Finite Element Modeling and Calibration of a Three-Span Continuous Suspension Bridge Based on Loop Adjustment and Temperature Correction
Abstract
1. Introduction
2. Main Cable Shape-Finding and Modeling Approach
2.1. Iterative Calculation of Tension Force and Shape of the Main Cable in the Mid Span
2.2. Iterative Calculation of Tension Force and Shape of the Main Cable in the Side Span
2.3. Iterative Calculation of Tension Force and Shape of the Main Cable in the Anchorage Span
3. Finite Element Model Calibration
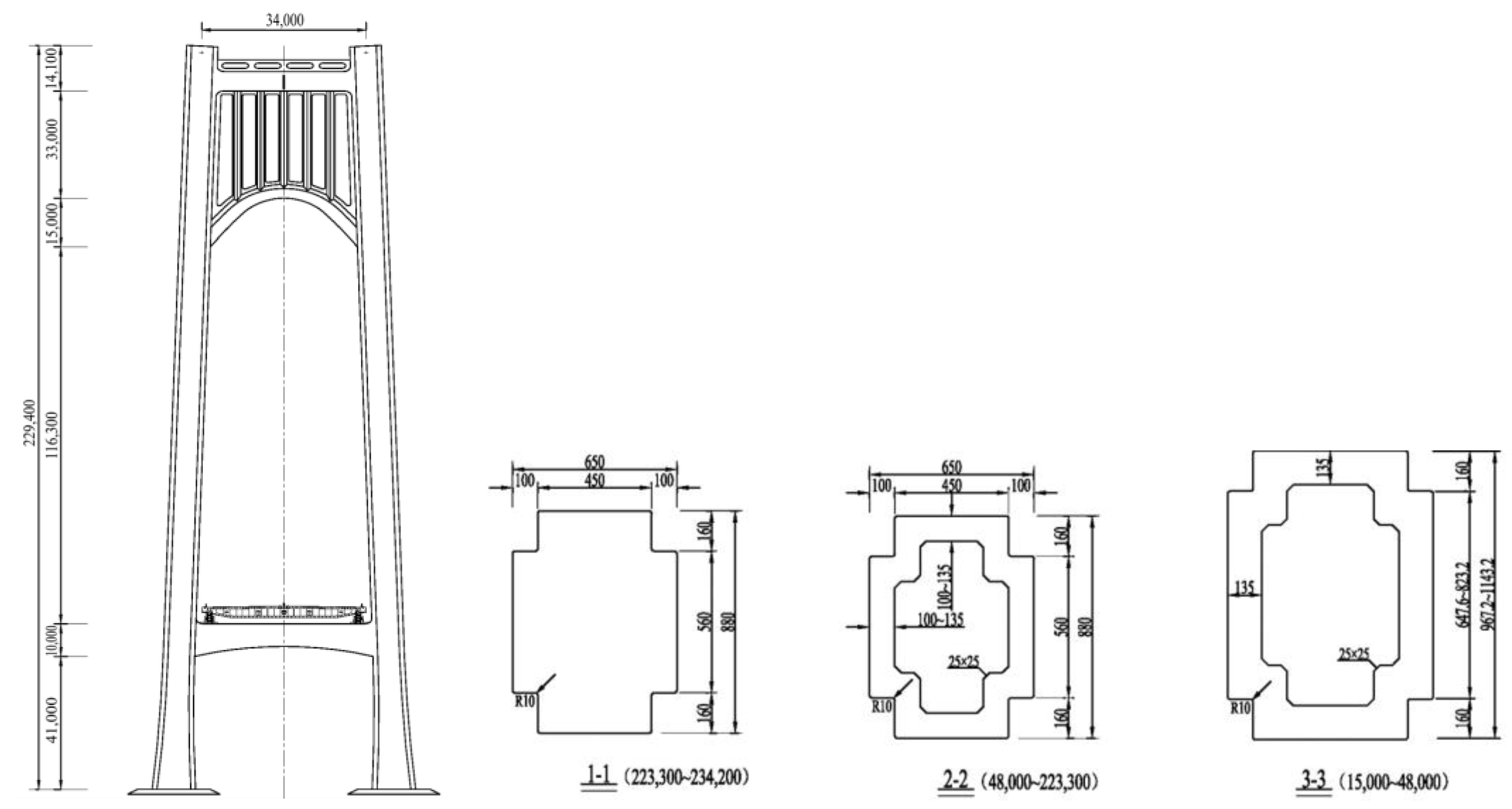
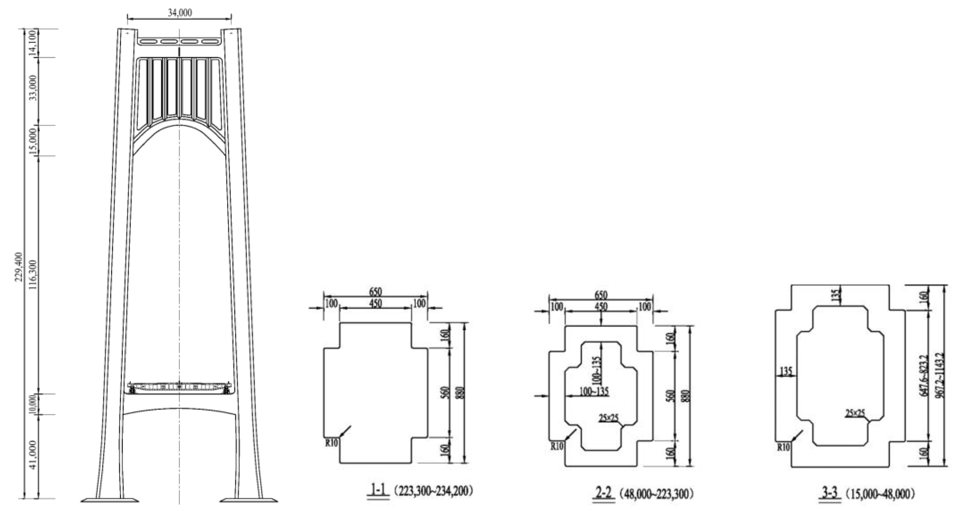
3.1. Calibration of Pylon Model
3.2. Modelling Framework for the Three-Span Continuous Suspension Bridge
4. Case Study
4.1. The Nanjing Qixiashan Yangtze River Bridge
- ①
- The main cables and slings are constructed using the LINK10 truss element, whose cross-sectional characteristics are shown in Table 2.
- ②
- The pylons and girders are constructed using spatial beam element BEAM44, with the cross-sectional areas and material properties shown in Table 1.
- ③
- The hinged spring, elastic support and longitudinal displacement-limiting between the pylons and the girders are modeled using COMB1N14.
- ④
- The MASS21 element is adopted in the dynamic calculations to simulate the rotational mass moment of inertia of the girders.
- ⑤
- The girders are coupled to the suspenders through a rigid connection, and the sagging effect of the suspenders is neglected. All boundary conditions in the model are summarized in Table 3.
- ⑥
- The model has a spatial rectangular coordinate system in which the X-axis is defined as the longitudinal direction of the bridge, the Y-axis as the vertical direction, and the Z-axis as the transverse direction of the bridge.

| Position | Dx | Dy | Dz | Rx | Ry | Rz |
|---|---|---|---|---|---|---|
| Anchor node of the main cable | Fixed | Fixed | Fixed | Fixed | Fixed | Fixed |
| Bottom of the pylon and abutment | Fixed | Fixed | Fixed | Fixed | Fixed | Fixed |
| The intersection of girder and pylon | Free | Spring-Damper | Fixed | Free | Free | Free |
| IP point and top of the pylons | Coupled | Coupled | Coupled | Free | Free | Free |
| Splay saddle | Free | Coupled | Coupled | Free | Free | Free |
| Girder at abutment | Free | Fixed | Fixed | Fixed | Free | Free |
| Anchorage node of displacement-limiting suspenders | Free | Spring-Damper | Free | Free | Free | Free |
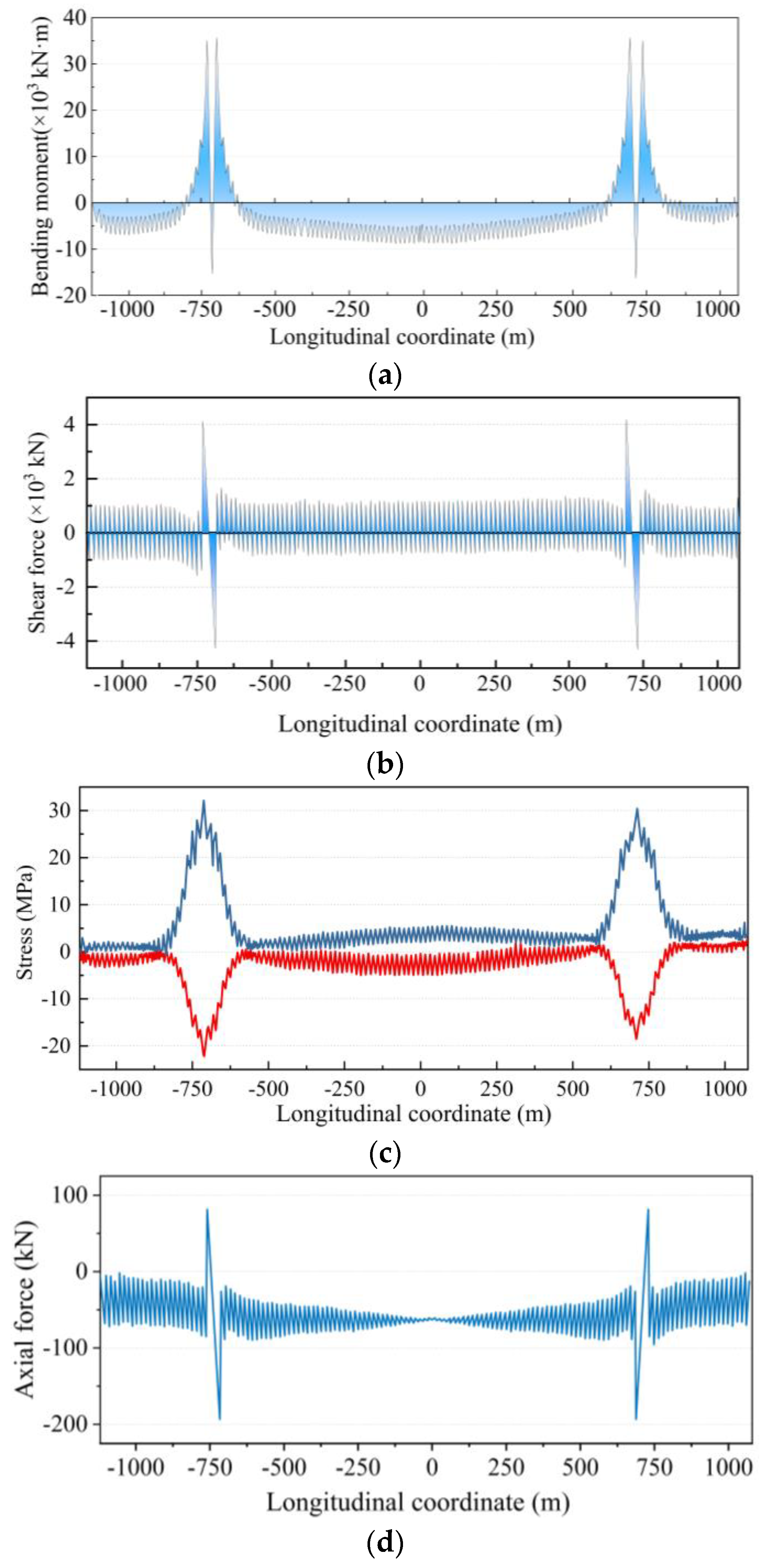
4.2. Analysis of the Reasonable Completed Bridge State
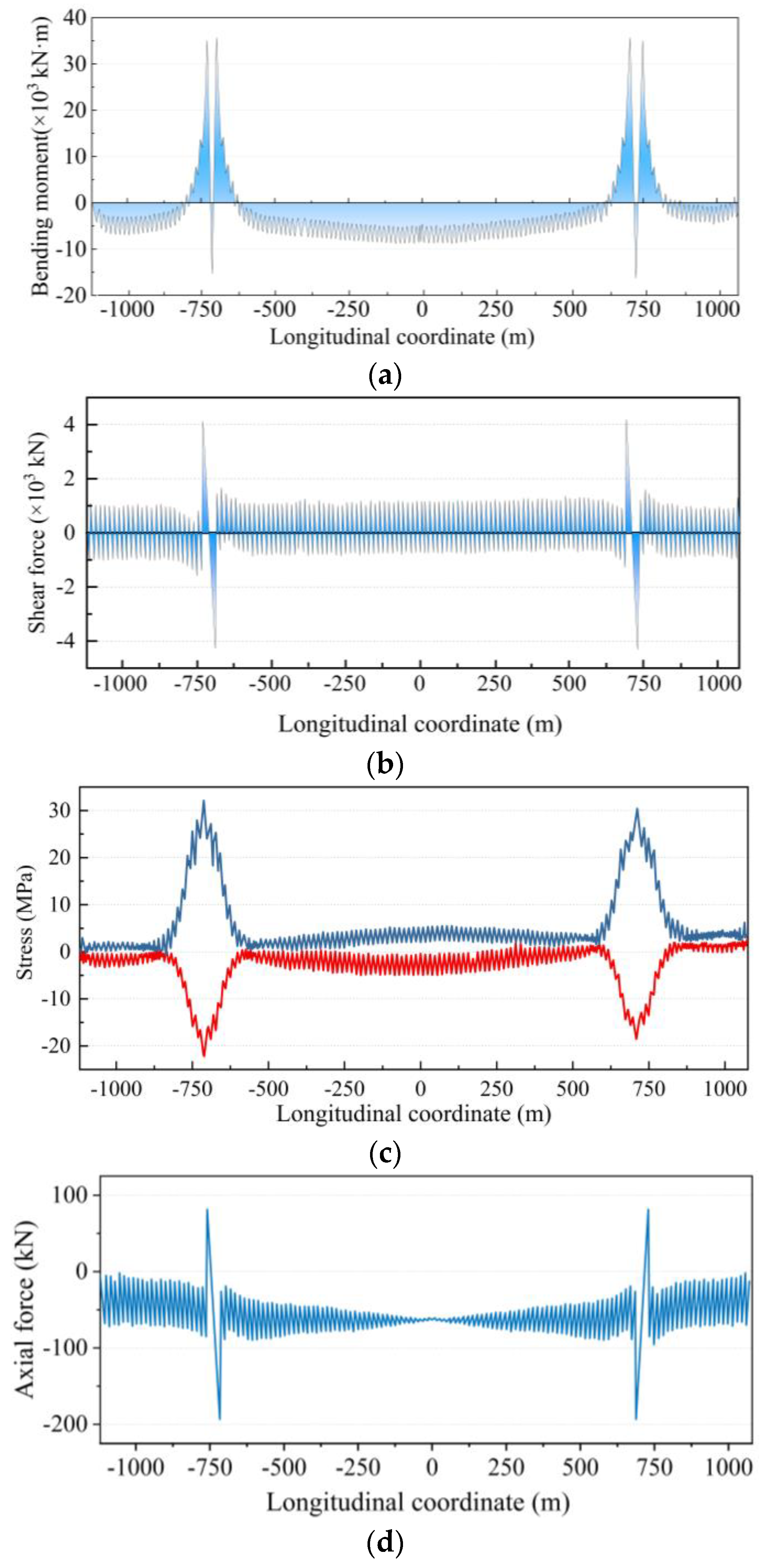
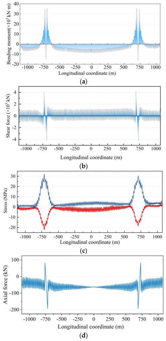
4.3. Comparative Analysis of the Dynamic Characteristics
5. Conclusions
- (1)
- This approach eliminates the need to have prior knowledge of the tension in the shape-finding. It avoids the errors introduced by the use of approximations in conventional methods of calculating and analyzing suspender tensions.
- (2)
- The iterative calculation process is significantly affected by the initial transverse coordinates of the main cable nodes near the midpoint. It would be preferable to assume a more optimal initial shape of the main cable near the midpoint of the span, as this would help enhance the efficiency of the iterative calculations.
- (3)
- All the components are included in the proposed approach, and the pre-arching of the main cable and pylons is assumed to be adjustable. Therefore, the calculation results are in accordance with engineering practice.
- (4)
- Due to the presence of displacement-limiting suspenders, the configuration of the main cable and the distribution of suspender forces in this suspension bridge differ from those of conventional three-span continuous suspension bridges. Therefore, it is essential to employ specialized maintenance and operation measures to ensure its long-term functionality.
Author Contributions
Funding
Data Availability Statement
Conflicts of Interest
References
- Mao, J.X.; Su, X.; Wang, H.; Li, J. Automated Bayesian operational modal analysis of the long-span bridge using machine-learning algorithms. Eng. Struct. 2023, 289, 116336. [Google Scholar] [CrossRef]
- Huang, P.; Li, C. Review of the Main Cable Shape Control of the Suspension Bridge. Appl. Sci. 2023, 13, 3106. [Google Scholar] [CrossRef]
- Kroon, I.B.; Polk, H.; Fuglsang, K. 1915 Çanakkale Bridge–Meeting the Challenge. In Developments in International Bridge Engineering: Selected Papers from Istanbul Bridge Conference 2018; Springer International Publishing: Cham, Switzerland, 2021; pp. 55–69. [Google Scholar]
- Zhang, H.S.; Liu, Y.F.; Li, H.T.; Nie, J.-G.; Fan, J.-S.; Liu, C. An efficient model for solar radiation induced top displacement of steel-concrete composite bridge towers. Structures 2023, 52, 1009–1019. [Google Scholar] [CrossRef]
- Zhu, W.; Ge, Y.; Fang, G.; Cao, J. A novel shape finding method for the main cable of suspension bridge using nonlinear finite element approach. Appl. Sci. 2021, 11, 4644. [Google Scholar] [CrossRef]
- Costa, R.S.; Lavall, A.C.C.; da Silva, R.G.L.; dos Santos, A.P.; Viana, H.F. Cable structures: An exact geometric analysis using catenary curve and considering the material nonlinearity and temperature effect. Eng. Struct. 2022, 253, 113738. [Google Scholar] [CrossRef]
- Chen, Z.; Cao, H.; Ye, K.; Zhu, H.; Li, S. Improved particle swarm optimization-based form-finding method for suspension bridge installation analysis. J. Comput. Civ. Eng. 2015, 29, 04014047. [Google Scholar] [CrossRef]
- Xu, L.; Hui, Y.; Yang, Q.; Chen, Z.; Law, S.-S. Modeling and modal analysis of suspension bridge based on continual formula method. Mech. Syst. Signal Process. 2022, 162, 107855. [Google Scholar] [CrossRef]
- Zhang, W.; Chang, J.; Tian, G. FEM-based shape-finding and force-assessment of suspension bridges via completed loop adjustment. J. Bridge Eng. 2022, 27, 04021098. [Google Scholar] [CrossRef]
- Jung, M.R.; Min, D.J.; Kim, M.Y. Simplified analytical method for optimized initial shape analysis of self-anchored suspension bridges and its verification. Math. Probl. Eng. 2015, 2015, 923508. [Google Scholar] [CrossRef][Green Version]
- Cao, H.; Zhou, Y.-L.; Chen, Z.; Wahab, M.A. Form-finding analysis of suspension bridges using an explicit iterative approach. Struct. Eng. Mech. 2017, 62, 85–95. [Google Scholar] [CrossRef]
- Kim, H.K.; Lee, M.J.; Chang, S.P. Non-linear shape-finding analysis of a self-anchored suspension bridge. Eng. Struct. 2002, 24, 1547–1559. [Google Scholar] [CrossRef]
- Chen, Z.; Cao, H.; Zhu, H.; Hu, J.; Li, S. A simplified structural mechanics model for cable-truss footbridges and its implications for preliminary design. Eng. Struct. 2014, 68, 121–133. [Google Scholar] [CrossRef]
- Kim, K.S.; Lee, H.S. Analysis of target configurations under dead loads for cable-supported bridges. Comput. Struct. 2001, 79, 2681–2692. [Google Scholar] [CrossRef]
- Kim, M.-Y.; Kim, D.-Y.; Jung, M.-R.; Attard, M.M. Improved methods for determining the 3 dimensional initial shapes of cable-supported bridges. Int. J. Steel Struct. 2014, 14, 83–102. [Google Scholar] [CrossRef]
- Kim, M.Y.; Jung, M.R.; Attard, M.M. Unstrained length-based methods determining an optimized initial shape of 3-dimensional self-anchored suspension bridges. Comput. Struct. 2019, 217, 18–35. [Google Scholar] [CrossRef]
- Sun, Y.; Zhu, H.P.; Xu, D. New method for shape finding of self-anchored suspension bridges with three-dimensionally curved cables. J. Bridge Eng. 2015, 20, 04014063. [Google Scholar] [CrossRef]
- Luongo, A.; Zulli, D. Statics of shallow inclined elastic cables under general vertical loads: A perturbation approach. Mathematics 2018, 6, 24. [Google Scholar] [CrossRef]
- Wang, X.; Wang, H.; Zhang, J.; Sun, Y.; Bai, Y.; Zhang, Y.; Wang, H. Form-finding method for the target configuration under dead load of a new type of spatial self-anchored hybrid cable-stayed suspension bridges. Eng. Struct. 2021, 227, 111407. [Google Scholar] [CrossRef]
- Zhang, W.-M.; Li, T.; Shi, L.-Y.; Liu, Z.; Qian, K.-R. An iterative calculation method for hanger tensions and the cable shape of a suspension bridge based on the catenary theory and finite element method. Adv. Struct. Eng. 2019, 22, 1566–1578. [Google Scholar] [CrossRef]
- He, J.; Li, C.; Ke, H.; Liu, Y.; Zhang, Y.; Dong, C.; Li, H.; Zhang, Z. A simplified calculation method of length adjustment of datum strand for the main cable with small sag. Adv. Civ. Eng. 2019, 2019, 6075893. [Google Scholar] [CrossRef]
- Li, T.; Liu, Z.; Zhang, W. Analysis of suspension bridges in construction and completed status considering the pylon saddles. Eur. J. Environ. Civ. Eng. 2022, 26, 4280–4295. [Google Scholar] [CrossRef]
- Zhang, W.-M.; Yang, C.-Y.; Tian, G.-M.; Liu, Z. Analytical assessment of main cable shape for three-pylon suspension bridge with unequal main-span lengths: Thermal effect consideration. J. Bridge Eng. 2020, 25, 04019136. [Google Scholar] [CrossRef]
- Wang, S.; Zhou, Z.; Gao, Y.; Huang, Y. Analytical calculation method for the preliminary analysis of self-anchored suspension bridges. Math. Probl. Eng. 2015, 2015, 918649. [Google Scholar] [CrossRef]
- Shin, S.-U.; Jung, M.-R.; Park, J.; Kim, M.-Y. A deflection theory and its validation of earth-anchored suspension bridges under live loads. KSCE J. Civ. Eng. 2015, 19, 200–212. [Google Scholar] [CrossRef]
- Xiao, R.; Chen, M.; Sun, B. Determination of the reasonable state of suspension bridges with spatial cables. J. Bridge Eng. 2017, 22, 04017060. [Google Scholar] [CrossRef]
- Song, C.; Xiao, R.; Sun, B. Improved method for shape finding of long-Span suspension bridges. Int. J. Steel Struct. 2020, 20, 247–258. [Google Scholar] [CrossRef]
- Li, J.-H.; Feng, D.-M.; Li, A.-Q.; Yuan, H.-H. Determination of reasonable finished state of self-anchored suspension bridges. J. Cent. South Univ. 2016, 23, 209–219. [Google Scholar] [CrossRef]
- Mao, J.; Su, X.; Wang, H.; Yan, H.; Zong, H. Identification of Closely Spaced Modes of a Long-Span Suspension Bridge Based on Bayesian Inference. Int. J. Struct. Stab. Dyn. 2023, 23, 2350194. [Google Scholar] [CrossRef]














| Cross Section | A (m2) | H (m) | Iy (m4) | Iz (m4) | J (m4) |
|---|---|---|---|---|---|
| Girder | 1.432 | / | 2.921 | 155.823 | 8.064 |
| Pylon (Bottom) | 104.86 | 15.00~48.00 | 674.58 | 1181.90 | 1551.3 |
| Pylon (Middle) | 26.72~47.01 | 48.00~223.30 | 121.40~388.73 | 212.67~693.21 | 256.71~854.72 |
| Pylon (Top) | 50.791 | 223.30~234.20 | 152.37 | 284.65 | 353.8 |
| Components | Position | Cross-Sectional Area (mm2) | Tensile Strength (MPa) | Elastic Modulus (MPa) | Safety Factor |
|---|---|---|---|---|---|
| Main cable | North span | 4.025 × 105 | 1770 | 2 × 105 | 2.5 |
| Mid span | 3.854 × 105 | ||||
| South span | 4.082 × 105 | ||||
| Suspenders | Common | 4.04 × 103 | 1670 | 2 × 105 | 2.5 |
| Special | 8.29 × 103 | ||||
| Displacement-limiting | 2.27 × 104 |
| Unit Density | Stress-Free Length of the Main Cable | Unit Density | Stress-Free Length of the Main Cable |
|---|---|---|---|
| 1 m | 1459.07183 m | 5 m | 1459.07180 m |
| 3 m | 1459.07182 m | 10 m | 1459.07159 m |
| Modules | Discriminant | Admissible Error |
|---|---|---|
| Shape-finding of mid-span main cable | Rise | Δf < 0.01 mm |
| Cable clamp position | ΔX < 0.01 mm | |
| Shape-finding of side-span main cable | Difference with mid span on horizontal force | ΔFx < 10 N |
| Cable clamp position | ΔX < 0.01 mm | |
| Calculation of completed bridge state | Pylon height | ΔH < 0.1 mm |
| Rise at mid span | Δf < 0.01 mm | |
| Cable clamp position | ΔX < 0.01 mm | |
| Girder geometry | ΔX, ΔY < 0.01 mm | |
| Bending moment at the bottom of the pylons | M = 0 | |
| IP point of saddle | ΔX, ΔY < 0.01 mm | |
| The difference between output and input suspender forces | ΔF < 200 N |
| Numbers | FEM/Hz | Monitoring Results/Hz | Ambient Vibration Test/Hz | Modal Shapes |
|---|---|---|---|---|
| 1 | 0.1033 | 0.105 | 0.11 | 1st antisymmetric vertical vibration |
| 2 | 0.1150 | 0.116 | / | 1st symmetric vertical vibration |
| 3 | 0.1462 | 0.147 | 0.14 | 2nd symmetric vertical vibration |
| 4 | 0.1801 | 0.181 | 0.18 | Side-span antisymmetric vertical vibration |
| 5 | 0.1952 | 0.189 | 0.19 | 2nd antisymmetric vertical vibration |
| 6 | 0.2236 | 0.224 | 0.22 | symmetric vertical vibration |
Disclaimer/Publisher’s Note: The statements, opinions and data contained in all publications are solely those of the individual author(s) and contributor(s) and not of MDPI and/or the editor(s). MDPI and/or the editor(s) disclaim responsibility for any injury to people or property resulting from any ideas, methods, instructions or products referred to in the content. |
© 2024 by the authors. Licensee MDPI, Basel, Switzerland. This article is an open access article distributed under the terms and conditions of the Creative Commons Attribution (CC BY) license (https://creativecommons.org/licenses/by/4.0/).
Share and Cite
Zong, H.; Su, X.; Mao, J.; Wang, H.; Gao, H. Finite Element Modeling and Calibration of a Three-Span Continuous Suspension Bridge Based on Loop Adjustment and Temperature Correction. Sensors 2024, 24, 5641. https://doi.org/10.3390/s24175641
Zong H, Su X, Mao J, Wang H, Gao H. Finite Element Modeling and Calibration of a Three-Span Continuous Suspension Bridge Based on Loop Adjustment and Temperature Correction. Sensors. 2024; 24(17):5641. https://doi.org/10.3390/s24175641
Chicago/Turabian StyleZong, Hai, Xun Su, Jianxiao Mao, Hao Wang, and Hui Gao. 2024. "Finite Element Modeling and Calibration of a Three-Span Continuous Suspension Bridge Based on Loop Adjustment and Temperature Correction" Sensors 24, no. 17: 5641. https://doi.org/10.3390/s24175641
APA StyleZong, H., Su, X., Mao, J., Wang, H., & Gao, H. (2024). Finite Element Modeling and Calibration of a Three-Span Continuous Suspension Bridge Based on Loop Adjustment and Temperature Correction. Sensors, 24(17), 5641. https://doi.org/10.3390/s24175641

