Experimental Study on Measuring and Tracking Structural Displacement Based on Surveillance Video Image Analysis
Abstract
1. Introduction
2. Materials and Methods
2.1. Experiment of Surveillance Video Images Calibration
2.2. Algorithm Experiment of Surveillance Video Images Calibration
2.3. Experiment to Measure and Track Bridge Structural Displacement by Surveillance Video Image
2.3.1. Experimental Instrument Used for Measuring and Tracking Bridge Structural Displacement
2.3.2. Experimental Method of Measuring and Tracking Bridge Structural Displacement
2.3.3. Environmental Conditions of Measuring and Tracking Experiment
3. Experimental Results
3.1. Calibrate Analysis on the Performance of Surveillance Camera
3.2. The Influence of the Surveillance Device Posture on Calibration
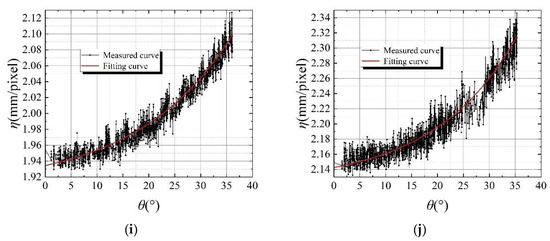
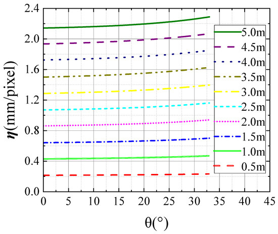
3.3. The Influences of Differing Distances and Horizontal Angles on the Conversion Coefficient η
4. Experimental Confirmations about the Feasibility of Measuring and Tracking Structural Displacement Based on Surveillance Video Images
4.1. Time Registration for Tracking and Monitoring
4.2. Video Images Tracking and Monitoring Structural Displacements
4.3. Experimental Analysis for Measuring and Tracking Structural Displacement Based on Surveillance Video Images
5. An Outlook on New Full- and Real-Time Non-Contact Monitoring
6. Conclusions
- (1)
- The imaging accuracy can be affected by changes in the relative position of the imaging device and measured structure, which is embodied in the change in η (the actual size of an individual pixel) on the structured image.
- (2)
- The increase in distance between the measured structure and the monitoring equipment will have a significant effect on the change in η, and the value of η varies linearly with the change in shooting distance.
- (3)
- The value of η will be affected by changes in imaging angle. With the increase in the shooting angle, the value of η keeps increasing, and the change degree presents an exponential function relationship.
- (4)
- A new non-contact measurement method using surveillance video images was proposed, and the feasibility of measuring and tracking structural displacement based on surveillance video images was experimentally confirmed.
- (5)
- The changes in coordinates of the circular target center obtained by the ellipse fitting method are used to characterize the displacement of the corresponding feature points of the structure, and millimeter-level online monitoring of the structure displacement can be realized based on surveillance video images. The absolute error of this method compared with the high-precision displacement meter is less than 0.15 mm, and the relative error is less than 10%.
Author Contributions
Funding
Institutional Review Board Statement
Informed Consent Statement
Data Availability Statement
Acknowledgments
Conflicts of Interest
References
- Hosseinzadeh, A.Z.; Harvey, P.S., Jr. Pixel-based operating modes from surveillance videos for structural vibration monitoring: A preliminary experimental study. Measurement 2019, 148, 106911. [Google Scholar] [CrossRef]
- Chen, K.; Yu, Y.; Song, P.; Tang, X.; Cao, L.; Tong, X. Find you if you drive: Inferring home locations for vehicles with surveillance camera data. Knowl.-Based Syst. 2020, 196, 105766. [Google Scholar] [CrossRef]
- Tian, L.; Zhao, J.; Pan, B.; Wang, Z. Full-Field Bridge Deflection Monitoring with Off-Axis Digital Image Correlation. Sensors 2021, 21, 5058. [Google Scholar] [CrossRef]
- Adimoolam, M.; Mohan, S.; John, A.; Srivastava, G. A Novel Technique to Detect and Track Multiple Objects in Dynamic Video Surveillance Systems. Int. J. Interact. Multimed. Artif. Intell. 2022, 7, 112–120. [Google Scholar] [CrossRef]
- Malek, K.; Moreu, F. Realtime conversion of cracks from pixel to engineering scale using Augmented Reality. Autom. Constr. 2022, 143, 104542. [Google Scholar] [CrossRef]
- Ma, Z.; Choi, J.; Liu, P.; Sohn, H. Structural displacement estimation by fusing vision camera and accelerometer using hybrid computer vision algorithm and adaptive multi-rate Kalman filter. Autom. Constr. 2022, 140, 338. [Google Scholar] [CrossRef]
- Qin, X.; Ding, X.; Liao, M.; Zhang, L.; Wang, C. A bridge-tailored multi-temporal DInSAR approach for remote exploration of deformation characteristics and mechanisms of complexly structured bridges. ISPRS J. Photogramm. Remote Sens. 2019, 156, 27–50. [Google Scholar] [CrossRef]
- Wang, X.; Zhao, Q.; Xi, R.; Li, C.; Li, G.; Li, L. Review of Bridge Structural Health Monitoring Based on GNSS: From Displacement Monitoring to Dynamic Characteristic Identification. IEEE Access 2021, 9, 80043–80065. [Google Scholar] [CrossRef]
- Sun, Z.; Zou, Z.; Zhang, Y. Utilization of structural health monitoring in long-span bridges: Case studies. Struct. Control. Health Monit. 2017, 24, e1979. [Google Scholar] [CrossRef]
- Sanchez-Cuevas, P.J.; Ramon-Soria, P.; Arrue, B.; Ollero, A.; Heredia, G. Robotic System for Inspection by Contact of Bridge Beams Using UAVs. Sensors 2019, 19, 305. [Google Scholar] [CrossRef]
- Fu, M.; Liang, Y.; Feng, Q.; Wu, B.; Tang, G. Research on the Application of Multi-Source Data Analysis for Bridge Safety Monitoring in the Reconstruction and Demolition Process. Buildings 2022, 12, 1195. [Google Scholar] [CrossRef]
- Valença, J.; Dias-Da-Costa, D.; Júlio, E.; Araújo, H.; Costa, H. Automatic crack monitoring using photogrammetry and image processing. Measurement 2013, 46, 433–441. [Google Scholar] [CrossRef]
- Yao, Y.; Tung, S.-T.E.; Glisic, B. Crack detection and characterization techniques-An overview. Struct. Control. Health Monit. 2014, 21, 1387–1413. [Google Scholar] [CrossRef]
- Niu, Y.; Wang, Y.; Tang, Y. Analysis of temperature-induced deformation and stress distribution of long-span concrete truss combination arch bridge based on bridge health monitoring data and finite element simulation. Int. J. Distrib. Sens. Netw. 2020, 16, 155014772094520. [Google Scholar] [CrossRef]
- Fradelos, Y.; Thalla, O.; Biliani, I.; Stiros, S. Study of Lateral Displacements and the Natural Frequency of a Pedestrian Bridge Using Low-Cost Cameras. Sensors 2020, 20, 3217. [Google Scholar] [CrossRef]
- Tong, X.; Guo, J.; Ling, Y.; Yin, Z. A new image-based method for concrete bridge bottom crack detection. In Proceedings of the 2011 International Conference on Image Analysis and Signal Processing, Wuhan, China, 21–23 October 2011. [Google Scholar] [CrossRef]
- Mohan, A.; Poobal, S. Crack detection using image processing: A critical review and analysis. Alex. Eng. J. 2018, 57, 787–798. [Google Scholar] [CrossRef]
- Wang, P.; Huang, H. Comparison analysis on present image-based crack detection methods in concrete structures. In Proceedings of the 3rd International Conference on Biomedical Engineering and Informatics: BMEI, Yantai, China, 16–18 October 2010. [Google Scholar] [CrossRef]
- Mugnai, F.; Caporossi, P.; Mazzanti, P. Exploiting Image Assisted Total Station in Digital Image Correlation (DIC) displacement measurements: Insights from laboratory experiments. Eur. J. Remote Sens. 2022, 55, 115–128. [Google Scholar] [CrossRef]
- Kromanis, R.; Kripakaran, P. A multiple camera position approach for accurate displacement measurement using computer vision. J. Civ. Struct. Health Monit. 2021, 11, 661–678. [Google Scholar] [CrossRef]
- Henke, K.; Pawlowski, R.; Schregle, P.; Winter, S. Use of digital image processing in the monitoring of deformations in building structures. J. Civ. Struct. Health Monit. 2014, 5, 141–152. [Google Scholar] [CrossRef]
- Sabato, A.; Beale, C.H.; Niezrecki, C. A novel optical investigation technique for railroad track inspection and assessment. In Proceedings of the SPIE Smart Structures and Materials + Nondestructive Evaluation and Health Monitoring, Portland, OR, USA, 25–29 March 2017. [Google Scholar] [CrossRef]
- Sabato, A.; Niezrecki, C. Feasibility of digital image correlation for railroad tie inspection and ballast support assessment. Measurement 2017, 103, 93–105. [Google Scholar] [CrossRef]
- Fujita, Y.; Mitani, Y.; Hamamoto, Y. A Method for Crack Detection on a Concrete Structure. In Proceedings of the International Conference on Pattern Recognition, Hong Kong, China, 20–24 August 2006. [Google Scholar] [CrossRef]
- Pereira, F.C.; Pereira, C.E. Embedded Image Processing Systems for Automatic Recognition of Cracks using UAVs. IFAC-Papers-OnLine 2015, 48, 16–21. [Google Scholar] [CrossRef]
- Meng, S.; Gao, Z.; Zhou, Y.; He, B.; Djerrad, A. Real-time automatic crack detection method based on drone. Comput. Civ. Infrastruct. Eng. 2022, 38, 849–872. [Google Scholar] [CrossRef]
- Ri, S.; Yoshida, T.; Tsuda, H.; Sato, E. Optical three-dimensional displacement measurement based on moiré methodology and its application to space structures. Opt. Laser Eng. 2022, 148, 106752. [Google Scholar] [CrossRef]
- Ye, X.; Dong, C. Review of Computer Vision-based Structural Displacement Monitoring. China J. Highw. Transp. 2019, 32, 21–39. (In Chinese) [Google Scholar]
- Civera, M.; Fragonara, L.Z.; Surace, C. An experimental study of the feasibility of phase-based video magnification for damage detection and localisation in operational deflection shapes. Strain 2021, 57, e12336. [Google Scholar] [CrossRef]
- Civera, M.; Fragonara, L.Z.; Antonaci, P.; Anglani, G.; Surace, C. An Experimental Validation of Phase-Based Motion Magnification for Structures with Developing Cracks and Time-Varying Configurations. Shock Vib. 2021, 2021, 5518163. [Google Scholar] [CrossRef]
- Ni, T.; Zhou, R.; Yang, Y.; Yang, X.; Zhang, W.; Lin, C. Research on Detection of Concrete Surface Cracks by Image Processing Based on Smartphone APP. Acta Metrol. Sin. 2021, 42, 163–170. (In Chinese) [Google Scholar] [CrossRef]
- Ni, T.; Zhou, R.; Gu, C.; Yang, Y. Measurement of concrete crack feature with android smartphone APP based on digital image processing techniques. Measurement 2020, 150, 107093. [Google Scholar] [CrossRef]
- Zhou, Y.; Zhang, L.; Liu, T.; Gong, S. Structural system identification based on computer vision. China Civ. Eng. J. 2018, 51, 17–23. (In Chinese) [Google Scholar] [CrossRef]
- Dias-Da-Costa, D.; Valença, J.; Júlio, E.; Araújo, H. Crack propagation monitoring using an image deformation approach. Struct. Control. Health Monit. 2017, 24, e1973. [Google Scholar] [CrossRef]
- Yamaguchi, T.; Nakamura, S.; Saegusa, R.; Hashimoto, S. Image-Based Crack Detection for Real Concrete Surfaces. IEEJ Trans. Electr. Electron. Eng. 2008, 3, 128–135. [Google Scholar] [CrossRef]
- Yamaguchi, T.; Hashimoto, S. Fast crack detection method for large-size concrete surface images using percolation-based image processing. Mach. Vis. Appl. 2010, 21, 797–809. [Google Scholar] [CrossRef]
- Sadowski, Ł.; Hoła, J.; Czarnecki, L.; Mathia, T.G. New paradigm in the metrology of concrete surface morphology: Methods, parameters and applications. Measurement 2020, 169, 108497. [Google Scholar] [CrossRef]
- Hosseinzadeh, A.Z.; Tehrani, M.H.; Harvey, P.S., Jr. Modal identification of building structures using vision-based measurements from multiple interior surveillance cameras. Eng. Struct. 2021, 228, 111517. [Google Scholar] [CrossRef]
- Aitfares, W.; Kobbane, A.; Kriouile, A. Suspicious Behavior Detection of People by Monitoring Camera. In Proceedings of the 5th International Conference on Multimedia Computing and Systems (ICMCS), Marrakech, Morocco, 29 September–1 October 2016. [Google Scholar] [CrossRef]
- Gao, C.; Wang, L.; Ni, T.; Yang, Y.; Liu, J.-T.; Gu, C.-P. Research on structural displacement tracking monitoring based on surveillance camera videos. Acta Metrol. Sin. 2023, 44, 514–520. (In Chinese) [Google Scholar] [CrossRef]
- Zhang, Z. A flexible new technique for camera calibration. IEEE Trans. Pattern Anal. Mach. Intell. 2000, 22, 1330–1334. [Google Scholar] [CrossRef]
- Sathya, A.; Sasikala, D. An efficient Architecture for Barrel Distortion Correction in Surveillance video images. In Proceedings of the IOP Conference Series Materials Science and Engineering, Coimbatore, India, 12–13 April 2019. [Google Scholar] [CrossRef]
- Chang, Q.; Hung, K.W.; Jiang, J. Deep learning-based image Super-resolution for nonlinear lens distortions. Neurocomputing 2018, 275, 969–982. [Google Scholar] [CrossRef]
- Park, J.; Byun, S.; Lee, B. Lens distortion correction using ideal image coordinates. IEEE Trans. Consum. Electron. 2009, 55, 987–991. [Google Scholar] [CrossRef]
- Goh, T.Y.; Basah, S.N.; Yazid, H.; Safar, M.J.A.; Saad, F.S.A. Performance analysis of image thresholding: Otsu technique. Measurement 2018, 114, 298–307. [Google Scholar] [CrossRef]
- Ramnarayan, R.; Saklani, N.; Verma, V. A Review on Edge detection Technique “Canny Edge Detection”. Int. J. Comput. Appl. 2019, 178, 28–30. [Google Scholar] [CrossRef]
- Xu, Y.; Brownjohn, J.M.W. Review of machine-vision based methodologies for displacement measurement in civil structures. J. Civ. Struct. 2018, 8, 91–110. [Google Scholar] [CrossRef]
- Wang, S.; Li, Y.; Zhang, T. Method suitable for image registration of camera array used in space target observation. Electron. Meas. Technol. 2015, 38, 53–58. (In Chinese) [Google Scholar] [CrossRef]
- Baek, S.H.; Lee, K.I.; Kim, S.M. Development of Real-Time Monitoring System Based on IoT Technology for Curing Compound Application Process during Cement Concrete Pavement Construction. Sensors 2023, 23, 8187. [Google Scholar] [CrossRef] [PubMed]


















| Sensor Type | Resolution Ratio /Pixel | Focal Length /mm | The Frame Rate /Hz | Illumination /Lux |
|---|---|---|---|---|
| 1/1.8″ Progressive Scan CMOS | 3840 × 2160 | 2.8 | 25 | 0.009 |
| Distance | 0.5 m | 1.0 m | 1.5 m | 2.0 m | 2.5 m |
| intercept y0 | 0.203 | 0.413 | 0.631 | 0.846 | 1.055 |
| t1 | −19.399 | −20.339 | −17.749 | −18.431 | −17.528 |
| R2 | 0.997 | 0.998 | 0.998 | 0.998 | 0.998 |
| Distance | 3.0 m | 3.5 m | 4.0 m | 4.5 m | 5.0 m |
| intercept y0 | 1.262 | 1.474 | 1.703 | 1.907 | 2.121 |
| t1 | −19.221 | −18.913 | −17.216 | −18.483 | −16.017 |
| R2 | 0.999 | 0.999 | 0.998 | 0.998 | 0.997 |
Disclaimer/Publisher’s Note: The statements, opinions and data contained in all publications are solely those of the individual author(s) and contributor(s) and not of MDPI and/or the editor(s). MDPI and/or the editor(s) disclaim responsibility for any injury to people or property resulting from any ideas, methods, instructions or products referred to in the content. |
© 2024 by the authors. Licensee MDPI, Basel, Switzerland. This article is an open access article distributed under the terms and conditions of the Creative Commons Attribution (CC BY) license (https://creativecommons.org/licenses/by/4.0/).
Share and Cite
Ni, T.; Wang, L.; Yin, X.; Cai, Z.; Yang, Y.; Kong, D.; Liu, J. Experimental Study on Measuring and Tracking Structural Displacement Based on Surveillance Video Image Analysis. Sensors 2024, 24, 601. https://doi.org/10.3390/s24020601
Ni T, Wang L, Yin X, Cai Z, Yang Y, Kong D, Liu J. Experimental Study on Measuring and Tracking Structural Displacement Based on Surveillance Video Image Analysis. Sensors. 2024; 24(2):601. https://doi.org/10.3390/s24020601
Chicago/Turabian StyleNi, Tongyuan, Liuqi Wang, Xufeng Yin, Ziyang Cai, Yang Yang, Deyu Kong, and Jintao Liu. 2024. "Experimental Study on Measuring and Tracking Structural Displacement Based on Surveillance Video Image Analysis" Sensors 24, no. 2: 601. https://doi.org/10.3390/s24020601
APA StyleNi, T., Wang, L., Yin, X., Cai, Z., Yang, Y., Kong, D., & Liu, J. (2024). Experimental Study on Measuring and Tracking Structural Displacement Based on Surveillance Video Image Analysis. Sensors, 24(2), 601. https://doi.org/10.3390/s24020601

