.; Liu, H. Model-based chatter stability prediction and detection for the turning of a flexible workpiece. Mech. Syst. Signal Process 2018, 100, 814–826. [Google Scholar] [CrossRef]
- Shi, J.; Song, Q.; Liu, Z.; Ai, X. A novel stability prediction approach for thin-walled component milling considering material removing process. Chin. J. Aeronaut. 2017, 30, 1789–1798. [Google Scholar] [CrossRef]
- Wang, X.; Song, Q.; Liu, Z. Dynamic model and stability prediction of thin-walled component milling with multi-modes coupling effect. J. Mater. Process. Technol. 2020, 288, 116869. [Google Scholar] [CrossRef]
- Comak, A.; Altintas, Y. Dynamics and Stability of Turn-Milling Operations with Varying Time Delay in Discrete Time Domain. J. Manuf. Sci. Eng. 2018, 140, 101013. [Google Scholar] [CrossRef]
- Wang, X.; Song, Q. Dynamic analysis and surface morphology prediction for deep cavity turning of bent-blade cutter. Adv. Manuf. Technol. 2023, 129, 4435–4455. [Google Scholar] [CrossRef]
- Weng, J.; Zhuang, K.; Zhu, D.; Guo, S.; Ding, H. An analytical model for the prediction of force distribution of round insert considering edge effect and size effect. Int. J. Mech. Sci. 2018, 138, 86–98. [Google Scholar] [CrossRef]
- Wang, Y.-N.; Yan, J. A variational principle for contact Hamiltonian systems. J. Differ. Equ. 2019, 267, 4047–4088. [Google Scholar] [CrossRef]


















| L1 | L2 | L3 | B1 | B2 | B3 | H1 | H2 | D |
|---|---|---|---|---|---|---|---|---|
| 170 | 8 | 20 | 75 | 55 | 20 | 28 | 15 | 30 |
| Modal Number | Natural Frequency (Hz) | Damping Ratio (×10−2) | The Modal Mass (kg) | Modal Stiffness (×107 N/m) | Modal Damping (N·s/m) |
|---|---|---|---|---|---|
| 1 | 1250.9 | 1.51 | 26.30 | 4.12 | 496.73 |
| 2 | 1258.8 | 1.46 | 25.70 | 4.07 | 472.40 |
Disclaimer/Publisher’s Note: The statements, opinions and data contained in all publications are solely those of the individual author(s) and contributor(s) and not of MDPI and/or the editor(s). MDPI and/or the editor(s) disclaim responsibility for any injury to people or property resulting from any ideas, methods, instructions or products referred to in the content. |
© 2024 by the authors. Licensee MDPI, Basel, Switzerland. This article is an open access article distributed under the terms and conditions of the Creative Commons Attribution (CC BY) license (https://creativecommons.org/licenses/by/4.0/).
Share and Cite
Wang, X.; Song, Q.; Liu, Z. Chatter Stability Prediction for Deep-Cavity Turning of a Bent-Blade Cutter. Sensors 2024, 24, 606. https://doi.org/10.3390/s24020606
Wang X, Song Q, Liu Z. Chatter Stability Prediction for Deep-Cavity Turning of a Bent-Blade Cutter. Sensors. 2024; 24(2):606. https://doi.org/10.3390/s24020606
Chicago/Turabian StyleWang, Xiaojuan, Qinghua Song, and Zhanqiang Liu. 2024. "Chatter Stability Prediction for Deep-Cavity Turning of a Bent-Blade Cutter" Sensors 24, no. 2: 606. https://doi.org/10.3390/s24020606
APA StyleWang, X., Song, Q., & Liu, Z. (2024). Chatter Stability Prediction for Deep-Cavity Turning of a Bent-Blade Cutter. Sensors, 24(2), 606. https://doi.org/10.3390/s24020606

