Convolutional Neural Networks for Real Time Classification of Beehive Acoustic Patterns on Constrained Devices
Abstract
1. Introduction
2. CNN in Precision Apiculture
3. Materials and Methods
3.1. Dataset Description
3.2. Single-Board Computers
3.3. Spectrograms of Acoustic Samples
3.4. CNN Models
3.5. Transfer Learning and Data Argumentation
3.6. Hyperparameter Optimization
3.7. Performance Evaluation and Validation
3.8. Software
4. Results and Discussion
4.1. Hyperparameter Search
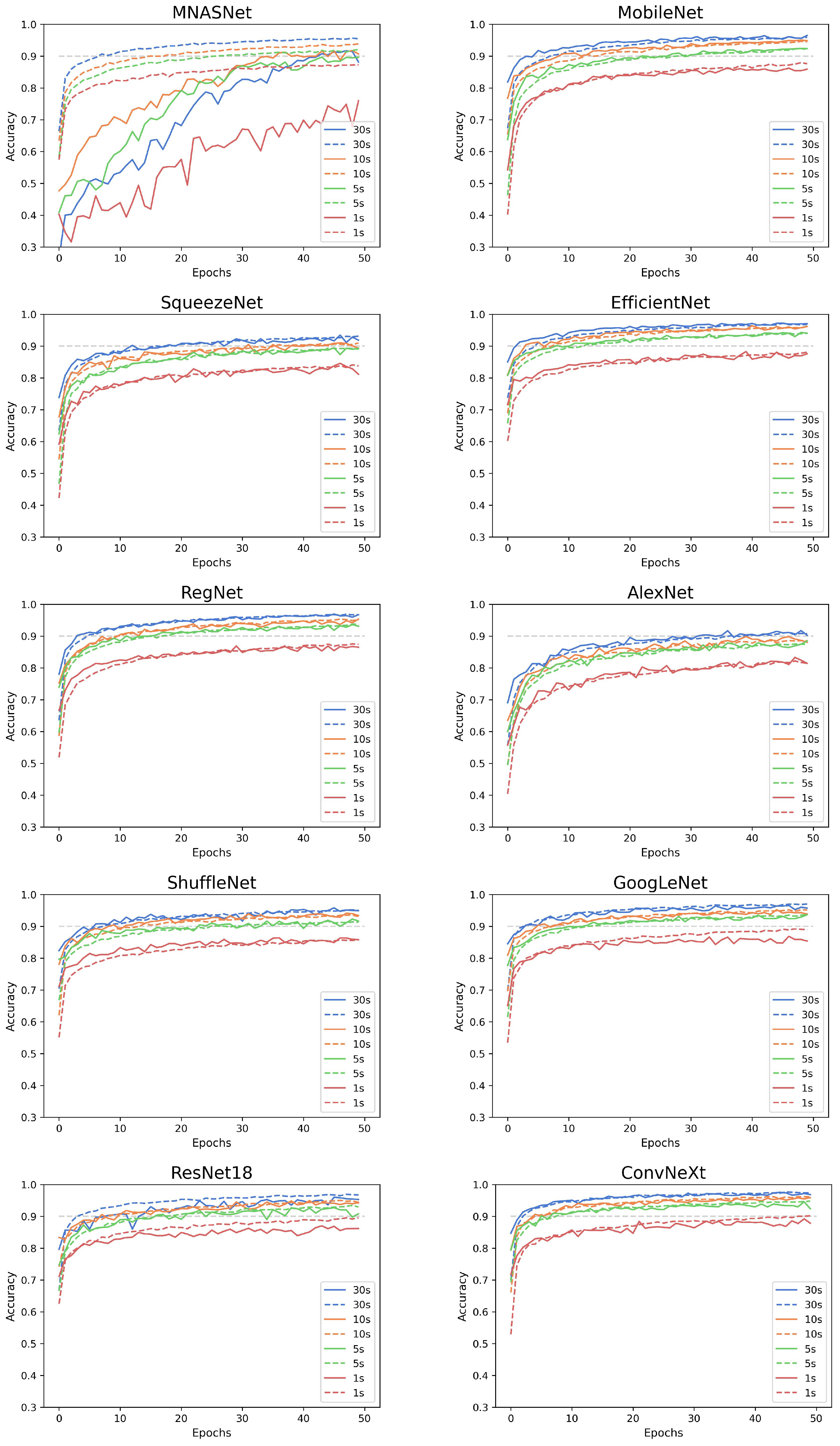
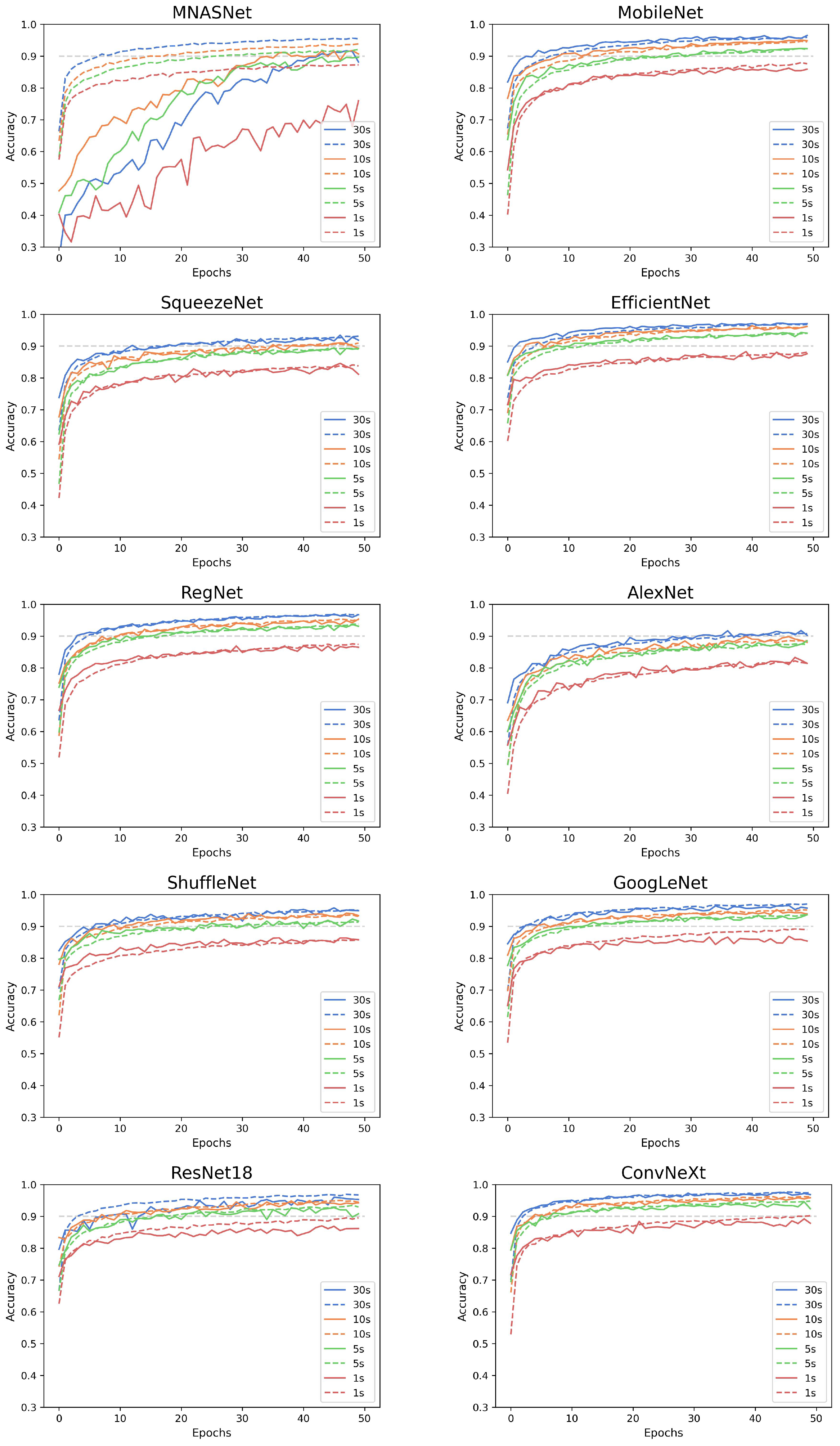
4.2. K-Fold Cross Validation
4.3. Performance in the SBC
4.3.1. Inference Time
4.3.2. Power Consumption
5. Conclusions and Future Work
Author Contributions
Funding
Institutional Review Board Statement
Informed Consent Statement
Data Availability Statement
Acknowledgments
Conflicts of Interest
Abbreviations
| CNN | convolutional neural networks |
| SBC | single-board computer |
| NJN | Nvidia Jetson Nano |
| RPi5 | Raspberry Pi 5 |
| Opi5 | Orange Pi 5 |
| PC | personal computer |
| FLOPS | floating point operations per second |
| MFCC | Mel frequency cepstral coefficients |
| SVM | support vector machine |
| KNN | k-nearest neighbors |
| RF | random forest |
| OSBH | open-source beehives |
| GPU | graphic processing unit |
| STFT | short-time Fourier transform |
| SGD | stochastic gradient descent |
| CUDA | compute unified device architecture |
References
- Howard, D.; Duran, O.; Hunter, G.; Stebel, K. Signal Processing the acoustics of honeybees (APIS MELLIFERA) to identify the “queenless” state in Hives. Proc. Inst. Acoust. 2013, 35, 290–297. [Google Scholar]
- Cejrowski, T.; Szymański, J.; Mora, H.; Gil, D. Detection of the Bee Queen Presence Using Sound Analysis. In Proceedings of the Intelligent Information and Database Systems, Dong Hoi City, Vietnam, 19–21 March 2018; Springer International Publishing: Berlin/Heidelberg, Germany, 2018; pp. 297–306. [Google Scholar] [CrossRef]
- Robles-Guerrero, A.; Saucedo-Anaya, T.; González-Ramírez, E.; la Rosa-Vargas, J.I.D. Analysis of a multiclass classification problem by Lasso Logistic Regression and Singular Value Decomposition to identify sound patterns in queenless bee colonies. Comput. Electron. Agric. 2019, 159, 69–74. [Google Scholar] [CrossRef]
- Peng, R.; Ardekani, I.; Sharifzadeh, H. An Acoustic Signal Processing System for Identification of Queen-less Beehives. In Proceedings of the 2020 Asia-Pacific Signal and Information Processing Association Annual Summit and Conference (APSIPA ASC), Auckland, New Zealand, 7–10 December 2020; pp. 57–63. [Google Scholar]
- Barbisan, L.; Turvani, G.; Riente, F. A Machine Learning Approach for Queen Bee Detection Through Remote Audio Sensing to Safeguard Honeybee Colonies. IEEE Trans. Agrifood Electron. 2024, 1–8. [Google Scholar] [CrossRef]
- Dimitrios, K.I.; Bellos, C.V.; Stefanou, K.A.; Stergios, G.S.; Andrikos, I.; Katsantas, T.; Kontogiannis, S. Performance Evaluation of Classification Algorithms to Detect Bee Swarming Events Using Sound. Signals 2022, 3, 807–822. [Google Scholar] [CrossRef]
- Ferrari, S.; Silva, M.; Guarino, M.; Berckmans, D. Monitoring of swarming sounds in bee hives for early detection of the swarming period. Comput. Electron. Agric. 2008, 64, 72–77. [Google Scholar] [CrossRef]
- Bencsik, M.; Bencsik, J.; Baxter, M.; Lucian, A.; Romieu, J.; Millet, M. Identification of the honey bee swarming process by analysing the time course of hive vibrations. Comput. Electron. Agric. 2011, 76, 44–50. [Google Scholar] [CrossRef]
- Eskov, E.K.; Toboev, V.A. Changes in the structure of sounds generated by bee colonies during sociotomy. Entomol. Rev. 2011, 91, 347–353. [Google Scholar] [CrossRef]
- Zgank, A. Acoustic monitoring and classification of bee swarm activity using MFCC feature extraction and HMM acoustic modeling. In Proceedings of the 2018 ELEKTRO, Mikulov, Czech Republic, 21–23 May 2018; pp. 1–4. [Google Scholar] [CrossRef]
- Krzywoszyja, G.; Rybski, R.; Andrzejewski, G. Bee Swarm Detection Based on Comparison of Estimated Distributions Samples of Sound. IEEE Trans. Instrum. Meas. 2018, 68, 3776–3784. [Google Scholar] [CrossRef]
- Anand, N.; Raj, V.B.; Ullas, M.S.; Srivastava, A. Swarm Detection and Beehive Monitoring System using Auditory and Microclimatic Analysis. In Proceedings of the 2018 3rd International Conference on Circuits, Control, Communication and Computing (I4C), Bangalore, India, 3–5 October 2018; pp. 1–4. [Google Scholar] [CrossRef]
- Zlatkova, A.; Kokolanski, Z.; Tashkovski, D. Honeybees swarming detection approach by sound signal processing. In Proceedings of the 2020 XXIX International Scientific Conference Electronics (ET), Sozopol, Bulgaria, 16–18 September 2020; pp. 1–3. [Google Scholar] [CrossRef]
- Zgank, A. IoT-Based Bee Swarm Activity Acoustic Classification Using Deep Neural Networks. Sensors 2021, 21, 676. [Google Scholar] [CrossRef]
- Zgank, A. Bee Swarm Activity Acoustic Classification for an IoT-Based Farm Service. Sensors 2020, 20, 21. [Google Scholar] [CrossRef]
- Sharif, M.Z.; Wario, F.; Di, N.; Xue, R.; Liu, F. Soundscape Indices: New Features for Classifying Beehive Audio Samples. Sociobiology 2020, 67, 566–571. [Google Scholar] [CrossRef]
- Zhao, Y.; Deng, G.; Zhang, L.; Di, N.; Jiang, X.; Li, Z. Based investigate of beehive sound to detect air pollutants by machine learning. Ecol. Inform. 2021, 61, 101246. [Google Scholar] [CrossRef]
- Pérez, N.; Jesús, F.; Pérez, C.; Niell, S.; Draper, A.; Obrusnik, N.; Zinemanas, P.; Spina, Y.M.; Letelier, L.C.; Monzón, P. Continuous monitoring of beehives’ sound for environmental pollution control. Ecol. Eng. 2016, 90, 326–330. [Google Scholar] [CrossRef]
- Cecchi, S.; Spinsante, S.; Terenzi, A.; Orcioni, S. A Smart Sensor-Based Measurement System for Advanced Bee Hive Monitoring. Sensors 2020, 20, 2726. [Google Scholar] [CrossRef]
- Kulyukin, V. Audio, Image, Video, and Weather Datasets for Continuous Electronic Beehive Monitoring. Appl. Sci. 2021, 11, 4632. [Google Scholar] [CrossRef]
- Mrozek, D.; Gorny, R.; Wachowicz, A.; Malysiak-Mrozek, B. Edge-Based Detection of Varroosis in Beehives with IoT Devices with Embedded and TPU-Accelerated Machine Learning. Appl. Sci. 2021, 11, 11078. [Google Scholar] [CrossRef]
- Edwards-Murphy, F.; Srbinovski, B.; Magno, M.; Popovici, E.M.; Whelan, P.M. An automatic, wireless audio recording node for analysis of beehives. In Proceedings of the 2015 26th Irish Signals and Systems Conference, ISSC, Carlow, Ireland, 24–25 June 2015; pp. 1–6. [Google Scholar] [CrossRef]
- Henry, E.; Adamchuka, V.; Stanhopea, T.; Buddleb, C.; Rindlaubc, N. Precision apiculture: Development of a wireless sensor network for honeybee hives. Comput. Electron. Agric. 2019, 156, 138–144. [Google Scholar] [CrossRef]
- Qandour, A.; Ahmad, I.; Habibi, D.; Leppard, M. Remote Beehive Monitoring Using Acoustic Signals. Acoust. Aust. 2014, 42, 204–209. [Google Scholar]
- Howard, D.; Duran, O.; Hunter, G. A Low-Cost Multi-Modal Sensor Network for the Monitoring of Honeybee Colonies/Hives. In Proceedings of the Intelligent Environments 2018, Rome, Italy, 25–28 June 2018; pp. 69–78. [Google Scholar]
- Abdollahi, M.; Giovenazzo, P.; Falk, T.H. Automated Beehive Acoustics Monitoring: A Comprehensive Review of the Literature and Recommendations for Future Work. Appl. Sci. 2022, 12, 3920. [Google Scholar] [CrossRef]
- Santos, C.F.G.D.; Papa, J.a.P. Avoiding Overfitting: A Survey on Regularization Methods for Convolutional Neural Networks. ACM Comput. Surv. 2022, 54, 1–27. [Google Scholar] [CrossRef]
- Kulyukin, V.; Mukherjee, S.; Amlathe, P. Toward Audio Beehive Monitoring: Deep Learning vs. Standard Machine Learning in Classifying Beehive Audio Samples. Appl. Sci. 2018, 8, 1573. [Google Scholar] [CrossRef]
- Kim, J.; Oh, J.; Heo, T.Y. Acoustic Scene Classification and Visualization of Beehive Sounds Using Machine Learning Algorithms and Grad-CAM. Math. Probl. Eng. 2021, 2021, 5594498. [Google Scholar] [CrossRef]
- Nolasco, I.; Benetos, E. To bee or not to bee: Investigating machine learning approaches for beehive sound recognition. In Proceedings of the Detection and Classification of Acoustic Scenes and Events 2018 Workshop (DCASE2018), Surrey, UK, 19–20 November 2018. [Google Scholar]
- Hunter, G.; Ruvinga, S.; Duran, O.; Nebel, J.C. Prediction of Honeybee Swarms Using Audio Signals and Convolutional Neural Networks. In Workshops at 18th International Conference on Intelligent Environments (IE2022); IOS Press: Amsterdam, The Netherlands, 2022. [Google Scholar] [CrossRef]
- Truong, T.H.; Nguyen, H.D.; Mai, T.Q.A.; Nguyen, H.L.; Dang, T.N.M.; Phan, T.T.H. A deep learning-based approach for bee sound identification. Ecol. Inform. 2023, 78, 102274. [Google Scholar] [CrossRef]
- Terenzi, A.; Cecchi, S.; Spinsante, S. On the Importance of the Sound Emitted by Honey Bee Hives. Vet. Sci. 2020, 7, 168. [Google Scholar] [CrossRef]
- Alves, T.S.; Pinto, M.A.; Ventura, P.; Neves, C.J.; Biron, D.G.; Junior, A.C.; De Paula Filho, P.L.; Rodrigues, P.J. Automatic detection and classification of honey bee comb cells using deep learning. Comput. Electron. Agric. 2020, 170, 105244. [Google Scholar] [CrossRef]
- Zhang, T.; Zmyslony, S.; Nozdrenkov, S.; Smith, M.; Hopkins, B. Semi-Supervised Audio Representation Learning for Modeling Beehive Strengths. arXiv 2021, arXiv:2105.10536. [Google Scholar]
- Doinea, M.; Trandafir, I.; Toma, C.V.; Popa, M.; Zamfiroiu, A. IoT Embedded Smart Monitoring System with Edge Machine Learning for Beehive Management. Int. J. Comput. Commun. Control 2024, 19, 1–21. [Google Scholar] [CrossRef]
- Orlowska, A.; Fourer, D.; Gavini, J.P.; Cassou-Ribehart, D. Honey Bee Queen Presence Detection from Audio Field Recordings Using Summarized Spectrogram and Convolutional Neural Networks. In Intelligent Systems Design and Applications; Abraham, A., Gandhi, N., Hanne, T., Hong, T.P., Nogueira Rios, T., Ding, W., Eds.; Springer: Cham, Switzerland, 2022; pp. 83–92. [Google Scholar]
- Dietlein, D.G. A method for remote monitoring of activity of honeybee colonies by sound analysis. J. Apic. Res. 1985, 24, 176–183. [Google Scholar] [CrossRef]
- Kirchner, W.H. Acoustical communication in honeybees. Apidologie 1993, 24, 297–307. [Google Scholar] [CrossRef]
- Hrncir Michael, B.F.G.; Jurgen, T. Vibratory and Airborne-Sound Signals in Bee Communication (Hymenoptera). In Insect Sounds and Communication: Physiology, Behaviour, Ecology and Evolution, 1st ed.; Sakis, D., Claridge, M.F., Eds.; Taylor & Francis: Boca Raton, FL, USA, 2006; Chapter 32; p. 552. [Google Scholar]
- Schlegel, T.; Visscher, P.; Seeley, T. Beeping and piping: Characterization of two mechano-acoustic signals used by honey bees in swarming. Die Naturwissenschaften 2012, 99, 1067–1071. [Google Scholar] [CrossRef]
- Zlatkova, A.; Gerazov, B.; Tashkovski, D.; Kokolanski, Z. Analysis of parameters in algorithms for signal processing for swarming of honeybees. In Proceedings of the 2020 28th Telecommunications Forum (TELFOR), Belgrade, Serbia, 24–25 November 2020; pp. 1–4. [Google Scholar] [CrossRef]
- Cecchi, S.; Terenzi, A.; Orcioni, S.; Spinsante, S.; Primiani, V.M.; Moglie, F.; Ruschioni, S.; Mattei, C.; Riolo, P.; Isidoro, N. Multi-Sensor Platform for Real Time Measurements of Honey Bee Hive Parameters; Institute of Physics Publishing: Bristol, UK, 2019; Volume 275. [Google Scholar] [CrossRef]
- Kampelopoulos, D.; Sofianidis, I.; Tananaki, C.; Tsiapali, K.; Nikolaidis, S.; Siozios, K. Analyzing the Beehive’s Sound to Monitor the Presence of the Queen Bee. In Proceedings of the 2022 Panhellenic Conference on Electronics & Telecommunications (PACET), Tripolis, Greece, 2–3 December 2022; pp. 1–4. [Google Scholar] [CrossRef]
- Terenzi, A.; Cecchi, S.; Orcioni, S.; Piazza, F. Features Extraction Applied to the Analysis of the Sounds Emitted by Honey Bees in a Beehive. In Proceedings of the 2019 11th International Symposium on Image and Signal Processing and Analysis (ISPA), Dubrovnik, Croatia, 23–25 September 2019; IEEE: Piscataway, NJ, USA, 2019; pp. 3–8. [Google Scholar] [CrossRef]
- Quaderi, S.J.S.; Labonno, S.A.; Mostafa, S.; Akhter, S. Identify The Beehive Sound Using Deep Learning. arXiv 2022, arXiv:2209.01374. [Google Scholar]
- Alzubaidi, L.; Zhang, J.; Humaidi, A.J.; Al-Dujaili, A.; Duan, Y.; Al-Shamma, O.; Santamaría, J.; Fadhel, M.A.; Al-Amidie, M.; Farhan, L. Review of deep learning: Concepts, CNN architectures, challenges, applications, future directions. J. Big Data 2021, 8, 53. [Google Scholar] [CrossRef] [PubMed]
- Pouyanfar, S.; Sadiq, S.; Yan, Y.; Tian, H.; Tao, Y.; Reyes, M.P.; Shyu, M.L.; Chen, S.C.; Iyengar, S.S. A Survey on Deep Learning: Algorithms, Techniques, and Applications. ACM Comput. Surv. 2018, 51, 1–36. [Google Scholar] [CrossRef]
- Weiss, K.; Khoshgoftaar, T.M.; Wang, D. A survey of transfer learning. J. Big Data 2016, 3, 9. [Google Scholar] [CrossRef]
- Shorten, C.; Khoshgoftaar, T.M. A survey on Image Data Augmentation for Deep Learning. J. Big Data 2019, 6, 60. [Google Scholar] [CrossRef]
- Feurer, M.; Hutter, F. Hyperparameter Optimization. In Automated Machine Learning: Methods, Systems, Challenges; Hutter, F., Kotthoff, L., Vanschoren, J., Eds.; Springer: Cham, Switzerland, 2019; pp. 3–33. [Google Scholar] [CrossRef]
- Akiba, T.; Sano, S.; Yanase, T.; Ohta, T.; Koyama, M. Optuna: A Next-generation Hyperparameter Optimization Framework. In Proceedings of the 25th ACM SIGKDD International Conference on Knowledge Discovery & Data Mining, New York, NY, USA, 4–9 August 2019; pp. 2623–2631. [Google Scholar] [CrossRef]
- Frazier, P.I. A Tutorial on Bayesian Optimization. arXiv 2018, arXiv:1807.02811. [Google Scholar]
- Injadat, M.; Salo, F.; Nassif, A.B.; Essex, A.; Shami, A. Bayesian Optimization with Machine Learning Algorithms Towards Anomaly Detection. In Proceedings of the 2018 IEEE Global Communications Conference (GLOBECOM), Abu Dhabi, United Arab Emirates, 9–13 December 2018; pp. 1–6. [Google Scholar] [CrossRef]
- GitHub—Qengineering/Jetson-Nano-Ubuntu-20-Image: Jetson Nano with Ubuntu 20.04 Image — Github.Com. Available online: https://github.com/Qengineering/Jetson-Nano-Ubuntu-20-image (accessed on 23 July 2024).
- Yang, L.; Shami, A. On hyperparameter optimization of machine learning algorithms: Theory and practice. Neurocomputing 2020, 415, 295–316. [Google Scholar] [CrossRef]
- Kleinberg, R.; Li, Y.; Yuan, Y. An Alternative View: When Does SGD Escape Local Minima? arXiv 2018, arXiv:1802.06175. [Google Scholar]
- Sun, R.Y. Optimization for Deep Learning: An Overview. J. Oper. Res. Soc. China 2020, 8, 249–294. [Google Scholar] [CrossRef]
- Keskar, N.S.; Socher, R. Improving Generalization Performance by Switching from Adam to SGD. arXiv 2017, arXiv:1712.07628. [Google Scholar]
- Ruder, S. An overview of gradient descent optimization algorithms. arXiv 2017, arXiv:1609.04747. [Google Scholar]
- NVIDIA Documentation Hub. Available online: https://docs.nvidia.com/jetson/archives (accessed on 1 June 2024).






| Nvidia Jetson Nano (NJN) | Orange Pi 5B (OPi5) | Raspberry Pi 5 (RPi5) | |
|---|---|---|---|
| Processor | ARM Cortex-A57 quad-core (1.43 GHz) | RK3588S octa-core (2.4 GHz) 4xCortex-A76 + 4xCortex-A55 | Broadcom BCM2712 quad-core ARM Cortex-A76 (2.4 GHz) |
| GPU | Nvidia Maxwell 128 CUDA cores | ARM Mali-G610 | VideoCore VII GPU |
| RAM | 4 GB LPDDR4 | 4 GB LPDDR4X | 4 GB LPDDR4X |
| Storage | Micro-SD 64 GB | 32 GB eMMC | Micro-SD 64GB |
| Recommended power supply | 5 V–2 A micro-USB 5 V–4 A barrel jack | 5 V–4 A USB-C | 5 V–5 A USB-C |
| Voltage | Current | |
|---|---|---|
| Range | 0–30 V | 0–5 A |
| Resolution | 0.1 mV | 0.01 mA |
| Accuracy | ±0.05% | ±0.1% |
| Models | Version | Parameters (Millions) | GFLOPS |
|---|---|---|---|
| MNASNet | 05 | 2.21 | 0.1 |
| MobileNet | V2 20 | 3.5 | 0.3 |
| SqueezeNet | 1.1 | 1.24 | 0.35 |
| EfficientNet | b0 | 5.28 | 0.39 |
| RegNet | y400mf | 4.34 | 0.4 |
| AlexNet | - | 61.1 | 0.71 |
| ShuffleNet | V2 0.5x | 1.36 | 0.82 |
| GoogLeNet | 6.62 | 1.5 | |
| ResNet | 18 18 | 11.68 | 1.81 |
| ConvNeXt | tiny | 28.58 | 4.46 |
| RPi5 | OPi5 | NJN | |
|---|---|---|---|
| Operating System | Raspberry Pi OS (Bookworm v12) | Orange Pi OS (Bullseye v11) | Ubuntu (v20.04) |
| Python | 3.11.2 | 3.9.2 | 3.8.10 |
| PyTorch | 1.13 | 2.0.1 | 1.13 |
| Torchvision | 0.14.1 | 0.15.2 | 0.14.0 |
| Learning Rate | Batch Size | Optimizer |
|---|---|---|
| 0.0001–0.01 | 16, 32, 64 | SGD, Adam |
| Dataset | MobileNet | Resnet18 | ConvNeXt | AlexNet | EfficientNet | MNASNet | SqueezeNet | RegNet | GoogLeNet | ShuffleNet | |
|---|---|---|---|---|---|---|---|---|---|---|---|
| lr | 0.0002 | 0.003 | 0.0001 | 0.0012 | 0.00025 | 0.0015 | 0.0001 | 0.0002 | 0.00018 | 0.0013 | |
| D30 | op | Adam | SGD | Adam | SGD | Adam | Adam | Adam | Adam | Adam | Adam |
| bs | 16 | 16 | 64 | 64 | 16 | 64 | 16 | 64 | 64 | 16 | |
| lr | 0.0003 | 0.00015 | 0.0001 | 0.0012 | 0.00021 | 0.0012 | 0.0001 | 0.0002 | 0.00017 | 0.0006 | |
| D10 | op | Adam | Adam | Adam | SGD | Adam | Adam | Adam | Adam | Adam | Adam |
| bs | 16 | 16 | 64 | 64 | 32 | 16 | 32 | 64 | 32 | 32 | |
| lr | 0.0001 | 0.0024 | 0.00012 | 0.0014 | 0.0002 | 0.001 | 0.0001 | 0.0002 | 0.0001 | 0.0016 | |
| D5 | op | Adam | SGD | Adam | SGD | Adam | Adam | Adam | Adam | Adam | Adam |
| bs | 32 | 16 | 32 | 64 | 32 | 16 | 64 | 32 | 32 | 16 | |
| lr | 0.0002 | 0.00013 | 0.0001 | 0.0011 | 0.00035 | 0.0028 | 0.0001 | 0.0002 | 0.00018 | 0.00058 | |
| D1 | op | Adam | Adam | Adam | SGD | Adam | Adam | Adam | Adam | Adam | Adam |
| bs | 64 | 64 | 64 | 64 | 16 | 32 | 16 | 16 | 64 | 16 |
| Dataset | MNASNet | MobileNet | SqueezeNet | EfficientNet | RegNet | AlexNet | SuffleNet | GoogLeNet | ResNet18 | ConvNeXt |
|---|---|---|---|---|---|---|---|---|---|---|
| D30 | 0.917 | 0.965 | 0.9346 | 0.972 | 0.9694 | 0.9174 | 0.9582 | 0.9658 | 0.9602 | 0.9756 |
| D10 | 0.9176 | 0.9504 | 0.9104 | 0.964 | 0.9534 | 0.8986 | 0.9416 | 0.9526 | 0.9494 | 0.9588 |
| D5 | 0.897 | 0.9238 | 0.8948 | 0.943 | 0.936 | 0.8848 | 0.923 | 0.9364 | 0.9276 | 0.946 |
| D1 | 0.7596 | 0.863 | 0.8458 | 0.8828 | 0.8692 | 0.833 | 0.864 | 0.8688 | 0.8702 | 0.8922 |
Disclaimer/Publisher’s Note: The statements, opinions and data contained in all publications are solely those of the individual author(s) and contributor(s) and not of MDPI and/or the editor(s). MDPI and/or the editor(s) disclaim responsibility for any injury to people or property resulting from any ideas, methods, instructions or products referred to in the content. |
© 2024 by the authors. Licensee MDPI, Basel, Switzerland. This article is an open access article distributed under the terms and conditions of the Creative Commons Attribution (CC BY) license (https://creativecommons.org/licenses/by/4.0/).
Share and Cite
Robles-Guerrero, A.; Gómez-Jiménez, S.; Saucedo-Anaya, T.; López-Betancur, D.; Navarro-Solís, D.; Guerrero-Méndez, C. Convolutional Neural Networks for Real Time Classification of Beehive Acoustic Patterns on Constrained Devices. Sensors 2024, 24, 6384. https://doi.org/10.3390/s24196384
Robles-Guerrero A, Gómez-Jiménez S, Saucedo-Anaya T, López-Betancur D, Navarro-Solís D, Guerrero-Méndez C. Convolutional Neural Networks for Real Time Classification of Beehive Acoustic Patterns on Constrained Devices. Sensors. 2024; 24(19):6384. https://doi.org/10.3390/s24196384
Chicago/Turabian StyleRobles-Guerrero, Antonio, Salvador Gómez-Jiménez, Tonatiuh Saucedo-Anaya, Daniela López-Betancur, David Navarro-Solís, and Carlos Guerrero-Méndez. 2024. "Convolutional Neural Networks for Real Time Classification of Beehive Acoustic Patterns on Constrained Devices" Sensors 24, no. 19: 6384. https://doi.org/10.3390/s24196384
APA StyleRobles-Guerrero, A., Gómez-Jiménez, S., Saucedo-Anaya, T., López-Betancur, D., Navarro-Solís, D., & Guerrero-Méndez, C. (2024). Convolutional Neural Networks for Real Time Classification of Beehive Acoustic Patterns on Constrained Devices. Sensors, 24(19), 6384. https://doi.org/10.3390/s24196384

