Design of an FPGA-Based Controller for Fast Scanning Probe Microscopy
Abstract
1. Introduction
2. FastSPM System Architecture
2.1. FastSPM Hardware Architecture
2.2. FastSPM FPGA Firmware
2.2.1. Fast Imaging Measurement Mode
2.2.2. Atom Tracking Measurement Mode
2.2.3. Error Topography Tool
2.2.4. Resonance Characterization Tool
3. Experimental Test Measurements
3.1. Fast Imaging
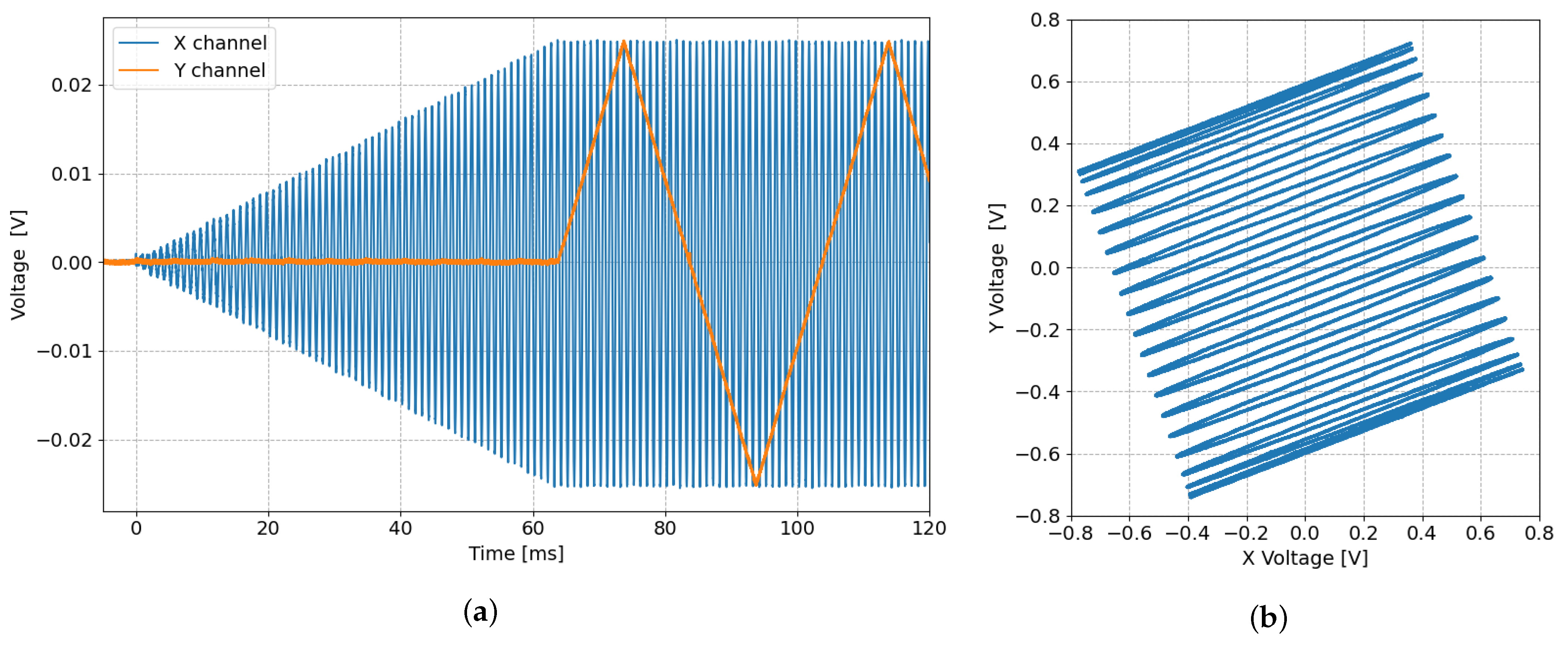
3.2. Atom Tracking
4. Discussion
5. Conclusions
Author Contributions
Funding
Institutional Review Board Statement
Informed Consent Statement
Data Availability Statement
Acknowledgments
Conflicts of Interest
References
- Voigtländer, B. Scanning Probe Microscopy: Atomic Force Microscopy and Scanning Tunneling Microscopy; NanoScience and Technology; Springer: Berlin, Heidelberg, 2015. [Google Scholar] [CrossRef]
- Bian, K.; Gerber, C.; Heinrich, A.J.; Müller, D.J.; Scheuring, S.; Jiang, Y. Scanning Probe Microscopy. Nat. Rev. Methods Primers 2021, 1, 36. [Google Scholar] [CrossRef]
- Raigoza, A.F.; Dugger, J.W.; Webb, L.J. Review: Recent Advances and Current Challenges in Scanning Probe Microscopy of Biomolecular Surfaces and Interfaces. ACS Appl. Mater. Interfaces 2013, 5, 9249–9261. [Google Scholar] [CrossRef] [PubMed]
- Yang, Z.; Freund, H.J. High-speed scanning tunneling microscope technique and its application in studying structural dynamics on surfaces. Prog. Surf. Sci. 2024, 99, 100744. [Google Scholar] [CrossRef]
- Rodriguez, B.J.; Callahan, C.; Kalinin, S.V.; Proksch, R. Dual-Frequency Resonance-Tracking Atomic Force Microscopy. Nanotechnology 2007, 18, 475504. [Google Scholar] [CrossRef]
- Wu, Y.; Chang, Y.; Fang, Y.; Fan, Z. A Fast Scanning Strategy Based on Trajectory Shaping for Atomic Force Microscopy. Nano Res. 2022, 15, 6438–6446. [Google Scholar] [CrossRef]
- Ando, T. High-Speed SPM. In Roadmap of Scanning Probe Microscopy; Morita, S., Ed.; Springer: Berlin/Heidelberg, Germany, 2007; pp. 109–116. [Google Scholar] [CrossRef]
- Yang, Z.; Gura, L.; Kalaß, F.; Marschalik, P.; Brinker, M.; Kirstaedter, W.; Hartmann, J.; Thielsch, G.; Junkes, H.; Heyde, M.; et al. A High-Speed Variable-Temperature Ultrahigh Vacuum Scanning Tunneling Microscope with Spiral Scan Capabilities. Rev. Sci. Instrum. 2022, 93, 053704. [Google Scholar] [CrossRef]
- Rost, M.J.; Crama, L.; Schakel, P.; Van Tol, E.; Van Velzen-Williams, G.B.E.M.; Overgauw, C.F.; Ter Horst, H.; Dekker, H.; Okhuijsen, B.; Seynen, M.; et al. Scanning Probe Microscopes Go Video Rate and Beyond. Rev. Sci. Instrum. 2005, 76, 053710. [Google Scholar] [CrossRef]
- Wintterlin, J.; Trost, J.; Renisch, S.; Schuster, R.; Zambelli, T.; Ertl, G. Real-time STM observations of atomic equilibrium fluctuations in an adsorbate system: O/Ru(0001). Surf. Sci. 1997, 394, 159–169. [Google Scholar] [CrossRef]
- Rost, M.J.; van Baarle, G.J.C.; Katan, A.J.; van Spengen, W.M.; Schakel, P.; van Loo, W.A.; Oosterkamp, T.H.; Frenken, J.W.M. Video-rate scanning probe control challenges: Setting the stage for a microscopy revolution. Asian J. Control 2009, 11, 110–129. [Google Scholar] [CrossRef]
- Curtis, R.; Mitsui, T.; Ganz, E. An ultrahigh vacuum high speed scanning tunneling microscope. Rev. Sci. Instrum. 1997, 68, 2790–2796. [Google Scholar] [CrossRef]
- Mamin, H.J.; Birk, H.; Wimmer, P.; Rugar, D. High-speed scanning tunneling microscopy: Principles and applications. J. Appl. Phys. 1994, 75, 161–168. [Google Scholar] [CrossRef]
- Schitter, G.; Rost, M.J. Scanning probe microscopy at video-rate. Mater. Today 2008, 11, 40–48. [Google Scholar] [CrossRef]
- Gura, L.; Yang, Z.; Paier, J.; Kalaß, F.; Brinker, M.; Junkes, H.; Heyde, M.; Freund, H.J. Resolving atomic diffusion in Ru(0001)-O(2 × 2) with spiral high-speed scanning tunneling microscopy. Phys. Rev. B 2022, 105, 035411. [Google Scholar] [CrossRef]
- Dettmann, D.; Panighel, M.; Preetha Genesh, N.; Galeotti, G.; MacLean, O.; Farnesi Camellone, M.; Johal, T.K.; Fabris, S.; Africh, C.; Perepichka, D.F.; et al. Real-Time Imaging of On-Surface Ullmann Polymerization Reveals an Inhibiting Effect of Adatoms. J. Am. Chem. Soc. 2024, 146, 24493–24502. [Google Scholar] [CrossRef] [PubMed]
- Henß, A.K.; Sakong, S.; Messer, P.K.; Wiechers, J.; Schuster, R.; Lamb, D.C.; Groß, A.; Wintterlin, J. Density Fluctuations as Door-Opener for Diffusion on Crowded Surfaces. Science 2019, 363, 715–718. [Google Scholar] [CrossRef]
- Arndt, B.; Lechner, B.A.J.; Bourgund, A.; Grånäs, E.; Creutzburg, M.; Krausert, K.; Hulva, J.; Parkinson, G.S.; Schmid, M.; Vonk, V.; et al. Order–disorder phase transition of the subsurface cation vacancy reconstruction on Fe3O4(001). Phys. Chem. Chem. Phys. 2020, 22, 8336–8343. [Google Scholar] [CrossRef]
- Magnussen, O.M. Atomic-Scale Insights into Electrode Surface Dynamics by High-Speed Scanning Probe Microscopy. Chem. A Eur. J. 2019, 25, 12865–12883. [Google Scholar] [CrossRef]
- Patera, L.L.; Bianchini, F.; Africh, C.; Dri, C.; Soldano, G.; Mariscal, M.M.; Peressi, M.; Comelli, G. Real-Time Imaging of Adatom-Promoted Graphene Growth on Nickel. Science 2018, 359, 1243–1246. [Google Scholar] [CrossRef]
- Zou, Z.; Carnevali, V.; Patera, L.L.; Jugovac, M.; Cepek, C.; Peressi, M.; Comelli, G.; Africh, C. Operando atomic-scale study of graphene CVD growth at steps of polycrystalline nickel. Carbon 2020, 161, 528–534. [Google Scholar] [CrossRef]
- Yanson, Y.I.; Schenkel, F.; Rost, M.J. Design of a high-speed electrochemical scanning tunneling microscope. Rev. Sci. Instrum. 2013, 84, 023702. [Google Scholar] [CrossRef]
- Dri, C.; Esch, F.; Africh, C.; Comelli, G. How to Select Fast Scanning Frequencies for High-Resolution Fast STM Measurements with a Conventional Microscope. Meas. Sci. Technol. 2012, 23, 055402. [Google Scholar] [CrossRef]
- Dri, C.; Panighel, M.; Tiemann, D.; Patera, L.L.; Troiano, G.; Fukamori, Y.; Knoller, F.; Lechner, B.A.J.; Cautero, G.; Giuressi, D.; et al. The New FAST Module: A Portable and Transparent Add-on Module for Time-Resolved Investigations with Commercial Scanning Probe Microscopes. Ultramicroscopy 2019, 205, 49–56. [Google Scholar] [CrossRef] [PubMed]
- Zou, Z.; Patera, L.L.; Comelli, G.; Africh, C. Strain Release at the Graphene-Ni(100) Interface Investigated by in-Situ and Operando Scanning Tunnelling Microscopy. Carbon 2021, 172, 296–301. [Google Scholar] [CrossRef]
- Taylor, M.E. Dynamics of Piezoelectric Tube Scanners for Scanning Probe Microscopy. Rev. Sci. Instrum. 1993, 64, 154–158. [Google Scholar] [CrossRef]
- Martín-Vega, F.; Barrena, V.; Sánchez-Barquilla, R.; Fernández-Lomana, M.; Benito Llorens, J.; Wu, B.; Fente, A.; Perconte Duplain, D.; Horcas, I.; López, R.; et al. Simplified Feedback Control System for Scanning Tunneling Microscopy. Rev. Sci. Instrum. 2021, 92, 103705. [Google Scholar] [CrossRef]
- Briegel, K.D.; Riccius, F.; Filser, J.; Bourgund, A.; Spitzenpfeil, R.; Panighel, M.; Dri, C.; Lechner, B.A.J.; Esch, F. PyfastSPM: A Python Package to Convert 1D FastSPM Data Streams into Publication Quality Movies. SoftwareX 2023, 21, 101269. [Google Scholar] [CrossRef]
- Clayton, G.M.; Tien, S.; Leang, K.K.; Zou, Q.; Devasia, S. A Review of Feedforward Control Approaches in Nanopositioning for High-Speed SPM. J. Dyn. Syst. Meas. Control. 2009, 131, 061101. [Google Scholar] [CrossRef]
- Ginosar, R. Metastability and Synchronizers: A Tutorial. IEEE Des. Test Comput. 2011, 28, 23–35. [Google Scholar] [CrossRef]
- Pohl, D.W.; Möller, R. “Tracking” Tunneling Microscopy. Rev. Sci. Instrum. 1988, 59, 840–842. [Google Scholar] [CrossRef]
- Burdett, R. Amplitude Modulated Signals: The Lock-in Amplifier. In Handbook of Measuring System Design; John Wiley & Sons, Ltd.: Hoboken, NJ, USA, 2005; Chapter 181. [Google Scholar] [CrossRef]
- Borase, R.P.; Maghade, D.K.; Sondkar, S.Y.; Pawar, S.N. A Review of PID Control, Tuning Methods and Applications. J. Dyn. Syst. Meas. Control. 2021, 9, 818–827. [Google Scholar] [CrossRef]
- Swartzentruber, B.S. Direct Measurement of Surface Diffusion Using Atom-Tracking Scanning Tunneling Microscopy. Phys. Rev. Lett. 1996, 76, 459–462. [Google Scholar] [CrossRef] [PubMed]
- Proakis, J.; Manolakis, D. Digital Signal Processing, 4th ed.; Pearson Prentice Hall: Upper Saddle River, NJ, USA, 2007; ISBN 9780131873742. [Google Scholar]
- Ortigueira, M.D.; Coito, F.J.V.; Trujillo, J.J. Discrete-Time Differential Systems. Signal Process. 2015, 107, 198–217. [Google Scholar] [CrossRef]
- Wilms, M.; Kruft, M.; Bermes, G.; Wandelt, K. A New and Sophisticated Electrochemical Scanning Tunneling Microscope Design for the Investigation of Potentiodynamic Processes. Rev. Sci. Instrum. 1999, 70, 3641–3650. [Google Scholar] [CrossRef]
- Lechner, B.A.J.; Knoller, F.; Bourgund, A.; Heiz, U.; Esch, F. A Microscopy Approach to Investigating the Energetics of Small Supported Metal Clusters. J. Phys. Chem. C 2018, 122, 22569–22576. [Google Scholar] [CrossRef]
- Carminati, M.; Scandurra, G. Impact and Trends in Embedding Field Programmable Gate Arrays and Microcontrollers in Scientific Instrumentation. Rev. Sci. Instrum. 2021, 92, 091501. [Google Scholar] [CrossRef] [PubMed]
- Lusardi, N.; Garzetti, F.; Bulgarini, G.; Gourgues, R.; Los, J.; Geraci, A. Single photon counting through multi-channel TDC in programmable logic. In Proceedings of the 2016 IEEE Nuclear Science Symposium, Medical Imaging Conference and Room-Temperature Semiconductor Detector Workshop (NSS/MIC/RTSD), Strasbourg, France, 29 October–6 November 2016; pp. 1–4. [Google Scholar] [CrossRef]
- Deak, N.; Cret, O.; Munteanu, C.; Teodorescu, E.; Echim, M.M. FPGA Design for On-Board Measurement of Intermittency From In-Situ Satellite Data. Earth Space Sci. 2021, 8, e2021EA001678. [Google Scholar] [CrossRef]
- Ando, T. High-Speed Atomic Force Microscopy and Its Future Prospects. Biophys. Rev. 2018, 10, 285–292. [Google Scholar] [CrossRef]
- Oxford Instruments. Cypher VRS1250 | All New High-Speed, Video-Rate AFM. Available online: https://afm.oxinst.com/Cypher-VRS1250-video-rate-AFM (accessed on 5 September 2024).
- Bruker. JPK NanoRacer. Available online: https://www.bruker.com/en/products-and-solutions/microscopes/bioafm/jpk-nanoracer.html (accessed on 5 September 2024).
- Nanonis. Atom Tracking | Nanonis. Available online: https://www.specs-group.com/nc/nanonis/products/detail/atom-tracking/ (accessed on 5 September 2024).
- Messer, P.K.; Henß, A.K.; Lamb, D.C.; Wintterlin, J. A multiscale wavelet algorithm for atom tracking in STM movies. New J. Phys. 2022, 24, 033016. [Google Scholar] [CrossRef]










Disclaimer/Publisher’s Note: The statements, opinions and data contained in all publications are solely those of the individual author(s) and contributor(s) and not of MDPI and/or the editor(s). MDPI and/or the editor(s) disclaim responsibility for any injury to people or property resulting from any ideas, methods, instructions or products referred to in the content. |
© 2024 by the authors. Licensee MDPI, Basel, Switzerland. This article is an open access article distributed under the terms and conditions of the Creative Commons Attribution (CC BY) license (https://creativecommons.org/licenses/by/4.0/).
Share and Cite
Gregorat, L.; Cautero, M.; Carrato, S.; Giuressi, D.; Panighel, M.; Cautero, G.; Esch, F. Design of an FPGA-Based Controller for Fast Scanning Probe Microscopy. Sensors 2024, 24, 6108. https://doi.org/10.3390/s24186108
Gregorat L, Cautero M, Carrato S, Giuressi D, Panighel M, Cautero G, Esch F. Design of an FPGA-Based Controller for Fast Scanning Probe Microscopy. Sensors. 2024; 24(18):6108. https://doi.org/10.3390/s24186108
Chicago/Turabian StyleGregorat, Leonardo, Marco Cautero, Sergio Carrato, Dario Giuressi, Mirco Panighel, Giuseppe Cautero, and Friedrich Esch. 2024. "Design of an FPGA-Based Controller for Fast Scanning Probe Microscopy" Sensors 24, no. 18: 6108. https://doi.org/10.3390/s24186108
APA StyleGregorat, L., Cautero, M., Carrato, S., Giuressi, D., Panighel, M., Cautero, G., & Esch, F. (2024). Design of an FPGA-Based Controller for Fast Scanning Probe Microscopy. Sensors, 24(18), 6108. https://doi.org/10.3390/s24186108

