Next Article in Journal
Development of a Neural Network for Target Gas Detection in Interdigitated Electrode Sensor-Based E-Nose Systems
Next Article in Special Issue
An AI-Driven Multimodal Monitoring System for Early Mastitis Indicators in Italian Mediterranean Buffalo
Previous Article in Journal
Performance Study of F-P Pressure Sensor Based on Three-Wavelength Demodulation: High-Temperature, High-Pressure, and High-Dynamic Measurements
Previous Article in Special Issue
A Review on the Video-Based River Discharge Measurement Technique
 
 
Font Type:
Arial Georgia Verdana
Font Size:
Aa Aa Aa
Line Spacing:
Column Width:
Background:
Article

A Theoretical Study on Static Gas Pressure Measurement via Circular Non-Touch Mode Capacitive Pressure Sensor

1
School of Civil Engineering, Chongqing University, Chongqing 400045, China
2
Key Laboratory of New Technology for Construction of Cities in Mountain Area (Chongqing University), Ministry of Education, Chongqing 400045, China
*
Author to whom correspondence should be addressed.
Sensors 2024, 24(16), 5314; https://doi.org/10.3390/s24165314
Submission received: 5 July 2024 / Revised: 2 August 2024 / Accepted: 14 August 2024 / Published: 16 August 2024
(This article belongs to the Collection Instrument and Measurement)

Abstract

A circular non-touch mode capacitive pressure sensor can operate in both transverse and normal uniform loading modes, but the elastic behavior of its movable electrode plate is different under the two different loading modes, making its input–output analytical relationships between pressure and capacitance different. This suggests that when such a sensor operates, respectively, in transverse and normal uniform loading modes, the theory of its numerical design and calibration is different, in other words, the theory for the transverse uniform loading mode (available in the literature) cannot be used as the theory for the normal uniform loading mode (not yet available in the literature). In this paper, a circular non-touch mode capacitive pressure sensor operating in normal uniform loading mode is considered. The elastic behavior of the movable electrode plate of the sensor under normal uniform loading is analytically solved with the improved governing equations, and the improved analytical solution obtained can be used to mathematically describe the movable electrode plate with larger elastic deflections, in comparison with the existing two analytical solutions in the literature. This provides a larger technical space for developing the circular non-touch mode capacitive pressure sensors used for measuring the static gas pressure (belonging to normal uniform loading).

1. Introduction

A capacitive pressure sensor uses a variable capacitor to detect pressure and convert the detected pressure into capacitance as an electrical signal output [1,2,3,4,5]. The variable capacitor consists of a pair of fixed and movable electrode plates, where the fixed electrode plate is a rigid conductive plate coated by a thin layer of insulator, the movable electrode plate is usually a flexible conductive membrane that is initially flat and peripherally fixed, and the medium filled in the gap between the insulator layer and the movable electrode plate is generally air [6,7,8,9,10]. When pressure is applied onto the surface of the initially flat conductive membrane, the membrane will deflect elastically toward the fixed electrode plate and produce a non-parallel movement due to its fixed outer edge. Such a non-parallel movement makes the variable capacitor change from an initial parallel plate capacitor to a non-parallel plate capacitor, and the capacitance of the variable capacitor increases due to the decrease in the gap between the two electrode plates. Therefore, when the variable capacitor is at rest, the value of the applied pressure corresponds one-to-one to the value of the capacitance, and after this one-to-one correspondence (i.e., the analytical relationship between the input pressure and the output capacitance) is known, then the applied pressure can be determined by measuring the capacitance. This is how a capacitive pressure sensor works. The capacitive pressure sensor is usually called a touch mode capacitive pressure sensor when its movable electrode plate (the conductive membrane) is in contact with the insulator layer [11,12,13,14,15] and is called a non-touch mode capacitive pressure sensor before its movable electrode plate (the conductive membrane) is in contact with the insulator layer [16,17,18,19,20].
Obviously, essential to the numerical design and calibration of a measurement system using such capacitive pressure sensors is the ability to obtain the pressure–capacitance analytical relationship of the variable capacitor used. The capacitance value of the non-parallel plate variable capacitor at rest depends on the non-parallel distance between the fixed and movable electrode plates, more specifically, on the spatial geometry of the deflected movable electrode plate (conductive membrane) under the applied pressure, which is determined by the elastic deflections at the points on the deflected conductive membrane. Therefore, the elastic behavior of the initially flat conductive membrane under the applied pressure has to be exactly solved analytically, so as to use the obtained analytical solution of deflection to exactly derive the capacitance expression of the non-parallel plate capacitor [21,22,23,24,25]. However, since membranes are prone to large elastic deflections under pressure, the mathematical equations governing their elastic behaviors often show strong geometric nonlinearity [26,27,28,29,30]. Therefore, analytical solutions for membrane problems are available in few cases, because these somewhat intractable nonlinear equations usually present serious analytical difficulties [31,32,33,34,35]. This has also been a key scientific and technical problem to be solved in the research and development of such capacitive pressure sensors.
Relatively speaking, the analytical solutions of the large deflection elastic behavior of the rectangular membranes are often much more difficult to be obtained, while that of the circular membranes are relatively easy to be obtained, due to the fact that the large deflection deformations of circular membrane structures or structural components are always axisymmetric, reducing the level of difficulty of analytically solving these large deflection deformations [36,37,38,39,40]. Naturally, a circular capacitive pressure sensor uses a circular conductive membrane as the movable electrode plate of its variable capacitor and can operate in either touch mode or non-touch mode. Not only that, but also the circular movable electrode plate (circular conductive membrane) can be loaded in different ways; for example, it can elastically behave under either uniformly distributed transverse loads or uniformly distributed normal loads. Obviously, the two different loading modes will result in two different elastic behaviors of the circular movable electrode plate (circular conductive membrane); that is, when the uniformly distributed transverse loads has the same intensity as the uniformly distributed normal loads, the spatial geometries of the circular movable electrode plate (circular conductive membrane) are different under the two loading modes, thus making the non-parallel plate variable capacitor between the fixed and movable electrode plates have two different capacitance values under the two loading modes. In other words, for the same circular capacitive pressure sensor, the pressure–capacitance analytical relationship that the sensor operates in the transverse uniform loading mode is different from the one that the sensor operates in the normal uniform loading mode. Therefore, for the same circular capacitive pressure sensor, if the capacitance value measured when the sensor operates in transverse uniform loading mode is equal to that measured when the sensor operates in normal uniform loading mode, then the load intensity that the sensor operates with in the transverse uniform loading mode is not equal to the load intensity that the sensor operates with in the normal uniform loading mode. This implies that for the same circular capacitive pressure sensor, the theory of numerical design and calibration that is used to measure uniformly distributed transverse loads is different from the one that is used to measure uniformly distributed normal loads; that is, the two different theories cannot be used interchangeably. However, in the existing literature, it is difficult to find reports on the measurement of uniformly distributed normal loads via such circular capacitive pressure sensors.
In this paper, a theoretical study on the measurement of the static gas pressure (belonging to uniformly distributed normal loads) through a circular non-touch mode capacitive pressure sensor is presented for the first time. Obviously, the pressure exerted on the circular movable electrode plate (the circular conductive membrane) of the sensor due to a high-speed moving gas or liquid should belong to uniformly distributed transverse loads, while the pressure exerted on the membrane via a static gas or liquid belongs to uniformly distributed normal loads. Therefore, all the theories of using circular non-touch mode capacitive pressure sensors for the pressure measurement, which are presented by regarding the circular movable electrode plate under the pressure as an initially flat, peripherally fixed circular membrane under the action of uniformly distributed transverse loads (as reported in [41,42]), can only be used to measure the pressure exerted on the circular movable electrode plate due to the high-speed moving gas or liquid, and cannot be used to measure the pressure exerted on the circular movable electrode plate via the static gas or liquid. However, the theory of using a circular non-touch mode capacitive pressure sensor for the static gas pressure measurement has yet to be established.

2. Materials and Methods

A measurement system for static gas pressure via a circular non-touch mode capacitive pressure sensor involves the treatment of two key scientific and technical issues: one is the derivation of the capacitance of the sensor under the static gas pressure (the derivation of the analytical relationship of input pressure and output capacitance of the sensor), and the other is the analytical solution to the elastic behavior of the circular movable electrode plate of the sensor under the static gas pressure (which is necessary for the calculation of the capacitance of the sensor).

2.1. The Derivation of the Input–Output Analytical Relationship of the Sensor

A circular capacitive pressure sensor is assumed to operate in non-touch mode after it is subjected to a static gas pressure q, as shown in Figure 1, where the dash-dotted line denotes the geometric middle plane of the initially flat movable electrode plate that has not yet been subjected to the action of the static gas pressure q, a denotes the radius of the initially flat movable electrode plate, t denotes the thickness of the insulator layer coating on the fixed electrode plate, g denotes the initial parallel gap between the initially flat movable electrode plate and the insulator layer, and the polar plane (r, φ) of the introduced cylindrical coordinate system (r, φ, w) is located in the plane in which the geometric middle plane is located, coordinate origin o is coincident with the centroid of the geometric middle plane, and the radial, circumferential, and transverse coordinates are r, φ, and w, respectively; also, w denotes the deflection (transverse displacement) of the movable electrode plate under the static gas pressure q. The movable electrode plate is generally made of a conductive membrane and the fixed electrode plate is generally made of a flat rigid conductive thin plate fixed to the substrate.
When the static gas pressure q is applied, the initially flat movable electrode plate will axisymmetrically deflect towards the fixed electrode plate. This makes the variable capacitor between the movable and fixed electrode plates change from a parallel plate capacitor to a non-parallel plate capacitor. The spatial geometry of the deflected movable electrode plate under the static gas pressure q can be expressed as w(r) in the cylindrical coordinate system (r, φ, w); that is, it is only related to the radial coordinate r and not to the angle coordinate φ, due to the axisymmetric deflection of the movable electrode plate. The variable capacitor between the two electrode plates can be regarded as consisting of two capacitors in series: one is the non-parallel plate capacitor between the insulator layer and the movable electrode plate, and the other is the parallel plate capacitor between the fixed electrode plate and the insulator layer. Therefore, the total capacitance C of the variable capacitor between the two electrode plates, i.e., the capacitance C of the sensor, may be written as
1 C = 1 C 1 + 1 C 2 ,
where C1 refers to the capacitance of the parallel plate capacitor between the fixed electrode plate and the insulator layer, and C2 refers to the capacitance of the non-parallel plate capacitor between the insulator layer and the movable electrode plate. If the vacuum permittivity is denoted by ε0, the relative permittivity of the insulator layer is denoted by εr1, and the relative permittivity of the air is denoted by εr2, then the capacitance C1 may be written as
C 1 = ε 0 ε r 1 π a 2 t ,
and the capacitance C2 may be written as [41]
C 2 = 0 a 0 2 π ε 0 ε r 2 r g w ( r ) d φ d r = 2 π ε 0 ε r 2 0 a r g w ( r ) d r .
From Equations (1)–(3), the total capacitance C of the variable capacitor between the movable and fixed electrode plates may finally be written as
C = C 1 C 2 C 1 + C 2 = 2 π ε 0 ε r 1 ε r 2 a 2 0 a r g w ( r ) d r ε r 1 a 2 + 2 ε r 2 t 0 a r g w ( r ) d r .
Therefore, the capacitance C of the circular non-touch mode capacitive pressure sensor under the static gas pressure q can be determined with Equation (4), where the deflection function w(r) depends on the magnitude of the applied static gas pressure q. Since the capacitance C of the circular non-touch mode capacitive pressure sensor corresponds one-to-one to the applied static gas pressure q, Equation (4) is actually the analytical relationship of the input pressure as an independent variable and the output capacitance as a dependent variable (the pressure–capacitance (pC) analytical relationship) of the sensor. Therefore, due to the one-to-one pC analytical relationship, the applied static gas pressure q can be determined by measuring the capacitance C of the sensor as long as the deflection function w(r) under the static gas pressure q can be obtained. This is the idea behind the development of this circular non-touch mode capacitive pressure sensor.
However, the deflection function w(r) can only be obtained by analytically solving the elastic behavior of the circular movable electrode plate under the static gas pressure q. In addition, the hardware design of this circular non-touch mode capacitive pressure sensor also requires the stress solution σ(r) to check the material strength of the movable electrode plate being used. So, the analytical solution to the elastic behavior of the circular movable electrode plate under the static gas pressure q is necessary for the design of this circular non-touch mode capacitive pressure sensor used for measuring the load intensity of the applied static gas pressure q.

2.2. The Analytical Solution to the Elastic Behavior of the Movable Electrode Plate of the Sensor

The movable electrode plate of a circular non-touch mode capacitive pressure sensor is assumed to use a circular conductive membrane. Therefore, the elastic behavior of the circular movable electrode plate under the static gas pressure q may be regarded mechanically as a large deflection problem of an initially flat, peripherally fixed circular membrane with radius a, thickness h, Poisson’s ratio ν, and Young’s modulus of elasticity E under the action of uniformly distributed normal load q, as shown in Figure 2, where wm denotes the maximum elastic deflection of the axisymmetrically deformed circular membrane under the uniformly distributed normal load q. Obviously, if the maximum pressure to be measured via the sensor is denoted as qm, then the maximum deflection wm of the circular membrane under qm determines the initial parallel gap g in Figure 1 and its maximum stress σm determines the material strength when the movable electrode plate (conductive membrane) is selected.
A free body of radius r (0 ≤ ra) is cut from the central portion of the deflected circular membrane in Figure 2, to study its static problem of equilibrium, as shown in Figure 3, where σr is the radial stress at r, σrh is the membrane force acting on the boundary r, and θ denotes the slope angle at r. Therefore, in the vertical direction perpendicular to the polar plane (r, φ), there is a downward force πr2q and an upward force 2πrσrhsinθ. Then, from the condition of the resultant force in the vertical direction being equal to zero, the out-of-plane equilibrium equation can be written as
π r 2 q 2 π r σ r h sin θ = 0 ,
where
sin θ = 1 / 1 + 1 / tan 2 θ = 1 / 1 + 1 / ( d w / d r ) 2 .
Substituting Equation (6) into Equation (5) yields
r q 1 + 1 / ( d w / d r ) 2 2 σ r h = 0 .
Fichter [43] presented an in-plane equilibrium equation, which is suitable for the large deflection problem of the initially flat, peripherally fixed circular membrane under uniformly distributed normal loads and is expressed as
d d r ( r σ r h ) σ t h q r d w d r = 0 ,
where σt denotes the circumferential stress. Equation (8) is the first, and also the only, in-plane equilibrium equation that takes into account the action of the normal load q on the circular membrane in the horizontal direction parallel to the polar plane (r, φ) and is still used as the in-plane equilibrium equation here.
The classical radial geometric equation has been improved by Lian et al. [34], since it is only applicable to the case where the deflection of the membrane is not too large (generally, a deflection greater than 1/5 of the membrane thickness is called a large deflection). The improved radial geometric equation can be used for membrane problems that allow the membrane deflection to be larger than the membrane thickness, or even several times larger, and is expressed as [34]
e r = ( 1 + d u d r ) 2 + ( d w d r ) 2 1 ,
where u and er denote the radial displacement and radial strain, respectively. The circumferential geometric equation is expressed as [34]
e t = u r ,
where et denotes the circumferential strain.
The two-dimensional stress–strain relationships follow the generalized Hooke’s law and are expressed as
σ r = E 1 ν 2 ( e r + ν e t )
and
σ t = E 1 ν 2 ( e t + ν e r ) .
Equations (7)–(12) are six equations governing the elastic behavior of the circular membrane in Figure 2, which are described by stresses σr and σt, strains er and et, and displacements u and w. The boundary conditions for solving these six governing equations are
d w d r = 0   at   r = 0 ,
e t = 0   at   r = a
and
w = 0   at   r = a .
Let us eliminate strains er and et from Equations (9)–(12) first. Substituting Equations (9) and (10) into Equations (11) and (12) yields
σ r = E 1 ν 2 { [ ( 1 + d u d r ) 2 + ( d w d r ) 2 ] 1 / 2 1 + ν u r }
and
σ t = E 1 ν 2 { u r + ν [ ( 1 + d u d r ) 2 + ( d w d r ) 2 ] 1 / 2 ν } .
Equation (16) multiplied by v minus Equation (17) yields
u r = 1 E ( σ t ν σ r ) .
Therefore, from Equations (10) and (18), the boundary condition Equation (14) can be expressed in terms of stress conditions
σ t ν σ r = 0   at   r = a .
Further, substituting the u in Equation (18) into Equation (16) yields
( 1 E σ r + 1 ν E σ t ) 2 { 1 + d d r [ 1 E r ( σ t ν σ r ) ] } 2 ( d w d r ) 2 = 0 .
Equations (7), (8) and (20) are three equations for the solution of σr, σt, and w.
Let us introduce the following dimensionless variables
Q = q a E h ,   W = w a ,   S r = σ r E ,   S t = σ t E ,   x = r a
and transform Equations (7), (8), (20), (13), (15) and (19) into
( 4 S r 2 x 2 Q 2 ) ( d W d x ) 2 x 2 Q 2 = 0 ,
d d x ( x S r ) S t Q x d W d x = 0 ,
( 1 + S r ν S t ) 2 ( 1 + S t + x d S t d x ν S r ν x d S r d x ) 2 ( d W d x ) 2 = 0 ,
d W d x = 0   at   x = 0 ,
W = 0   at   x = 1
and
S t ν S r = 0   at   x = 1 .
In order to use the power series method to solve Equations (22)–(24), Sr(x), St(x), and W(x) have to be expanded into the power series of the x, i.e.,
S r ( x ) = i = 0 b i x i ,
S t ( x ) = i = 0 c i x i
and
W ( x ) = i = 0 d i x i .
The recursion formulas for the power series coefficients bi, ci, and di can be obtained by substituting Equations (28)–(30) into Equations (22)–(24) and letting all the coefficient sums of the x to the same power be equal simultaneously to zero, as shown in Appendix A, where, when i = 1, 3, 5,…, the coefficients bi, ci, and di are constantly equal to zero, and when i = 2, 4, 6,…, they can be expressed into the polynomials with regard to the coefficient b0, and c0b0. Therefore, there are only two undetermined constants, that is, the coefficients b0 and d0, which can be determined by using the boundary conditions Equations (27) and (26).
From Equations (28) and (29), the boundary condition Equation (27) yields
i = 0 c i ν i = 0 b i = 0 .
Since the coefficients bi and ci can be expressed into the polynomials with regard to the coefficient b0 and c0b0, Equation (31) contains only one variable b0. Therefore, the undetermined constant b0 can be determined by Equation (31). Further, from Equation (30), the boundary condition Equation (26) yields
d 0 = i = 1 d i .
Since the coefficients di (i = 1, 3, 5, …) are constantly equal to zero and the coefficients di (i = 2, 4, 6, …) can be determined with the known b0, the undetermined constant d0 can be determined by using Equation (32).
Therefore, for a concrete problem in which the parameter values of a, h, E, ν, and q are known beforehand, all the coefficients bi, ci, and di (i = 0, 1, 2, 3, …) can be determined, so all the expressions of the radial stress σr, circumferential stress σt, and transverse displacement (deflection) w can be determined. From Equations (21) and (28)–(30), the dimensional forms of σr, σt, and w can be written as
σ r ( r ) = E i = 0 b i ( r a ) i ,
σ t ( r ) = E i = 0 c i ( r a ) i
and
w ( r ) = a i = 0 d i ( r a ) i .
As for the expressions of the radial displacement u, radial strain er, and circumferential strain et, with the known expressions of σr, σt, and w, they can be easily derived from Equations (18), (10) and (9). It is not necessary to derive them here, as the design of a circular non-touch mode capacitive pressure sensor requires only the analytical expressions of the deflection w and stresses σr and σt (used for determining the maximum stress σm to check the strength of the membrane material used).

3. Results and Discussion

3.1. Difference between Elastic Behaviors of Transversely and Normally Loaded Membrane

The movable electrode plate of a circular non-touch mode capacitive pressure sensor is assumed to use a circular conductive membrane with Poisson’s ratio v = 0.45, Young’s modulus of elasticity E = 3.05 MPa, radius a = 70 mm, and thickness h = 0.3 mm.
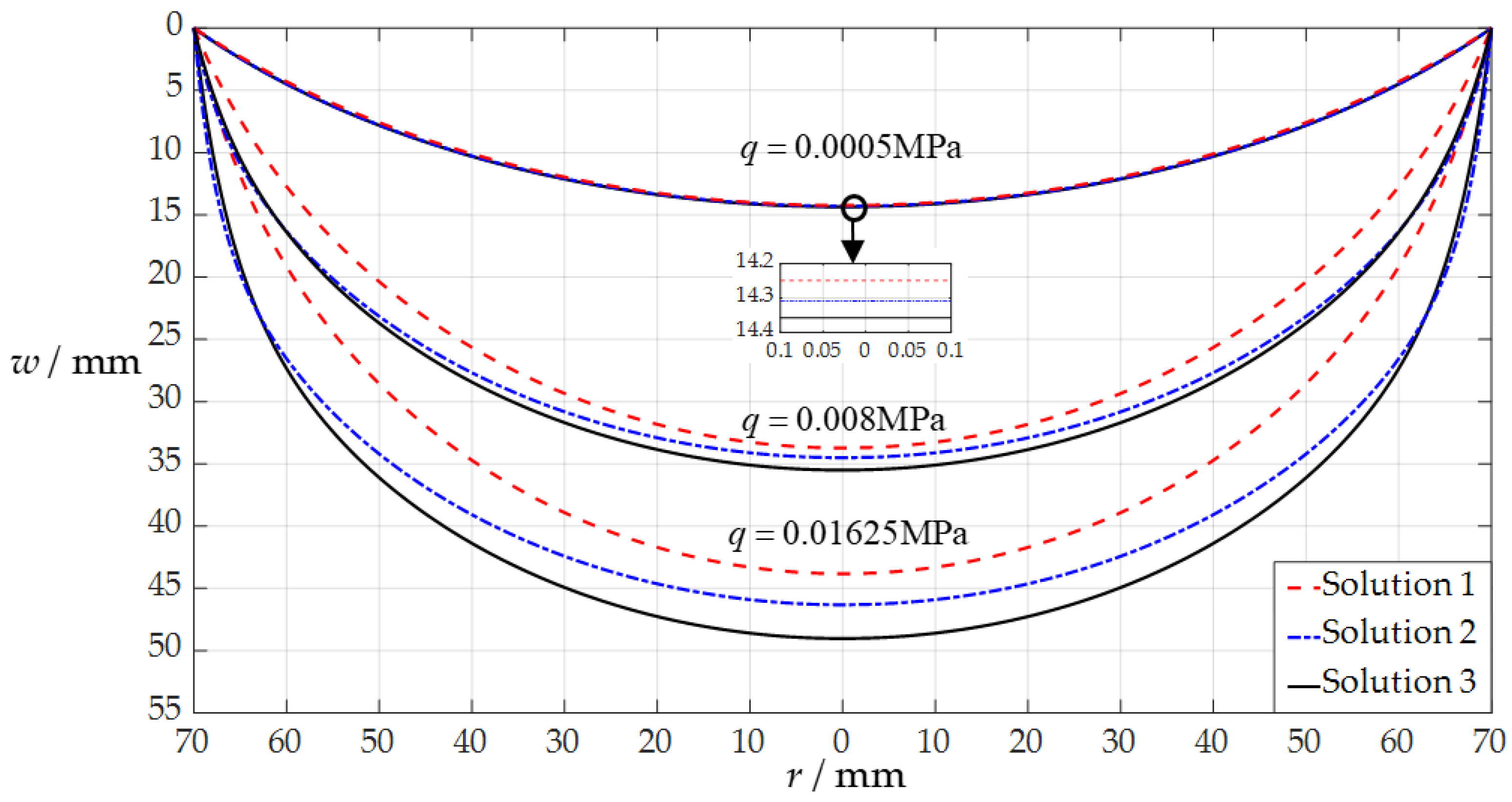
Suppose that the uniformly distributed normal loads that are applied to the circular membrane are q = 0.0005 MPa, q = 0.008 MPa, and q = 0.01625 MPa, respectively, then it can be obtained from Equation (21) that Q = 0.038251 for q = 0.0005 MPa, Q = 0.612022 for q = 0.008 MPa, and Q = 1.243169 for q = 0.01625 MPa. Therefore, the undetermined constants b0 and d0 can be determined by using Equations (31) and (32) and the recursion formulas for the power series coefficients bi, ci, and di in Appendix A, which are b0 = 0.056631 and d0 = 0.205102 for q = 0.0005 MPa, b0 = 0.540343 and d0 = 0.507193 for q = 0.008 MPa, and b0 = 1.025862 and d0 = 0.700458 for q = 0.01625 MPa, respectively. Finally, from Equation (35), the deflection curves w(r) of the circular conductive membrane (the movable electrode plate) under q = 0.0005 MPa, q = 0.008 MPa, and q = 0.01625 MPa can be obtained, as shown by the three solid lines in Figure 4. The three dashed lines in Figure 4 represent the cases where the same circular conductive membrane is subjected to the uniformly distributed transverse loads of q = 0.0005 MPa, q = 0.008 MPa, and q = 0.01625 MPa, respectively, which are obtained by using the analytical solution presented in [34], where b0 = 0.053005 and d0 = 0.207083 for q = 0.0005 MPa, b0 = 0.400731 and d0 = 0.518867 for q = 0.008 MPa, and b0 = 0.710715 and d0 = 0.661283 for q = 0.01625 MPa. The three dash–dotted lines in Figure 4 represent the results of the finite element simulation (using the four-node quadrilateral membrane elements (M3D4R) in ABAQUS (2024) software) when the same circular conductive membrane is subjected to the static gas pressures of q = 0.0005 MPa, q = 0.008 MPa, and q = 0.01625 MPa, respectively.
The difference between the analytical solutions presented in [34] and in Section 2.2 in this paper lies only in the different in-plane equilibrium equations adopted by each, while the other governing equations (the out-of-plane equilibrium equations, geometric equations, and physical equations) are completely the same. Comparing the in-plane equilibrium equation used in Section 2.2 in this paper (Equation (8) in this paper) with that used in [34] (Equation (4) in [34]), it is easy to find that there is an extra term qrdw/dr in the in-plane equilibrium equation adopted in this paper. This additional term qrdw/dr takes into account the in-plane component of the uniformly distributed normal loads acting on the deflected membrane. Therefore, the difference between the solid and dotted lines in Figure 4 increases as the load q increases, showing that the two analytical solutions for the uniformly distributed normal and transverse loads agree quite closely for lightly loaded membranes and diverge slowly as the load intensifies. This implies that the analytical solution of an initially flat, peripherally fixed circular membrane under uniformly distributed transverse loads is not suitable for describing the elastic behavior of an initially flat, peripherally fixed circular membrane under uniformly distributed normal loads; that is, the analytical solution of transverse uniform loading is not suitable for the numerical design and calibration of a circular non-touch mode capacitive pressure sensor used for static gas pressure measurement. In the following section, this issue will be discussed further from the point of view of the analytical relationship of the input pressure as an independent variable and the output capacitance as a dependent variable (the pressure–capacitance (pC) analytical relationship) of the sensor.

3.2. Difference between the p–C Relationships of the Sensor under Normal and Transverse Loads

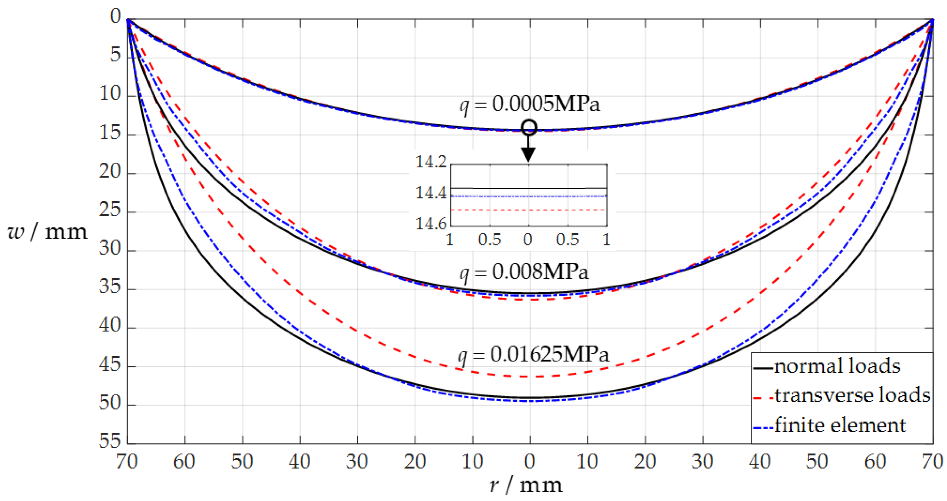
The circular conductive membrane, which is used as the movable electrode plate of a circular non-touch mode capacitive pressure sensor in Section 3.1, is still used here, but the uniformly distributed normal load q will gradually increase from 0.0005 MPa. When the sensor is subjected to the uniformly distributed normal load q, the numerical calculation results of the undetermined constants b0 and d0, maximum membrane deflection wm, and capacitance C are listed in Table A1, where the maximum membrane deflection is expressed as wm = ad0 (see Equation (35)), the capacitance C is determined via Equation (4), the initial parallel gap between the initially flat movable electrode plate and the insulator layer is g = 50 mm, the thickness of the insulator layer is t = 0.1 mm, the vacuum permittivity is ε0 = 8.854 × 10−3 pF/mm, the relative permittivity of the insulator layer is εr1 = 2.5 (polystyrene), and the air relative permittivity is εr2 = 1.00053. When the sensor is subjected to the uniformly distributed transverse load q, all the numerical calculation results are listed in Table A2, which are calculated by using the analytical solution presented in [34]. Figure 5 is the analytical relationship of the input pressure as an independent variable and the output capacitance as a dependent variable (the pressure–capacitance (pC) analytical relationship) drawn with the numerical values of the pressure q and capacitance C in Table A1 and Table A2, where the dotted line represents the pC analytical relationship when the sensor is used for measuring normal loads and the dashed line represents the pC analytical relationship when the sensor is used for measuring transverse loads.
The difference between the pressure–capacitance (pC) analytical relationships of the normally and transversely loaded sensor with a = 70 mm, h = 0.3 mm, t = 0.1 mm, E = 3.05 MPa, ν = 0.45, and g = 50 mm, i.e., the difference between the dotted and dashed lines in Figure 5, reconfirms the conclusion drawn in Section 3.1: the analytical solution of transverse loading is not suitable for the numerical design and calibration of a circular non-touch mode capacitive pressure sensor used for static gas pressure measurement.

3.3. The Beneficial Effect of the Improved Analytical Solution in Section 2.2

So far, in the existing literature there are only two analytical solutions for the large deflection problem of a peripherally fixed and initially flat circular membrane subjected to uniformly distributed normal loads, and they are the analytical solutions provided by Fichter [43] and He et al. [44], respectively. Fichter [43] originally dealt with this large deflection problem and provided an analytical solution of the problem, which is the first analytical solution of the large deflection problem of circular membranes under normal loading. Based on the analytical solution provided by Fichter [43], He et al. improved the governing equation describing the out-of-plane equilibrium of the deformed membrane (i.e., the so-called out-of-plane equilibrium equation), and provided an improved analytical solution for the large deflection problem [44]. In this paper, based on the improved analytical solution provided by He et al. [44], we further improve the governing equation describing the relationship between the radial displacement and radial strain (i.e., the so-called radial geometric equation), and provide a newer analytical solution for the large deflection problem.
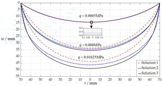
The difference between the out-of-plane equilibrium equations before and after the improvement is reflected in the difference between Equation (2) in [43] and Equation (3) in [44] (which is identical to Equation (7) in this paper), while the difference between the radial geometric equations before and after the improvement is reflected in the difference between Equation (6) in [43] (or Equation (5) in [44]) and Equation (9) in this paper. Essentially, these differences are the results of giving up the assumption that the rotation angle of the membrane is very small. Therefore, these analytical solutions obtained with the assumption of a small rotation angle of the membrane are not suitable for applications with relatively large deflections, as shown in Figure 6, where “Solution 1” refers to the calculation result via the analytical solution presented in [43], “Solution 2” refers to the calculation result via the analytical solution in [44], and “Solution 3” refers to the calculation result via the analytical solution in this paper.
It can be seen from Figure 6 that the three analytical solutions agree quite closely for lightly loaded membranes but diverge slowly as the uniformly distributed normal load q intensifies, showing that the improvements made have achieved the expected positive effect.

3.4. An Example Illustration of Numerical Design and Calibration

In this section, an example is provided to illustrate how to use the analytical solution obtained in Section 2.1 to numerically design and calibrate a circular non-touch mode capacitive pressure sensor used for measuring static gas pressure. The sensor is assumed to be used for measuring the static gas pressure of q = 0~0.016 MPa, and its design starts with a preliminary designation of design parameters (materials and dimensions). The relevant design parameters that need to be preliminarily specified include the radius a of the sensor, the relative permittivity εr1 and thickness t of the insulation layer, and the Poisson’s ratio v and Young’s modulus of elasticity E of the circular conductive membrane (the movable electrode plate). The thickness h of the circular conductive membrane and the initial parallel gap g between the initially flat movable electrode plate and the insulator layer are quantities that need to be determined according to the maximum static gas pressure q = 0.016 MPa and the yield strength σy of the preliminarily specified conductive membrane.
The radius a of the sensor is usually preliminarily specified according to the size of the space in which the sensor is placed, and is assumed to be specified as a = 70 mm.
The insulator layer of the sensor is assumed to be polyethylene. Its relative permittivity is εr1 = 2.5 and its thickness is assumed to be specified as t = 0.1 mm.
The movable electrode plate of this sensor is assumed to use a circular conductive membrane with radius a = 70 mm, Poisson’s ratio v = 0.45, and Young’s modulus of elasticity E = 3.05 MPa.
In addition, the air relative permittivity is εr2 = 1.00053, and the vacuum permittivity is ε0 = 8.854 × 10−3 pF/mm. Suppose that the yield strength of the preliminarily specified conductive membrane is about σy = 4.5 MPa.
The thickness h of the preliminarily specified conductive membrane can be determined as follows. First, let h takes an arbitrary value (suppose h = 0.3 mm). Then, with q = 0.016 MPa, a = 70 mm, h = 0.3 mm, v = 0.45, and E = 3.05 MPa, the undetermined constants b0 and d0 can be calculated using Equations (21), (31) and (32) and the recursion formulas for the power series coefficients bi, ci, and di in Appendix A (the calculated results are b0 = 1.011422 and d0 = 0.694655). Further, with the known b0 and d0, the radial stress σr and circumferential stress σt can be calculated using Equations (33) and (34), and the maximum membrane stress σm takes the largest of the maximum value of the radial stress σr and the maximum value of the circumferential stress σt (the calculated result is that the maximum value of the radial stress σr is the largest so σm = 3.085 MPa). If the maximum stress σm in this calculation is much less than 0.7σy, then h = 0.3 mm does not meet the material strength requirements, and a slightly reduced value of h is needed to recalculate the maximum stress σm until the material strength requirement is met. If the maximum stress σm in this calculation is much greater than 0.7σy, then h = 0.3 mm also does not meet the material strength requirements, and a slightly increased value of h is needed to recalculate the maximum stress σm until the material strength requirement is met. If the maximum stress σm in this calculation is close to 0.7σy, then the arbitrary assumption of h = 0.3 mm meets the material strength requirement (since σm = 3.085 MPa, σy = 4.5 MPa, and σm ≤ 0.7σy; therefore, h = 0.3 mm can meet the material strength requirement).
After the membrane thickness h is determined to be h = 0.3 mm, the initial parallel gap g between the initially flat movable electrode plate and the insulator layer can be determined as follows. First, the maximum deflection wm of the circular membrane with a = 70 mm, h = 0.3 mm, v = 0.45, and E = 3.05 MPa under the action of the uniformly distributed normal load q = 0.016 MPa can be calculated using Equation (35), and the calculated result is wm = ad0 = 70 × 0.694655 = 48.62585 (mm). Therefore, the initial parallel gap g may be roughly taken as g = 50 mm temporarily; that is, the initial parallel gap g should be greater than and close to the maximum deflection wm = 48.62585 mm. Finally, the maximum stress σm when the maximum deflection wm reaches wm = 50 mm needs to be further calculated; the calculated result is that when the maximum deflection wm reaches wm = 50 mm, the uniformly distributed normal load q is about q = 0.016839 MPa, the corresponding undetermined constants are b0 = 1.059829 and d0 = 0.714170, and the maximum value of the radial stress σr is maximum and is about 3.232 MPa, so σm = 3.232 MPa < 0.8σy. Therefore, the initial parallel gap g = 50 mm is appropriate.
After the above numerical design of the sensor hardware is completed, the numerical calibration of the sensor can be achieved as follows. Since the mechanism of using a circular non-touch mode capacitive pressure sensor to measure the static gas pressure q (as shown in Figure 1) is to detect the static gas pressure q by measuring the capacitance C of the sensor to which the static gas pressure q is applied, then such a static gas pressure measurement system requires an analytical relationship of the input capacitance as an independent variable and the output pressure as a dependent variable (the capacitance–pressure (Cp) analytical relationship), rather than the analytical relationship of the input pressure as an independent variable and the output capacitance as a dependent variable (the pressure–capacitance (pC) analytical relationship) shown in Equation (4).
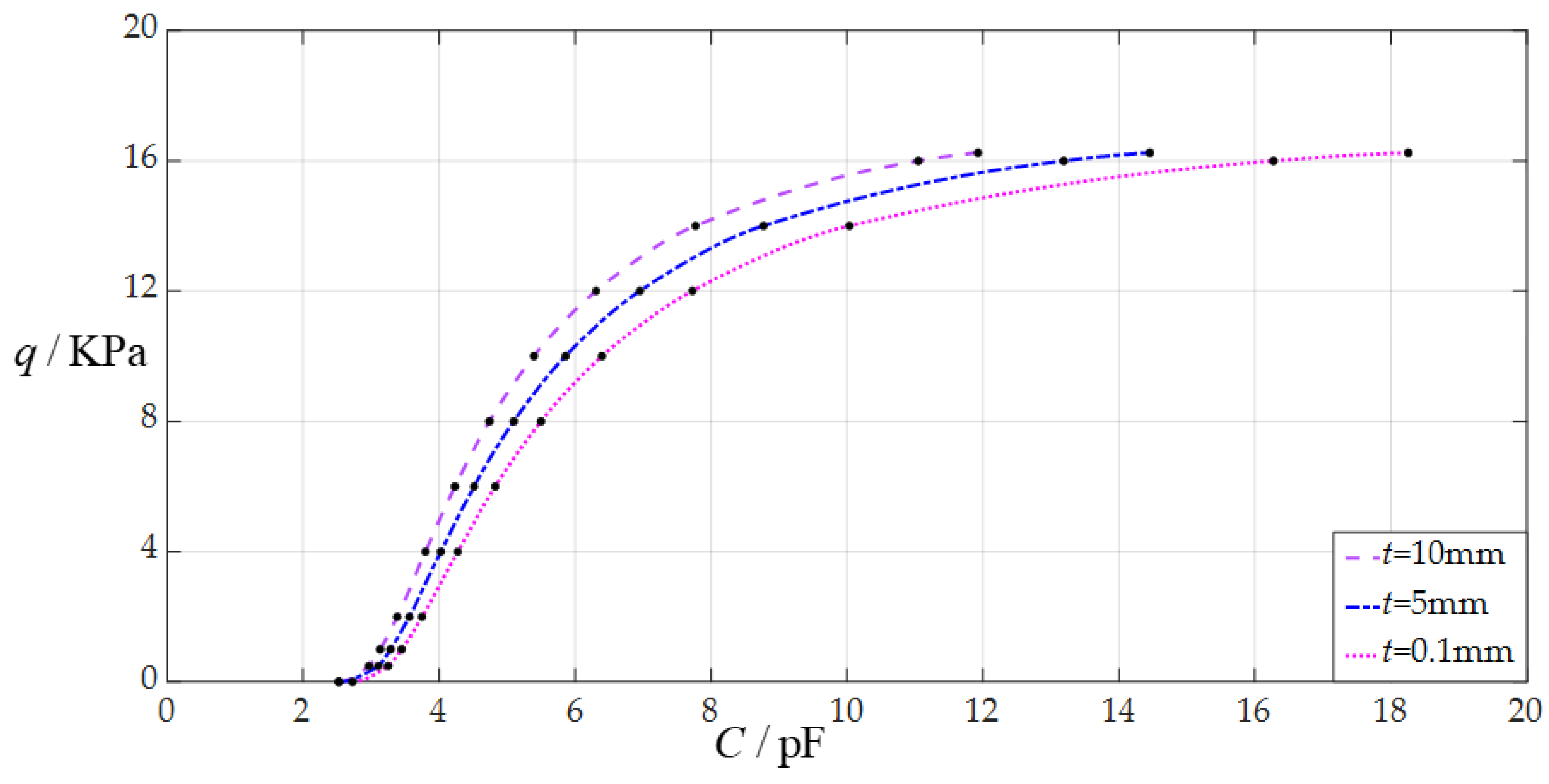
Obviously, due to the complexity of Equation (4) (see the recursion formulas for the power series coefficients bi, ci, and di in Appendix A), the required analytical relationship of the input capacitance as an independent variable and the output pressure as a dependent variable (the capacitance–pressure (Cp) analytical relationship) cannot be derived directly from Equation (4). It can only be obtained through least-squares data fitting based on a large number of numerical calculation values for the capacitance C. To this end, the pressure q has to start from a smaller value to calculate the numerical values of the undetermined constants b0 and d0, maximum deflection wm, maximum stress σm, and capacitance C, as shown in Table A3. Based on the numerical calculation values of the pressure q and capacitance C in Table A3, the required C–p analytical relationship is shown in Figure 7 and is fitted with a straight line and a curve via the least-square method as shown in Table 1.
The linear capacitance–pressure (Cq) analytical relationship of “Function 1” in Figure 7 and Table 1 has a simple analytical expression and is therefore suitable for analog techniques, while the nonlinear capacitance–pressure (Cq) analytical relationship of “Function 2” in Figure 7 and Table 1 has a complex analytical expression and is therefore only suitable for digital techniques. However, the variation ranges of the pressure q and capacitance C in the Cq analytical relationships often need to be adjusted, including the ratio of pressure q to capacitance C, to meet the use requirements and technical needs. This adjustment can be achieved by changing some or just one of the design parameters, such as the radius a, thickness h, Young’s modulus of elasticity E, and Poisson’s ratio v of the circular membrane, etc. In this case, it is necessary to know the effect of changing design parameters on the Cq analytical relationships, which is addressed in the following section.

3.5. Influence of Changing Design Parameters on the C–q Analytical Relationships

In this section, we will analyze the influence of changing some design parameters of a circular non-touch mode capacitive pressure sensor used for measuring static gas pressure on the capacitance–pressure (Cq) analytical relationship of the sensor, such as the radius a, thickness h, Young’s modulus of elasticity E, and Poisson’s ratio v of the circular membrane, the thickness t of the insulator layer, and the initial parallel gap g between the initially flat movable electrode plate and the insulator layer.

3.5.1. Influence of Changing Membrane Thickness h on C–q Relationships

The design parameters in this section are as follows. The Poisson’s ratio still takes v = 0.45, the Young’s modulus of elasticity still takes E = 3.05 MPa, the radius of the circular membrane still takes a = 70 mm, the thickness of the insulator layer still takes t = 0.1 mm, and the initially parallel gap still takes the value g = 50 mm, while the thickness h of the circular membrane takes 0.3 mm, 0.6 mm, and 0.9 mm, respectively. In addition, the vacuum permittivity is ε0 = 8.854 × 10−3 pF/mm, the air relative permittivity is εr2 = 1.00053, and the insulator layer still uses polystyrene, and its relative permittivity is εr1 = 2.5.
When the uniformly distributed normal load q takes different values, the numerical calculation results of the undetermined constants b0 and d0, maximum membrane deflection wm, maximum membrane stress σm, and capacitance C are listed in Table A3 for h = 0.3 mm, in Table A4 for h = 0.6 mm, and in Table A5 for h = 0.9 mm. Figure 8 shows the effect of changing the membrane thickness h on the Cq analytical relationships. As can be seen from Figure 8, the increase in the membrane thickness h does not change the range of the input capacitance C but can increase the range of the output pressure q. The degree of influence when increasing the membrane thickness h on the range increase for the output pressure q can be defined as a percentage of the two relative increments of the output pressure q and membrane thickness h. The relative increment of the membrane thickness h is equal to (0.9 mm − 0.3 mm)/0.3 mm = 200%, and from Table A3 and Table A5, the relative increment of the maximum output pressure q is equal to (48.75 KPa − 16.25 KPa)/16.25 KPa = 200%; so, the degree of influence when increasing the membrane thickness h on the range increase for the output pressure q is 200%/200% = 100%; that is, a 1% increase in the membrane thickness h can increase the maximum output pressure q by 1%.

3.5.2. Influence of Changing Young’s Modulus of Elasticity E on Cp Relationships

The design parameters in this section are a = 70 mm, h = 0.3 mm, v = 0.45, t = 0.1 mm, g = 50 mm, ε0 = 8.854 × 10−3 pF/mm, εr2 = 1.00053, εr1 = 2.5, and the Young’s modulus of elasticity E takes the values 3.05 MPa, 5 MPa and 8 MPa, respectively.
When the uniformly distributed normal load q takes different values, the numerical calculation results of the undetermined constants b0 and d0, maximum membrane deflection wm, maximum membrane stress σm, and capacitance C are listed in Table A3 for E = 3.05 MPa, in Table A6 for E = 5 MPa, and in Table A7 for E = 8 MPa. Figure 9 shows the effect of changing Young’s modulus of elasticity E on the Cq analytical relationships. As can be seen from Figure 9, the increase in Young’s modulus of elasticity E does not change the range of the input capacitance C but can increase the range of the output pressure q. The degree of influence when increasing Young’s modulus of elasticity E on the range increase for the output pressure q can be defined as a percentage of the two relative increments of the output pressure q and Young’s modulus of elasticity E. The relative increment of Young’s modulus of elasticity E is equal to (8 MPa − 3.05 MPa)/3.05 MPa = 162.30%, and from Table A3 and Table A7, the relative increment of the maximum output pressure q is equal to (42.623 KPa − 16.25 KPa)/16.25 KPa = 162.30%; so, the degree of influence when increasing the Young’s modulus of elasticity E on the range increase for the output pressure q is 162.30%/162.30% = 100%; that is, a 1% increase in the Young’s modulus of elasticity E can increase the maximum output pressure q by 1%.

3.5.3. Influence of Changing Poisson’s Ratio v on Cq Relationships

The design parameters in this section are a = 70 mm, h = 0.3 mm, E = 3.05 MPa, t = 0.1 mm, g = 50 mm, ε0 = 8.854 × 10−3 pF/mm, εr2 = 1.00053, εr1 = 2.5, and the Poisson’s ratio v takes the values 0.45, 0.3, and 0.15, respectively.
When the uniformly distributed normal load q takes different values, the numerical calculation results of the undetermined constants b0 and d0, maximum membrane deflection wm, maximum membrane stress σm, and capacitance C are listed in Table A3 for v = 0.45, in Table A8 for v = 0.3, and in Table A9 for v = 0.15. Figure 10 shows the effect of changing Poisson’s ratio v on the Cq analytical relationships. As can be seen from Figure 10, the increase in the Poisson’s ratio v does not change the range of the input capacitance C but can increase the range of the output pressure q. The degree of influence when increasing the Poisson’s ratio v on the range increase for the output pressure q can be defined as a percentage of the two relative increments of the output pressure q and Poisson’s ratio v. The relative increment of the Poisson’s ratio v is equal to (0.45 − 0.15)/0.15 = 200%, and from Table A3 and Table A9, the relative increment of the maximum output pressure q is equal to (16.25 KPa − 10.353 KPa)/10.353 KPa = 56.96%; so, the degree of influence when increasing the Poisson’s ratio v on the range increase for the output pressure q is 56.96%/200% = 28.48%; that is, a 1% increase in the Poisson’s ratio v can increase the maximum output pressure q by 0.2848%.

3.5.4. Influence of Changing Insulator Layer Thickness t on Cq Relationships

The design parameters in this section are a = 70 mm, h = 0.3 mm, E = 3.05 MPa, v = 0.45, g = 50 mm, ε0 = 8.854 × 10−3 pF/mm, εr2 = 1.00053, εr1 = 2.5, and the insulator layer thickness t takes the values 0.1 mm, 5 mm, and 10 mm, respectively.
When the uniformly distributed normal load q takes different values, the numerical calculation results of the undetermined constants b0 and d0, maximum membrane deflection wm, maximum membrane stress σm, and capacitance C are listed in Table A3 for t = 0.1 mm, in Table A10 for t = 5 mm, and in Table A11 for t = 10 mm. Figure 11 shows the effect of changing the insulator layer thickness t on the Cq analytical relationships. As can be seen from Figure 11, the decrease in the insulator layer thickness t does not change the range of the output pressure q but can increase the range of the input capacitance C. The degree of influence when decreasing the insulator layer thickness t on the range increase for the input capacitance C can be defined as a percentage of the two relative increments of the input capacitance C and insulator layer thickness t. The relative decrement of the insulator layer thickness t is equal to (0.1 mm − 10 mm)/10 mm = −99%, and from Table A3 and Table A11, the relative increment of the maximum input capacitance C is equal to (18.254 pF − 11.926 pF)/1.926 pF = 53.06%; so, the degree of influence when decreasing the insulator layer thickness t on the range increase for the input capacitance C is 53.06%/99% = 53.60%; that is, a 1% decrease in the insulator layer thickness t can increase the maximum input capacitance C by 0.536%.

3.5.5. Influence of Changing Circular Membrane Radius a on Cq Relationships

The design parameters in this section are h = 0.3 mm, E = 3.05 MPa, v = 0.45, t = 0.1 mm, g = 50 mm, ε0 = 8.854 × 10−3 pF/mm, εr2 = 1.00053, εr1 = 2.5, and the radius a of the circular membrane takes the values 70 mm, 80 mm, and 90 mm, respectively.
When the uniformly distributed normal load q takes different values, the numerical calculation results of the undetermined constants b0 and d0, maximum membrane deflection wm, maximum membrane stress σm, and capacitance C are listed in Table A3 for a = 70 mm, in Table A12 for a = 80 mm, and in Table A13 for a = 90 mm. Figure 12 shows the effect of changing the radius a of the circular membrane on the Cq analytical relationships. As can be seen from Figure 12, the increase in the radius a of the circular membrane can decrease the range of the output pressure q and increase the range of the input capacitance C. The degree of influence when increasing the radius a of the circular membrane on the range decrease for the output pressure q can be defined as a percentage of the two relative increments of the output pressure q and radius a of the circular membrane. The degree of influence when increasing the radius a of the circular membrane on the range increase for the input capacitance C can be defined as a percentage of the two relative increments of the input capacitance C and radius a of the circular membrane. The relative increment of the radius a of the circular membrane is equal to (90 mm − 70 mm)/70 mm = 28.57%, and from Table A3 and Table A13, the relative decrement of the maximum output pressure q is equal to (7.435 KPa − 16.25 KPa)/16.25 KPa = −54.25%, and the relative increment of the maximum input capacitance C is equal to (26.553 pF − 18.254 pF)/18.254 pF = 45.46%; so, the degree of influence when increasing the radius a of the circular membrane on the range decrease for the output pressure q is 54.25%/28.57% = 189.88%, and the degree of influence when increasing the radius a of the circular membrane on the range increase for the input capacitance C is 45.46%/28.57% = 159.12%; that is, a 1% increase in the radius a of the circular membrane can decrease the maximum output pressure q by 1.8988% and can increase the maximum input capacitance C by 1.5912%.

3.5.6. Influence of Changing Initially Parallel Gap g on C–q Relationships

The design parameters in this section are a = 70 mm, h = 0.3 mm, E = 3.05 MPa, v = 0.45, t = 0.1 mm, ε0 = 8.854 × 10−3 pF/mm, εr2 = 1.00053, εr1 = 2.5, and the initially parallel gap g takes the values 50 mm, 55 mm, and 60 mm, respectively.
When the uniformly distributed normal load q takes different values, the numerical calculation results of the undetermined constants b0 and d0, maximum membrane deflection wm, maximum membrane stress σm, and capacitance C are listed in Table A3 for g = 50 mm, in Table A14 for g = 55 mm, and in Table A15 for g = 60 mm. Figure 13 shows the effect of changing the initial parallel gap g on the Cq analytical relationships. As can be seen from Figure 13, the decrease in the initially parallel gap g does not change the range of the output pressure q but can increase the range of the input capacitance C. The degree of influence when decreasing the initially parallel gap g on the range increase for the input capacitance C can be defined as a percentage of the two relative increments of the input capacitance C and initially parallel gap g. The relative decrement of the initially parallel gap g is equal to (50 mm – 60 mm)/60 mm = −16.67%, and from Table A3 and Table A15, the relative increment of the maximum input capacitance C is equal to (18.254 pF − 6.255 pF)/6.255 pF = 191.83%; so, the degree of influence when decreasing the initially parallel gap g on the range increase for the input capacitance C is 191.83%/16.67% = 1150.75%; that is, a 1% decrease in the initially parallel gap g can increase the maximum input capacitance C by 11.5075%.

4. Concluding Remarks

In this paper, a theoretical study on the measurement of static gas pressure via a circular non-touch mode capacitive pressure sensor is presented for the first time. From this study, the following conclusions can be drawn.
The circular non-touch mode capacitive pressure sensor can be used for measuring both uniformly distributed transverse and uniformly distributed normal loads. However, the input–output analytical relationship between pressure and capacitance of the senor is different due to the different elastic behaviors of the movable electrode plate of the sensor under the transverse and normal loads. Therefore, such a difference in the input–output analytical relationship makes the existing theory for numerically designing and calibrating the circular non-touch mode capacitive pressure sensors used for measuring the uniformly distributed transverse loads inapplicable to the measurement of the uniformly distributed normal loads.
The improved analytical solution for the large deflection problem of circular membranes under uniformly distributed normal loads in Section 2.1 in this paper is suitable for applications with larger membrane deflections, in comparison with the two existing analytical solutions.
The input–output analytical relationship and the improved analytical solution, which are derived in Section 2 in this paper, can well meet the needs of the numerical design and calibration of the circular non-touch mode capacitive pressure sensors used for measuring static gas pressure (belonging to uniformly distributed normal loads).
The results of the investigation into the influence of changing the design parameters of the sensor on its capacitance–pressure (Cq) analytical relationship in Section 3.5 in this paper have demonstrated clearly the adjusting directions of changing the design parameters to increase or decrease the range of the capacitance and/or pressure, and the degree of influence of changing the design parameters on the Cq analytical relationship.
The theoretical study presented here provides theoretical support, technical guidance and demonstration, and convenience for application for the numerical design and calibration of circular non-touch mode capacitive pressure sensors used for measuring static gas pressure.

Author Contributions

Conceptualization, J.-Y.S.; methodology, J.W. and J.-Y.S.; validation, X.-T.H.; writing—original draft preparation, J.W.; writing—review and editing, J.W. and X.-T.H.; visualization, J.W.; funding acquisition, J.-Y.S. All authors have read and agreed to the published version of the manuscript.

Funding

This research was funded by the National Natural Science Foundation of China (Grant No. 11772072).

Institutional Review Board Statement

Not applicable.

Informed Consent Statement

Not applicable.

Data Availability Statement

Data are contained within the article.

Conflicts of Interest

The authors declare no conflicts of interest.

Appendix A

Table A1. The numerical calculation results of the undetermined constants b0 and d0, maximum membrane deflection wm, and capacitance C when the uniformly distributed normal load q takes different values, and a = 70 mm, h = 0.3 mm, t = 0.1 mm, E = 3.05 MPa, ν = 0.45, and g = 50 mm.
Table A1. The numerical calculation results of the undetermined constants b0 and d0, maximum membrane deflection wm, and capacitance C when the uniformly distributed normal load q takes different values, and a = 70 mm, h = 0.3 mm, t = 0.1 mm, E = 3.05 MPa, ν = 0.45, and g = 50 mm.
q/KPab0d0wm/mmC/pF
00002.724
0.50.0566310.20510214.3573.250
10.0951450.25697817.9883.447
20.1645610.32007622.4053.751
40.2941070.39815227.8714.274
60.4186270.45617731.9324.826
80.5403430.50719335.5045.499
100.6601010.55524138.8676.397
120.7783560.60201342.1417.726
140.8953970.64833745.38410.037
150.9535260.67147847.00312.128
161.0114220.69465548.62616.274
16.251.0258620.70045849.03218.254
Table A2. The numerical calculation results of the undetermined constants b0 and d0, maximum membrane deflection wm, and capacitance C when the uniformly distributed transverse load q takes different values, and a = 70 mm, h = 0.3 mm, t = 0.1 mm, E = 3.05 MPa, ν = 0.45, and g = 50 mm.
Table A2. The numerical calculation results of the undetermined constants b0 and d0, maximum membrane deflection wm, and capacitance C when the uniformly distributed transverse load q takes different values, and a = 70 mm, h = 0.3 mm, t = 0.1 mm, E = 3.05 MPa, ν = 0.45, and g = 50 mm.
q/KPab0d0wm/mmC/pF
00002.724
0.50.0530050.20708314.4963.244
10.0857770.26146718.3033.437
20.1404700.32988123.0923.735
40.2343630.41466429.0264.237
60.3197510.47281633.0974.719
80.4007310.51886736.3215.232
100.4787940.55825539.0785.822
120.5546960.59361041.5536.547
140.6288950.62639143.8477.511
150.6654560.64210744.9478.144
160.7017000.65748446.0248.946
16.250.7107150.66128346.2909.183
180.7733370.68746748.12311.642
190.8087720.70217149.15214.717
19.50.8264030.70946849.66318.254
Table A3. The numerical calculation results of the undetermined constants b0 and d0, maximum membrane deflection wm, maximum membrane stress σm, and capacitance C when the uniformly distributed normal load q takes different values, and a = 70 mm, h = 0.3 mm, t = 0.1 mm, E = 3.05 MPa, ν = 0.45, and g = 50 mm.
Table A3. The numerical calculation results of the undetermined constants b0 and d0, maximum membrane deflection wm, maximum membrane stress σm, and capacitance C when the uniformly distributed normal load q takes different values, and a = 70 mm, h = 0.3 mm, t = 0.1 mm, E = 3.05 MPa, ν = 0.45, and g = 50 mm.
q/KPab0d0wm/mmσm/MPaC/pF
000002.724
0.50.0566310.20510214.3570.1733.250
10.0951450.25697817.9880.2903.447
20.1645610.32007622.4050.5023.751
40.2941070.39815227.8710.8974.274
60.4186270.45617731.9321.2774.826
80.5403430.50719335.5041.6485.499
100.6601010.55524138.8672.0136.397
120.7783560.60201342.1412.3747.726
140.8953970.64833745.3842.73110.037
150.9535260.67147847.0032.90812.128
161.0114220.69465548.6263.08516.274
16.251.0258620.70045849.0323.12918.254
Table A4. The numerical calculation results of the undetermined constants b0 and d0, maximum membrane deflection wm, maximum membrane stress σm, and capacitance C when the uniformly distributed normal load q takes different values, and a = 70 mm, h = 0.6 mm, t = 0.1 mm, E = 3.05 MPa, ν = 0.45, and g = 50 mm.
Table A4. The numerical calculation results of the undetermined constants b0 and d0, maximum membrane deflection wm, maximum membrane stress σm, and capacitance C when the uniformly distributed normal load q takes different values, and a = 70 mm, h = 0.6 mm, t = 0.1 mm, E = 3.05 MPa, ν = 0.45, and g = 50 mm.
q/KPab0d0wm/mmσm/MPaC/pF
000002.724
0.50.0344070.16315811.4210.1053.116
10.0566310.20510214.3570.1733.250
20.0951450.25697817.9880.2903.447
40.1645610.32007622.4050.5023.751
60.2302410.36335025.4340.7024.016
80.2941070.39815227.8710.8974.274
100.3567990.42848129.9941.0884.540
120.4186270.45617731.9321.2774.826
140.4797690.48222233.7561.4635.142
160.5403430.50719335.5041.6485.499
180.6004330.53145337.2021.8315.911
200.6601010.55524138.8672.0136.397
220.7193960.57872240.5112.1946.987
240.7783560.60201342.1412.3747.726
260.8370140.62519743.7642.5538.691
280.8953970.64833745.3842.73110.037
300.9535260.67147847.0032.90812.128
32.51.0258620.70045849.0323.12918.254
Table A5. The numerical calculation results of the undetermined constants b0 and d0, maximum membrane deflection wm, maximum membrane stress σm, and capacitance C when the uniformly distributed normal load q takes different values, and a = 70 mm, h = 0.9 mm, t = 0.1 mm, E = 3.05 MPa, ν = 0.45, and g = 50 mm.
Table A5. The numerical calculation results of the undetermined constants b0 and d0, maximum membrane deflection wm, maximum membrane stress σm, and capacitance C when the uniformly distributed normal load q takes different values, and a = 70 mm, h = 0.9 mm, t = 0.1 mm, E = 3.05 MPa, ν = 0.45, and g = 50 mm.
q/KPab0d0wm/mmσm/MPaC/pF
000002.724
0.50.0258760.1426229.9840.0793.056
10.0422290.17945312.5620.1293.166
20.0700290.22535215.7750.2143.323
40.1189690.28171419.7200.3633.557
60.1645610.32007622.4050.5023.751
80.2086000.35017924.5130.6363.929
100.2516880.37562426.2940.7684.101
120.2941070.39815227.8710.8974.274
140.3360090.41873029.3111.0254.450
160.3774940.43794530.6561.1514.633
180.4186270.45617731.9321.2774.826
200.4594560.47368333.1581.4015.033
220.5000190.49064434.3451.5255.256
240.5403430.50719335.5041.6485.499
260.5804520.52342936.6401.7705.766
280.6203660.53942637.7601.8926.064
300.6601010.55524138.8672.0136.397
320.6996700.57092239.9652.1346.777
340.7390850.58650241.0552.2547.214
360.7783560.60201342.1412.3747.726
380.8174930.61747743.2232.4938.337
400.8565050.63291344.3042.6129.086
420.8953970.64833745.3842.73110.037
440.9341770.66376246.4632.84911.306
460.9728500.67919847.5442.96713.145
481.0114220.69465548.6263.08516.274
48.751.0258620.70045849.0323.12918.254
Table A6. The numerical calculation results of the undetermined constants b0 and d0, maximum membrane deflection wm, maximum membrane stress σm, and capacitance C when the uniformly distributed normal load q takes different values, and a = 70 mm, h = 0.3 mm, t = 0.1 mm, E = 5 MPa, ν = 0.45, and g = 50 mm.
Table A6. The numerical calculation results of the undetermined constants b0 and d0, maximum membrane deflection wm, maximum membrane stress σm, and capacitance C when the uniformly distributed normal load q takes different values, and a = 70 mm, h = 0.3 mm, t = 0.1 mm, E = 5 MPa, ν = 0.45, and g = 50 mm.
q/KPab0d0wm/mmσm/MPaC/pF
000002.724
0.50.0396300.17426012.1980.1983.149
10.0655570.21891015.3240.3283.299
20.1109730.27386619.1710.5553.521
40.1937530.34059123.8410.9693.870
60.2725460.38695527.0871.3634.186
80.3493260.42500629.7501.7474.507
100.4247700.45884432.1192.1244.856
120.4992100.49030934.3222.4965.251
140.5728470.52036436.4262.8645.713
160.6458160.54956538.4703.2296.273
180.7182130.57825540.4783.5916.974
200.7901110.60665642.4663.9517.897
220.8615670.63491944.4444.3089.197
240.9326280.66314546.4204.66311.247
261.0033300.69140848.3995.01715.429
26.641.0258850.70046949.0325.12918.258
Table A7. The numerical calculation results of the undetermined constants b0 and d0, maximum membrane deflection wm, maximum membrane stress σm, and capacitance C when the uniformly distributed normal load q takes different values, and a = 70 mm, h = 0.3 mm, t = 0.1 mm, E = 8 MPa, ν = 0.45, and g = 50 mm.
Table A7. The numerical calculation results of the undetermined constants b0 and d0, maximum membrane deflection wm, maximum membrane stress σm, and capacitance C when the uniformly distributed normal load q takes different values, and a = 70 mm, h = 0.3 mm, t = 0.1 mm, E = 8 MPa, ν = 0.45, and g = 50 mm.
q/KPab0d0wm/mmσm/MPaC/pF
000002.724
0.50.0284250.14912610.4390.2273.075
10.0465090.18759013.1310.3723.192
20.0774340.23542016.4790.6193.361
40.1322990.29394820.5761.0583.615
60.1836960.33379523.3661.4703.829
80.2334700.36524325.5671.8684.029
100.2822340.39204627.4432.2584.225
120.3302740.41599229.1192.6424.425
140.3777520.43806230.6643.0224.634
160.4247700.45884432.1193.3984.856
180.4713980.47871533.5103.7715.096
200.5176880.49792934.8554.1425.359
220.5636810.51666336.1664.5095.651
240.6094090.53504737.4534.8755.978
260.6548950.55317438.7225.2396.351
280.7001630.57111739.9785.6016.782
300.7452300.58893041.2255.9627.289
320.7901110.60665642.4666.3217.897
340.8348200.62432943.7036.6798.649
360.8793680.64197544.9387.0359.614
380.9237650.65961646.1737.39010.923
400.9680210.67726947.4097.74412.868
421.0121440.69494648.6468.09716.357
42.6231.0258630.70046349.0328.20718.254
Table A8. The numerical calculation results of the undetermined constants b0 and d0, maximum membrane deflection wm, maximum membrane stress σm, and capacitance C when the uniformly distributed normal load q takes different values, and a = 70 mm, h = 0.3 mm, t = 0.1 mm, E = 3.05 MPa, ν = 0.3, and g = 50 mm.
Table A8. The numerical calculation results of the undetermined constants b0 and d0, maximum membrane deflection wm, maximum membrane stress σm, and capacitance C when the uniformly distributed normal load q takes different values, and a = 70 mm, h = 0.3 mm, t = 0.1 mm, E = 3.05 MPa, ν = 0.3, and g = 50 mm.
q/KPab0d0wm/mmσm/MPaC/pF
000002.724
0.50.0543670.21949115.3640.1663.305
10.0917080.27493919.2460.283.530
20.1593300.34278823.9950.4863.887
40.2856310.42964930.0750.8714.554
60.4069050.49758334.8311.2415.354
80.5253540.55976739.1841.6026.496
100.6418420.62014043.4101.9588.442
120.7568370.68028347.6202.30813.272
12.6650.7949680.70045849.0322.42518.191
Table A9. The numerical calculation results of the undetermined constants b0 and d0, maximum membrane deflection wm, maximum membrane stress σm, and capacitance C when the uniformly distributed normal load q takes different values, and a = 70 mm, h = 0.3 mm, t = 0.1 mm, E = 3.05 MPa, ν = 0.15, and g = 50 mm.
Table A9. The numerical calculation results of the undetermined constants b0 and d0, maximum membrane deflection wm, maximum membrane stress σm, and capacitance C when the uniformly distributed normal load q takes different values, and a = 70 mm, h = 0.3 mm, t = 0.1 mm, E = 3.05 MPa, ν = 0.15, and g = 50 mm.
q/KPab0d0wm/mmσm/MPaC/pF
000002.724
0.50.0527330.23153416.2070.1613.353
10.0891730.29011720.3080.2723.605
20.1552810.36259225.3810.4744.018
40.2786570.45886032.1200.8504.859
60.3969690.53781637.6471.2116.025
80.5124410.61266642.8871.5638.110
100.6259630.68720648.1041.90914.428
10.3530.6458470.70046249.0321.97018.129
Table A10. The numerical calculation results of the undetermined constants b0 and d0, maximum membrane deflection wm, maximum membrane stress σm, and capacitance C when the uniformly distributed normal load q takes different values, and a = 70 mm, h = 0.3 mm, t = 5 mm, E = 3.05 MPa, ν = 0.45, and g = 50 mm.
Table A10. The numerical calculation results of the undetermined constants b0 and d0, maximum membrane deflection wm, maximum membrane stress σm, and capacitance C when the uniformly distributed normal load q takes different values, and a = 70 mm, h = 0.3 mm, t = 5 mm, E = 3.05 MPa, ν = 0.45, and g = 50 mm.
q/KPab0d0wm/mmσm/MPaC/pF
000002.524
0.50.0566310.20510214.3570.1733.105
10.0951450.25697817.9880.2903.284
20.1645610.32007622.4050.5023.559
40.2941070.39815227.8710.8974.026
60.4186270.45617731.9321.2774.513
80.5403430.50719335.5041.6485.096
100.6601010.55524138.8672.0135.858
120.7783560.60201342.1412.3746.953
140.8953970.64833745.3842.7318.770
161.0114220.69465548.6263.08513.187
16.251.0258620.70045849.0323.12914.457
Table A11. The numerical calculation results of the undetermined constants b0 and d0, maximum membrane deflection wm, maximum membrane stress σm, and capacitance C when the uniformly distributed normal load q takes different values, and a = 70 mm, h = 0.3 mm, t = 10 mm, E = 3.05 MPa, ν = 0.45, and g = 50 mm.
Table A11. The numerical calculation results of the undetermined constants b0 and d0, maximum membrane deflection wm, maximum membrane stress σm, and capacitance C when the uniformly distributed normal load q takes different values, and a = 70 mm, h = 0.3 mm, t = 10 mm, E = 3.05 MPa, ν = 0.45, and g = 50 mm.
q/KPab0d0wm/mmσm/MPaC/pF
000002.524
0.50.0566310.20510214.3570.1732.970
10.0951450.25697817.9880.2903.133
20.1645610.32007622.4050.5023.382
40.2941070.39815227.8710.8973.801
60.4186270.45617731.9321.2774.232
80.5403430.50719335.5041.6484.741
100.6601010.55524138.8672.0135.394
120.7783560.60201342.1412.3746.309
140.8953970.64833745.3842.7317.770
161.0114220.69465548.6263.08511.048
16.251.0258620.70045849.0323.12911.926
Table A12. The numerical calculation results of the undetermined constants b0 and d0, maximum membrane deflection wm, maximum membrane stress σm, and capacitance C when the uniformly distributed normal load q takes different values, and a = 80 mm, h = 0.3 mm, t = 0.1 mm, E = 3.05 MPa, ν = 0.45, and g = 50 mm.
Table A12. The numerical calculation results of the undetermined constants b0 and d0, maximum membrane deflection wm, maximum membrane stress σm, and capacitance C when the uniformly distributed normal load q takes different values, and a = 80 mm, h = 0.3 mm, t = 0.1 mm, E = 3.05 MPa, ν = 0.45, and g = 50 mm.
q/KPab0d0wm/mmσm/MPaC/pF
000003.558
0.50.0624680.21428217.1430.1914.426
10.1054740.26821621.4570.3224.778
20.1835780.33371426.6970.5605.351
40.3300510.41588533.2711.0076.461
60.4710710.47857838.2861.4377.877
80.6089810.53487642.7901.85710.131
100.7447030.58872247.0982.27115.177
10.9110.8059110.61289949.0322.45822.243
Table A13. The numerical calculation results of the undetermined constants b0 and d0, maximum membrane deflection wm, maximum membrane stress σm, and capacitance C when the uniformly distributed normal load q takes different values, and a = 90 mm, h = 0.3 mm, t = 0.1 mm, E = 3.05 MPa, ν = 0.45, and g = 50 mm.
Table A13. The numerical calculation results of the undetermined constants b0 and d0, maximum membrane deflection wm, maximum membrane stress σm, and capacitance C when the uniformly distributed normal load q takes different values, and a = 90 mm, h = 0.3 mm, t = 0.1 mm, E = 3.05 MPa, ν = 0.45, and g = 50 mm.
q/KPab0d0wm/mmσm/MPaC/pF
000004.503
0.50.0681590.22269420.0420.2085.870
10.1156200.27847825.0630.3536.476
20.2023760.34622031.1600.6177.543
40.3656800.43256938.9311.11510.021
60.5230890.50014445.0131.59514.669
70.6004330.53145347.8311.83120.413
7.4350.6338530.54480449.0321.93326.553
Table A14. The numerical calculation results of the undetermined constants b0 and d0, maximum membrane deflection wm, maximum membrane stress σm, and capacitance C when the uniformly distributed normal load q takes different values, and a = 70 mm, h = 0.3 mm, t = 0.1 mm, E = 3.05 MPa, ν = 0.45, and g = 55 mm.
Table A14. The numerical calculation results of the undetermined constants b0 and d0, maximum membrane deflection wm, maximum membrane stress σm, and capacitance C when the uniformly distributed normal load q takes different values, and a = 70 mm, h = 0.3 mm, t = 0.1 mm, E = 3.05 MPa, ν = 0.45, and g = 55 mm.
q/KPab0d0wm/mmσm/MPaC/pF
000002.477
0.50.0566310.20510214.3570.1732.901
10.0951450.25697817.9880.2903.055
20.1645610.32007622.4050.5023.288
40.2941070.39815227.8710.8973.673
60.4186270.45617731.9321.2774.061
80.5403430.50719335.5041.6484.508
100.6601010.55524138.8672.0135.061
120.7783560.60201342.1412.3745.790
140.8953970.64833745.3842.7316.823
161.0114220.69465548.6263.0858.466
16.251.0258620.70045849.0323.1298.748
Table A15. The numerical calculation results of the undetermined constants b0 and d0, maximum membrane deflection wm, maximum membrane stress σm, and capacitance C when the uniformly distributed normal load q takes different values, and a = 70 mm, h = 0.3 mm, t = 0.1 mm, E = 3.05 MPa, ν = 0.45, and g = 60 mm.
Table A15. The numerical calculation results of the undetermined constants b0 and d0, maximum membrane deflection wm, maximum membrane stress σm, and capacitance C when the uniformly distributed normal load q takes different values, and a = 70 mm, h = 0.3 mm, t = 0.1 mm, E = 3.05 MPa, ν = 0.45, and g = 60 mm.
q/KPab0d0wm/mmσm/MPaC/pF
000002.270
0.50.0566310.20510214.3570.1732.621
10.0951450.25697817.9880.2902.744
20.1645610.32007622.4050.5022.928
40.2941070.39815227.8710.8973.224
60.4186270.45617731.9321.2773.513
80.5403430.50719335.5041.6483.833
100.6601010.55524138.8672.0134.212
120.7783560.60201342.1412.3744.681
140.8953970.64833745.3842.7315.290
161.0114220.69465548.6263.0856.127
16.251.0258620.70045849.0323.1296.255

Appendix B

The following are the recursion formulas for the power series coefficients bi, ci, and di in Equations (28), (29) and (30), where Q is a dimensionless variable (see Equation (21)), v is the Poisson’s ratio, the coefficients bi, ci, and di are constantly equal to zero when i = 1, 3, 5,…, and c0b0.
b 2 = Q 2 ( 4 v 2 b 0 2 + 8 v b 0 2 4 v b 0 12 b 0 2 12 b 0 1 ) 64 b 0 2 ( v b 0 b 0 1 ) ,
b 4 = 1 96 b 0 2 ( v b 0 b 0 1 ) ( Q 3 v 2 b 0 d 2 8 Q v 2 b 0 2 b 2 d 2 + 4 Q 3 v b 0 d 2 32 Q v b 0 2 b 2 d 2 + 18 v 2 b 0 2 b 2 2 2 v 2 b 0 2 c 2 2 Q 3 v d 2 5 Q 3 b 0 d 2 + 8 Q v b 0 b 2 d 2 + 40 Q b 0 2 b 2 d 2 32 v b 0 2 b 2 c 2 5 Q 3 d 2 + 2 Q 2 d 2 2 + 40 Q b 0 b 2 d 2 2 b 0 2 b 2 2 + 18 b 0 2 c 2 2 16 b 0 b 2 d 2 2 ) ,
b 6 = 1 48 b 0 2 d 2 ( v b 0 b 0 1 ) ( Q 3 v 2 b 0 d 2 d 4 4 Q v 2 b 0 3 d 4 2 8 Q v 2 b 0 2 b 2 d 2 d 4 2 Q v 2 b 0 2 b 4 d 2 2 Q v 2 b 0 b 2 2 d 2 2 + 28 Q b 0 3 d 4 2 + 56 Q b 0 2 b 2 d 2 d 4 + 14 Q b 0 2 b 4 d 2 2 + 7 Q b 0 b 2 2 d 2 2 14 v b 0 2 b 2 c 4 d 2 14 v b 0 2 b 4 c 2 d 2 7 Q 3 d 2 d 4 v 2 b 0 2 c 2 c 4 d 2 Q 3 v d 2 d 4 7 Q 3 b 0 d 2 d 4 + 4 Q v b 0 2 d 4 2 + 8 Q v b 0 b 2 d 2 d 4 + 2 Q v b 0 b 4 d 2 2 + Q v b 2 2 d 2 2 + 6 Q 3 v b 0 d 2 d 4 24 Q v b 0 3 d 4 2 48 Q v b 0 2 b 2 d 2 d 4 12 Q v b 0 2 b 4 d 2 2 6 Q v b 0 b 2 2 d 2 2 + 15 v 2 b 0 2 b 2 b 4 d 2 + 2 Q 2 d 2 2 d 4 + 28 Q b 0 2 d 4 2 + 56 Q b 0 b 2 d 2 d 4 + 14 Q b 0 b 4 d 2 2 + 7 Q b 2 2 d 2 2 b 0 2 b 2 b 4 d 2 + 15 b 0 2 c 2 c 4 d 2 16 b 0 b 2 d 2 2 d 4 4 b 0 b 4 d 2 3 2 b 2 2 d 2 3 ) ,
b 8 = 1 160 b 0 2 d 2 ( v b 0 b 0 1 ) ( 3 Q 3 v 2 b 0 d 2 d 6 + 2 Q 3 v 2 b 0 d 4 2 24 Q v 2 b 0 3 d 4 d 6 24 Q v 2 b 0 2 b 2 d 2 d 6 + 25 v 2 b 0 2 b 4 2 d 2 2 v 2 b 0 2 c 2 c 6 d 2 v 2 b 0 2 c 4 2 d 2 3 Q 3 v d 2 d 6 2 Q 3 v d 4 2 27 Q 3 b 0 d 2 d 6 18 Q 3 b 0 d 4 2 + 72 Q b 2 2 d 2 d 4 + 36 Q b 2 b 4 d 2 2 2 b 0 2 b 2 b 6 d 2 b 0 2 b 4 2 d 2 + 42 b 0 2 c 2 c 6 d 2 + 25 b 0 2 c 4 2 d 2 48 b 0 b 2 d 2 2 d 6 128 Q v b 0 2 b 4 d 2 d 4 32 Q v b 0 2 b 6 d 2 2 64 Q v b 0 b 2 2 d 2 d 4 32 Q v b 0 b 2 b 4 d 2 2 + 42 v 2 b 0 2 b 2 b 6 d 2 16 Q v 2 b 0 2 b 2 d 4 2 16 Q v 2 b 0 2 b 4 d 2 d 4 4 Q v 2 b 0 2 b 6 d 2 2 8 Q v 2 b 0 b 2 2 d 2 d 4 4 Q v 2 b 0 b 2 b 4 d 2 2 + 24 Q 3 v b 0 d 2 d 6 + 16 Q 3 v b 0 d 4 2 192 Q v b 0 3 d 4 d 6 192 Q v b 0 2 b 2 d 2 d 6 128 Q v b 0 2 b 2 d 4 2 + 216 Q b 0 2 d 4 d 6 + 216 Q b 0 b 2 d 2 d 6 + 144 Q b 0 b 2 d 4 2 + 144 Q b 0 b 4 d 2 d 4 + 36 Q b 0 b 6 d 2 2 + 24 Q v b 0 2 d 4 d 6 + 24 Q v b 0 b 2 d 2 d 6 + 16 Q v b 0 b 2 d 4 2 + 16 Q v b 0 b 4 d 2 d 4 + 4 Q v b 0 b 6 d 2 2 + 144 Q b 0 2 b 4 d 2 d 4 + 36 Q b 0 2 b 6 d 2 2 + 72 Q b 0 b 2 2 d 2 d 4 + 36 Q b 0 b 2 b 4 d 2 2 40 v b 0 2 b 2 c 6 d 2 48 v b 0 2 b 4 c 4 d 2 40 v b 0 2 b 6 c 2 d 2 27 Q 3 d 2 d 6 18 Q 3 d 4 2 + 6 Q 2 d 2 2 d 6 + 4 Q 2 d 2 d 4 2 + 8 Q v b 2 2 d 2 d 4 + 4 Q v b 2 b 4 d 2 2 + 216 Q b 0 3 d 4 d 6 + 216 Q b 0 2 b 2 d 2 d 6 + 144 Q b 0 2 b 2 d 4 2 32 b 0 b 2 d 2 d 4 2 32 b 0 b 4 d 2 2 d 4 8 b 0 b 6 d 2 3 16 b 2 2 d 2 2 d 4 8 b 2 b 4 d 2 3 ) ,
b 10 = 1 120 b 0 2 d 2 ( v b 0 b 0 1 ) ( 2 Q 3 v 2 b 0 d 2 d 8 + 3 Q 3 v 2 b 0 d 4 d 6 16 Q v 2 b 0 3 d 4 d 8 9 Q v 2 b 0 3 d 6 2 160 Q v b 0 2 b 2 d 2 d 8 240 Q v b 0 2 b 2 d 4 d 6 120 Q v b 0 2 b 4 d 2 d 6 80 Q v b 0 2 b 4 d 4 2 80 Q v b 0 2 b 6 d 2 d 4 16 Q v 2 b 0 2 b 2 d 2 d 8 24 Q v 2 b 0 2 b 2 d 4 d 6 12 Q v 2 b 0 2 b 4 d 2 d 6 8 Q v 2 b 0 2 b 4 d 4 2 8 Q v 2 b 0 2 b 6 d 2 d 4 10 Q v b 0 b 4 2 d 2 2 + 27 v 2 b 0 2 b 2 b 8 d 2 + 35 v 2 b 0 2 b 4 b 6 d 2 v 2 b 0 2 c 2 c 8 d 2 v 2 b 0 2 c 4 c 6 d 2 2 Q 3 v d 2 d 8 3 Q 3 v d 4 d 6 22 Q 3 b 0 d 2 d 8 33 Q 3 b 0 d 4 d 6 + 16 Q v b 0 2 d 4 d 8 + 9 Q v b 0 2 d 6 2 + 16 Q v b 0 b 2 d 2 d 8 + 88 Q b 0 b 6 d 2 d 4 + 22 Q b 0 b 8 d 2 2 + 66 Q b 2 2 d 2 d 6 + 44 Q b 2 2 d 4 2 + 88 Q b 2 b 4 d 2 d 4 + 22 Q b 2 b 6 d 2 2 20 Q v b 0 2 b 8 d 2 2 60 Q v b 0 b 2 2 d 2 d 6 40 Q v b 0 b 2 2 d 4 2 80 Q v b 0 b 2 b 4 d 2 d 4 20 Q v b 0 b 2 b 6 d 2 2 2 Q v 2 b 0 2 b 8 d 2 2 6 Q v 2 b 0 b 2 2 d 2 d 6 4 Q v 2 b 0 b 2 2 d 4 2 8 Q v 2 b 0 b 2 b 4 d 2 d 4 2 Q v 2 b 0 b 2 b 6 d 2 2 26 v b 0 2 b 8 c 2 d 2 22 Q 3 d 2 d 8 33 Q 3 d 4 d 6 + 4 Q 2 d 2 2 d 8 + 6 Q 2 d 2 d 4 d 6 + 176 Q b 0 2 d 4 d 8 + 6 Q v b 2 2 d 2 d 6 + 4 Q v b 2 2 d 4 2 + 8 Q v b 2 b 4 d 2 d 4 + 2 Q v b 2 b 6 d 2 2 + Q v b 4 2 d 2 2 + 176 Q b 0 3 d 4 d 8 48 b 0 b 2 d 2 d 4 d 6 24 b 0 b 4 d 2 2 d 6 16 b 0 b 4 d 2 d 4 2 16 b 0 b 6 d 2 2 d 4 4 b 0 b 8 d 2 3 12 b 2 2 d 2 2 d 6 + 24 Q v b 0 b 2 d 4 d 6 + 12 Q v b 0 b 4 d 2 d 6 + 8 Q v b 0 b 4 d 4 2 + 8 Q v b 0 b 6 d 2 d 4 + 2 Q v b 0 b 8 d 2 2 + 99 Q b 0 3 d 6 2 + 176 Q b 0 2 b 2 d 2 d 8 + 264 Q b 0 2 b 2 d 4 d 6 + 132 Q b 0 2 b 4 d 2 d 6 + 88 Q b 0 2 b 4 d 4 2 + 88 Q b 0 2 b 6 d 2 d 4 + 22 Q b 0 2 b 8 d 2 2 + 66 Q b 0 b 2 2 d 2 d 6 + 44 Q b 0 b 2 2 d 4 2 + 88 Q b 0 b 2 b 4 d 2 d 4 + 99 Q b 0 2 d 6 2 + 176 Q b 0 b 2 d 2 d 8 + 264 Q b 0 b 2 d 4 d 6 + 132 Q b 0 b 4 d 2 d 6 + 88 Q b 0 b 4 d 4 2 + 11 Q b 4 2 d 2 2 b 0 2 b 2 b 8 d 2 b 0 2 b 4 b 6 d 2 + 27 b 0 2 c 2 c 8 d 2 + 35 b 0 2 c 4 c 6 d 2 32 b 0 b 2 d 2 2 d 8 Q v 2 b 0 b 4 2 d 2 2 + 20 Q 3 v b 0 d 2 d 8 + 30 Q 3 v b 0 d 4 d 6 160 Q v b 0 3 d 4 d 8 90 Q v b 0 3 d 6 2 + 22 Q b 0 b 2 b 6 d 2 2 + 11 Q b 0 b 4 2 d 2 2 26 v b 0 2 b 2 c 8 d 2 34 v b 0 2 b 4 c 6 d 2 34 v b 0 2 b 6 c 4 d 2 8 b 2 2 d 2 d 4 2 16 b 2 b 4 d 2 2 d 4 4 b 2 b 6 d 2 3 2 b 4 2 d 2 3 ) ,
b 12 = 1 672 b 0 2 d 2 ( v b 0 b 0 1 ) ( 10 Q 3 v 2 b 0 d 2 d 10 + 16 Q 3 v 2 b 0 d 4 d 8 + 9 Q 3 v 2 b 0 d 6 2 80 Q v 2 b 0 3 d 4 d 10 1536 Q v b 0 2 b 2 d 4 d 8 864 Q v b 0 2 b 2 d 6 2 768 Q v b 0 2 b 4 d 2 d 8 1152 Q v b 0 2 b 4 d 4 d 6 576 Q v b 0 2 b 6 d 2 d 6 32 Q v 2 b 0 b 2 b 6 d 2 d 4 8 Q v 2 b 0 b 2 b 8 d 2 2 16 Q v 2 b 0 b 4 2 d 2 d 4 8 Q v 2 b 0 b 4 b 6 d 2 2 + 120 Q 3 v b 0 d 2 d 10 96 Q v 2 b 0 3 d 6 d 8 80 Q v 2 b 0 2 b 2 d 2 d 10 128 Q v 2 b 0 2 b 2 d 4 d 8 72 Q v 2 b 0 2 b 2 d 6 2 64 Q v 2 b 0 2 b 4 d 2 d 8 384 Q v b 0 2 b 6 d 4 2 384 Q v b 0 2 b 8 d 2 d 4 96 Q v b 0 2 b 10 d 2 2 384 Q v b 0 b 2 2 d 2 d 8 576 Q v b 0 b 2 2 d 4 d 6 128 b 0 b 4 d 2 2 d 8 192 b 0 b 4 d 2 d 4 d 6 96 b 0 b 6 d 2 2 d 6 64 b 0 b 6 d 2 d 4 2 64 b 0 b 8 d 2 2 d 4 16 b 0 b 10 d 2 3 176 v b 0 2 b 8 c 4 d 2 128 v b 0 2 b 10 c 2 d 2 130 Q 3 d 2 d 10 208 Q 3 d 4 d 8 117 Q 3 d 6 2 + 20 Q 2 d 2 2 d 10 + 1664 Q b 0 2 b 2 d 4 d 8 + 936 Q b 0 2 b 2 d 6 2 + 832 Q b 0 2 b 4 d 2 d 8 + 1248 Q b 0 2 b 4 d 4 d 6 + 624 Q b 0 2 b 6 d 2 d 6 96 Q v 2 b 0 2 b 4 d 4 d 6 48 Q v 2 b 0 2 b 6 d 2 d 6 32 Q v 2 b 0 2 b 6 d 4 2 32 Q v 2 b 0 2 b 8 d 2 d 4 8 Q v 2 b 0 2 b 10 d 2 2 + 192 Q 3 v b 0 d 4 d 8 + 108 Q 3 v b 0 d 6 2 960 Q v b 0 3 d 4 d 10 1152 Q v b 0 3 d 6 d 8 960 Q v b 0 2 b 2 d 2 d 10 + 80 Q v b 0 b 2 d 2 d 10 + 128 Q v b 0 b 2 d 4 d 8 + 72 Q v b 0 b 2 d 6 2 + 64 Q v b 0 b 4 d 2 d 8 + 96 Q v b 0 b 4 d 4 d 6 192 Q v b 0 b 4 2 d 2 d 4 96 Q v b 0 b 4 b 6 d 2 2 + 132 v 2 b 0 2 b 2 b 10 d 2 + 180 v 2 b 0 2 b 4 b 8 d 2 + 98 v 2 b 0 2 b 6 2 d 2 + 208 Q b 0 b 4 2 d 2 d 4 + 104 Q b 0 b 4 b 6 d 2 2 128 v b 0 2 b 2 c 10 d 2 176 v b 0 2 b 4 c 8 d 2 192 v b 0 2 b 6 c 6 d 2 + 416 Q b 0 2 b 6 d 4 2 + 416 Q b 0 2 b 8 d 2 d 4 + 104 Q b 0 2 b 10 d 2 2 + 416 Q b 0 b 2 2 d 2 d 8 + 624 Q b 0 b 2 2 d 4 d 6 + 208 Q b 4 2 d 2 d 4 + 104 Q b 4 b 6 d 2 2 4 b 0 2 b 2 b 10 d 2 4 b 0 2 b 4 b 8 d 2 2 b 0 2 b 6 2 d 2 + 132 b 0 2 c 2 c 10 d 2 + 16 Q v b 4 2 d 2 d 4 + 8 Q v b 4 b 6 d 2 2 + 1040 Q b 0 3 d 4 d 10 + 1248 Q b 0 3 d 6 d 8 + 1040 Q b 0 2 b 2 d 2 d 10 4 v 2 b 0 2 c 2 c 10 d 2 4 v 2 b 0 2 c 4 c 8 d 2 2 v 2 b 0 2 c 6 2 d 2 10 Q 3 v d 2 d 10 16 Q 3 v d 4 d 8 9 Q 3 v d 6 2 + 32 Q 2 d 2 d 4 d 8 + 18 Q 2 d 2 d 6 2 + 1040 Q b 0 2 d 4 d 10 + 1248 Q b 0 2 d 6 d 8 + 1040 Q b 0 b 2 d 2 d 10 64 b 2 2 d 2 2 d 8 96 b 2 2 d 2 d 4 d 6 96 b 2 b 4 d 2 2 d 6 64 b 2 b 4 d 2 d 4 2 64 b 2 b 6 d 2 2 d 4 16 b 2 b 8 d 2 3 + 624 Q b 0 b 6 d 2 d 6 + 416 Q b 0 b 6 d 4 2 + 416 Q b 0 b 8 d 2 d 4 + 104 Q b 0 b 10 d 2 2 + 416 Q b 2 2 d 2 d 8 + 624 Q b 2 2 d 4 d 6 + 624 Q b 2 b 4 d 2 d 6 + 416 Q b 2 b 4 d 4 2 + 416 Q b 2 b 6 d 2 d 4 + 104 Q b 2 b 8 d 2 2 + 48 Q v b 0 b 6 d 2 d 6 + 32 Q v b 0 b 6 d 4 2 + 32 Q v b 0 b 8 d 2 d 4 + 8 Q v b 0 b 10 d 2 2 + 32 Q v b 2 2 d 2 d 8 + 48 Q v b 2 2 d 4 d 6 + 48 Q v b 2 b 4 d 2 d 6 + 32 Q v b 2 b 4 d 4 2 + 32 Q v b 2 b 6 d 2 d 4 + 8 Q v b 2 b 8 d 2 2 130 Q 3 b 0 d 2 d 10 208 Q 3 b 0 d 4 d 8 117 Q 3 b 0 d 6 2 + 80 Q v b 0 2 d 4 d 10 + 96 Q v b 0 2 d 6 d 8 576 Q v b 0 b 2 b 4 d 2 d 6 384 Q v b 0 b 2 b 4 d 4 2 384 Q v b 0 b 2 b 6 d 2 d 4 96 Q v b 0 b 2 b 8 d 2 2 + 180 b 0 2 c 4 c 8 d 2 + 98 b 0 2 c 6 2 d 2 160 b 0 b 2 d 2 2 d 10 256 b 0 b 2 d 2 d 4 d 8 144 b 0 b 2 d 2 d 6 2 32 Q v 2 b 0 b 2 2 d 2 d 8 48 Q v 2 b 0 b 2 2 d 4 d 6 48 Q v 2 b 0 b 2 b 4 d 2 d 6 32 Q v 2 b 0 b 2 b 4 d 4 2 + 624 Q b 0 b 2 b 4 d 2 d 6 + 416 Q b 0 b 2 b 4 d 4 2 + 416 Q b 0 b 2 b 6 d 2 d 4 + 104 Q b 0 b 2 b 8 d 2 2 + 1664 Q b 0 b 2 d 4 d 8 + 936 Q b 0 b 2 d 6 2 + 832 Q b 0 b 4 d 2 d 8 + 1248 Q b 0 b 4 d 4 d 6 32 b 4 2 d 2 2 d 4 16 b 4 b 6 d 2 3 ) ,
c 2 = Q 2 ( 12 v 2 b 0 2 8 v b 0 2 12 v b 0 4 b 0 2 4 b 0 3 ) 64 b 0 2 ( v b 0 b 0 1 ) ,
c 4 = 1 96 b 0 2 ( v b 0 b 0 1 ) ( 5 Q 3 v 2 b 0 d 2 40 Q v 2 b 0 2 b 2 d 2 4 Q 3 v b 0 d 2 + 32 Q v b 0 2 b 2 d 2 + 90 v 2 b 0 2 b 2 2 10 v 2 b 0 2 c 2 2 5 Q 3 v d 2 Q 3 b 0 d 2 + 40 Q v b 0 b 2 d 2 + 8 Q b 0 2 b 2 d 2 160 v b 0 2 b 2 c 2 Q 3 d 2 + 10 Q 2 d 2 2 + 8 Q b 0 b 2 d 2 10 b 0 2 b 2 2 + 90 b 0 2 c 2 2 80 b 0 b 2 d 2 2 ) ,
c 6 = 1 48 b 0 2 d 2 ( v b 0 b 0 1 ) ( 7 Q 3 v 2 b 0 d 2 d 4 28 Q v 2 b 0 3 d 4 2 56 Q v 2 b 0 2 b 2 d 2 d 4 14 Q v 2 b 0 2 b 4 d 2 2 7 Q v 2 b 0 b 2 2 d 2 2 6 Q 3 v b 0 d 2 d 4 + 24 Q v b 0 3 d 4 2 + 48 Q v b 0 2 b 2 d 2 d 4 + 12 Q v b 0 2 b 4 d 2 2 + 6 Q v b 0 b 2 2 d 2 2 + 105 v 2 b 0 2 b 2 b 4 d 2 7 v 2 b 0 2 c 2 c 4 d 2 7 Q 3 v d 2 d 4 Q 3 b 0 d 2 d 4 + 28 Q v b 0 2 d 4 2 + 56 Q v b 0 b 2 d 2 d 4 + 2 Q b 0 b 4 d 2 2 + Q b 2 2 d 2 2 7 b 0 2 b 2 b 4 d 2 + 105 b 0 2 c 2 c 4 d 2 112 b 0 b 2 d 2 2 d 4 28 b 0 b 4 d 2 3 14 b 2 2 d 2 3 98 v b 0 2 b 2 c 4 d 2 98 v b 0 2 b 4 c 2 d 2 Q 3 d 2 d 4 + 14 Q 2 d 2 2 d 4 + 4 Q b 0 2 d 4 2 + 8 Q b 0 b 2 d 2 d 4 + 14 Q v b 0 b 4 d 2 2 + 7 Q v b 2 2 d 2 2 + 4 Q b 0 3 d 4 2 + 8 Q b 0 2 b 2 d 2 d 4 + 2 Q b 0 2 b 4 d 2 2 + Q b 0 b 2 2 d 2 2 ) ,
c 8 = 1 160 b 0 2 d 2 ( v b 0 b 0 1 ) ( 27 Q 3 v 2 b 0 d 2 d 6 + 18 Q 3 v 2 b 0 d 4 2 216 Q v 2 b 0 3 d 4 d 6 216 Q v 2 b 0 2 b 2 d 2 d 6 + 225 v 2 b 0 2 b 4 2 d 2 18 v 2 b 0 2 c 2 c 6 d 2 9 v 2 b 0 2 c 4 2 d 2 27 Q 3 v d 2 d 6 18 Q 3 v d 4 2 3 Q 3 b 0 d 2 d 6 2 Q 3 b 0 d 4 2 24 Q 3 v b 0 d 2 d 6 16 Q 3 v b 0 d 4 2 + 192 Q v b 0 3 d 4 d 6 + 192 Q v b 0 2 b 2 d 2 d 6 + 128 Q v b 0 2 b 2 d 4 2 72 b 2 b 4 d 2 3 + 16 Q b 0 b 4 d 2 d 4 + 4 Q b 0 b 6 d 2 2 + 8 Q b 2 2 d 2 d 4 + 4 Q b 2 b 4 d 2 2 18 b 0 2 b 2 b 6 d 2 9 b 0 2 b 4 2 d 2 + 378 b 0 2 c 2 c 6 d 2 + 4 Q b 0 2 b 6 d 2 2 + 8 Q b 0 b 2 2 d 2 d 4 + 4 Q b 0 b 2 b 4 d 2 2 360 v b 0 2 b 2 c 6 d 2 432 v b 0 2 b 4 c 4 d 2 360 v b 0 2 b 6 c 2 d 2 3 Q 3 d 2 d 6 2 Q 3 d 4 2 + 54 Q 2 d 2 2 d 6 + 36 Q 2 d 2 d 4 2 + 24 Q b 0 2 d 4 d 6 + 24 Q b 0 b 2 d 2 d 6 + 16 Q b 0 b 2 d 4 2 144 Q v 2 b 0 2 b 2 d 4 2 144 Q v 2 b 0 2 b 4 d 2 d 4 36 Q v 2 b 0 2 b 6 d 2 2 72 Q v 2 b 0 b 2 2 d 2 d 4 36 Q v 2 b 0 b 2 b 4 d 2 2 + 72 Q v b 2 2 d 2 d 4 + 36 Q v b 2 b 4 d 2 2 + 24 Q b 0 3 d 4 d 6 + 24 Q b 0 2 b 2 d 2 d 6 + 16 Q b 0 2 b 2 d 4 2 + 16 Q b 0 2 b 4 d 2 d 4 + 128 Q v b 0 2 b 4 d 2 d 4 + 32 Q v b 0 2 b 6 d 2 2 + 64 Q v b 0 b 2 2 d 2 d 4 + 32 Q v b 0 b 2 b 4 d 2 2 + 378 v 2 b 0 2 b 2 b 6 d 2 + 216 Q v b 0 2 d 4 d 6 + 216 Q v b 0 b 2 d 2 d 6 + 144 Q v b 0 b 2 d 4 2 + 144 Q v b 0 b 4 d 2 d 4 + 36 Q v b 0 b 6 d 2 2 + 225 b 0 2 c 4 2 d 2 432 b 0 b 2 d 2 2 d 6 288 b 0 b 2 d 2 d 4 2 288 b 0 b 4 d 2 2 d 4 72 b 0 b 6 d 2 3 144 b 2 2 d 2 2 d 4 ) ,
c 10 = 1 120 b 0 2 d 2 ( v b 0 b 0 1 ) ( 22 Q 3 v 2 b 0 d 2 d 8 + 33 Q 3 v 2 b 0 d 4 d 6 176 Q v 2 b 0 3 d 4 d 8 99 Q v 2 b 0 3 d 6 2 + 385 b 0 2 c 4 c 6 d 2 352 b 0 b 2 d 2 2 d 8 528 b 0 b 2 d 2 d 4 d 6 264 b 0 b 4 d 2 2 d 6 176 b 0 b 4 d 2 d 4 2 176 b 0 b 6 d 2 2 d 4 176 Q v 2 b 0 2 b 2 d 2 d 8 264 Q v 2 b 0 2 b 2 d 4 d 6 132 Q v 2 b 0 2 b 4 d 2 d 6 88 Q v 2 b 0 2 b 4 d 4 2 88 Q v 2 b 0 2 b 6 d 2 d 4 22 Q v 2 b 0 2 b 8 d 2 2 66 Q v 2 b 0 b 2 2 d 2 d 6 44 Q v 2 b 0 b 2 2 d 4 2 88 Q v 2 b 0 b 2 b 4 d 2 d 4 22 Q v 2 b 0 b 2 b 6 d 2 2 + 4 Q b 2 2 d 4 2 + 8 Q b 2 b 4 d 2 d 4 + 2 Q b 2 b 6 d 2 2 + Q b 4 2 d 2 2 11 b 0 2 b 2 b 8 d 2 11 b 0 2 b 4 b 6 d 2 + 297 b 0 2 c 2 c 8 d 2 + 22 Q v b 0 b 8 d 2 2 + 66 Q v b 2 2 d 2 d 6 + 44 Q v b 2 2 d 4 2 + 88 Q v b 2 b 4 d 2 d 4 + 22 Q v b 2 b 6 d 2 2 + 11 Q v b 4 2 d 2 2 + 160 Q v b 0 2 b 2 d 2 d 8 + 240 Q v b 0 2 b 2 d 4 d 6 + 120 Q v b 0 2 b 4 d 2 d 6 + 80 Q v b 0 2 b 4 d 4 2 + 80 Q v b 0 2 b 6 d 2 d 4 + Q b 0 b 4 2 d 2 2 286 v b 0 2 b 2 c 8 d 2 374 v b 0 2 b 4 c 6 d 2 374 v b 0 2 b 6 c 4 d 2 286 v b 0 2 b 8 c 2 d 2 2 Q 3 d 2 d 8 + 176 Q v b 0 b 2 d 2 d 8 + 264 Q v b 0 b 2 d 4 d 6 + 132 Q v b 0 b 4 d 2 d 6 + 88 Q v b 0 b 4 d 4 2 + 88 Q v b 0 b 6 d 2 d 4 + 8 Q b 0 2 b 6 d 2 d 4 + 2 Q b 0 2 b 8 d 2 2 + 6 Q b 0 b 2 2 d 2 d 6 + 4 Q b 0 b 2 2 d 4 2 + 8 Q b 0 b 2 b 4 d 2 d 4 + 2 Q b 0 b 2 b 6 d 2 2 + 16 Q b 0 3 d 4 d 8 + 9 Q b 0 3 d 6 2 + 16 Q b 0 2 b 2 d 2 d 8 + 24 Q b 0 2 b 2 d 4 d 6 + 12 Q b 0 2 b 4 d 2 d 6 + 8 Q b 0 2 b 4 d 4 2 22 Q 3 v d 2 d 8 33 Q 3 v d 4 d 6 2 Q 3 b 0 d 2 d 8 3 Q 3 b 0 d 4 d 6 + 176 Q v b 0 2 d 4 d 8 + 99 Q v b 0 2 d 6 2 + 24 Q b 0 b 2 d 4 d 6 + 12 Q b 0 b 4 d 2 d 6 + 8 Q b 0 b 4 d 4 2 + 8 Q b 0 b 6 d 2 d 4 + 2 Q b 0 b 8 d 2 2 + 6 Q b 2 2 d 2 d 6 + 20 Q v b 0 2 b 8 d 2 2 + 60 Q v b 0 b 2 2 d 2 d 6 + 40 Q v b 0 b 2 2 d 4 2 + 80 Q v b 0 b 2 b 4 d 2 d 4 + 20 Q v b 0 b 2 b 6 d 2 2 + 10 Q v b 0 b 4 2 d 2 2 + 297 v 2 b 0 2 b 2 b 8 d 2 + 385 v 2 b 0 2 b 4 b 6 d 2 11 v 2 b 0 2 c 2 c 8 d 2 11 v 2 b 0 2 c 4 c 6 d 2 3 Q 3 d 4 d 6 + 44 Q 2 d 2 2 d 8 + 66 Q 2 d 2 d 4 d 6 + 16 Q b 0 2 d 4 d 8 + 9 Q b 0 2 d 6 2 + 16 Q b 0 b 2 d 2 d 8 11 Q v 2 b 0 b 4 2 d 2 2 20 Q 3 v b 0 d 2 d 8 30 Q 3 v b 0 d 4 d 6 + 160 Q v b 0 3 d 4 d 8 + 90 Q v b 0 3 d 6 2 44 b 0 b 8 d 2 3 132 b 2 2 d 2 2 d 6 88 b 2 2 d 2 d 4 2 176 b 2 b 4 d 2 2 d 4 44 b 2 b 6 d 2 3 22 b 4 2 d 2 3 ) ,
c 12 = 1 672 b 0 2 d 2 ( v b 0 b 0 1 ) ( 130 Q 3 v 2 b 0 d 2 d 10 + 208 Q 3 v 2 b 0 d 4 d 8 + 117 Q 3 v 2 b 0 d 6 2 108 Q 3 v b 0 d 6 2 936 Q v 2 b 0 2 b 2 d 6 2 832 Q v 2 b 0 2 b 4 d 2 d 8 1248 Q v 2 b 0 2 b 4 d 4 d 6 624 Q v 2 b 0 2 b 6 d 2 d 6 416 Q v 2 b 0 2 b 6 d 4 2 + 1040 Q v b 0 2 d 4 d 10 + 1248 Q v b 0 2 d 6 d 8 + 1040 Q v b 0 b 2 d 2 d 10 + 1664 Q v b 0 b 2 d 4 d 8 + 936 Q v b 0 b 2 d 6 2 + 384 Q v b 0 b 2 b 6 d 2 d 4 + 96 Q v b 0 b 2 b 8 d 2 2 + 192 Q v b 0 b 4 2 d 2 d 4 + 96 Q v b 0 b 4 b 6 d 2 2 + 1716 v 2 b 0 2 b 2 b 10 d 2 + 1152 Q v b 0 3 d 6 d 8 + 960 Q v b 0 2 b 2 d 2 d 10 + 1536 Q v b 0 2 b 2 d 4 d 8 + 864 Q v b 0 2 b 2 d 6 2 + 768 Q v b 0 2 b 4 d 2 d 8 208 Q v 2 b 0 b 4 2 d 2 d 4 104 Q v 2 b 0 b 4 b 6 d 2 2 120 Q 3 v b 0 d 2 d 10 192 Q 3 v b 0 d 4 d 8 + 960 Q v b 0 3 d 4 d 10 832 b 0 b 6 d 2 d 4 2 832 b 0 b 8 d 2 2 d 4 208 b 0 b 10 d 2 3 832 b 2 2 d 2 2 d 8 1248 b 2 2 d 2 d 4 d 6 1248 b 2 b 4 d 2 2 d 6 + 96 Q b 0 2 b 4 d 4 d 6 + 48 Q b 0 2 b 6 d 2 d 6 + 32 Q b 0 2 b 6 d 4 2 + 32 Q b 0 2 b 8 d 2 d 4 + 8 Q b 0 2 b 10 d 2 2 + 32 Q b 0 b 2 2 d 2 d 8 + 832 Q v b 0 b 4 d 2 d 8 + 1248 Q v b 0 b 4 d 4 d 6 + 624 Q v b 0 b 6 d 2 d 6 + 416 Q v b 0 b 6 d 4 2 + 416 Q v b 0 b 8 d 2 d 4 52 b 0 2 b 4 b 8 d 2 26 b 0 2 b 6 2 d 2 + 1716 b 0 2 c 2 c 10 d 2 + 2340 b 0 2 c 4 c 8 d 2 + 1274 b 0 2 c 6 2 d 2 2080 b 0 b 2 d 2 2 d 10 + 1152 Q v b 0 2 b 4 d 4 d 6 + 576 Q v b 0 2 b 6 d 2 d 6 + 384 Q v b 0 2 b 6 d 4 2 + 384 Q v b 0 2 b 8 d 2 d 4 + 96 Q v b 0 2 b 10 d 2 2 3328 b 0 b 2 d 2 d 4 d 8 1872 b 0 b 2 d 2 d 6 2 1664 b 0 b 4 d 2 2 d 8 2496 b 0 b 4 d 2 d 4 d 6 1248 b 0 b 6 d 2 2 d 6 + 32 Q b 0 b 6 d 4 2 + 32 Q b 0 b 8 d 2 d 4 + 8 Q b 0 b 10 d 2 2 + 32 Q b 2 2 d 2 d 8 + 48 Q b 2 2 d 4 d 6 + 48 Q b 2 b 4 d 2 d 6 2288 v b 0 2 b 8 c 4 d 2 1664 v b 0 2 b 10 c 2 d 2 10 Q 3 d 2 d 10 16 Q 3 d 4 d 8 9 Q 3 d 6 2 + 260 Q 2 d 2 2 d 10 130 Q 3 v d 2 d 10 208 Q 3 v d 4 d 8 117 Q 3 v d 6 2 10 Q 3 b 0 d 2 d 10 16 Q 3 b 0 d 4 d 8 9 Q 3 b 0 d 6 2 + 104 Q v b 0 b 10 d 2 2 + 416 Q v b 2 2 d 2 d 8 + 624 Q v b 2 2 d 4 d 6 + 624 Q v b 2 b 4 d 2 d 6 + 416 Q v b 2 b 4 d 4 2 + 32 Q b 2 b 4 d 4 2 + 32 Q b 2 b 6 d 2 d 4 + 8 Q b 2 b 8 d 2 2 + 16 Q b 4 2 d 2 d 4 + 8 Q b 4 b 6 d 2 2 52 b 0 2 b 2 b 10 d 2 + 416 Q v b 2 b 6 d 2 d 4 + 104 Q v b 2 b 8 d 2 2 + 208 Q v b 4 2 d 2 d 4 + 104 Q v b 4 b 6 d 2 2 + 80 Q b 0 3 d 4 d 10 + 48 Q b 0 b 2 2 d 4 d 6 + 48 Q b 0 b 2 b 4 d 2 d 6 + 32 Q b 0 b 2 b 4 d 4 2 + 32 Q b 0 b 2 b 6 d 2 d 4 + 8 Q b 0 b 2 b 8 d 2 2 + 2340 v 2 b 0 2 b 4 b 8 d 2 + 1274 v 2 b 0 2 b 6 2 d 2 52 v 2 b 0 2 c 2 c 10 d 2 52 v 2 b 0 2 c 4 c 8 d 2 26 v 2 b 0 2 c 6 2 d 2 624 Q v 2 b 0 b 2 b 4 d 2 d 6 416 Q v 2 b 0 b 2 b 4 d 4 2 416 Q v 2 b 0 b 2 b 6 d 2 d 4 104 Q v 2 b 0 b 2 b 8 d 2 2 1040 Q v 2 b 0 3 d 4 d 10 1248 Q v 2 b 0 3 d 6 d 8 1040 Q v 2 b 0 2 b 2 d 2 d 10 1664 Q v 2 b 0 2 b 2 d 4 d 8 + 16 Q b 0 b 4 2 d 2 d 4 8 Q b 0 b 4 b 6 d 2 2 1664 v b 0 2 b 2 c 10 d 2 2288 v b 0 2 b 4 c 8 d 2 2496 v b 0 2 b 6 c 6 d 2 + 128 Q b 0 b 2 d 4 d 8 + 72 Q b 0 b 2 d 6 2 + 64 Q b 0 b 4 d 2 d 8 + 96 Q b 0 b 4 d 4 d 6 + 48 Q b 0 b 6 d 2 d 6 + 96 Q b 0 3 d 6 d 8 + 80 Q b 0 2 b 2 d 2 d 10 + 128 Q b 0 2 b 2 d 4 d 8 + 72 Q b 0 2 b 2 d 6 2 + 64 Q b 0 2 b 4 d 2 d 8 416 Q v 2 b 0 2 b 8 d 2 d 4 104 Q v 2 b 0 2 b 10 d 2 2 416 Q v 2 b 0 b 2 2 d 2 d 8 624 Q v 2 b 0 b 2 2 d 4 d 6 + 384 Q v b 0 b 2 2 d 2 d 8 + 576 Q v b 0 b 2 2 d 4 d 6 + 576 Q v b 0 b 2 b 4 d 2 d 6 + 384 Q v b 0 b 2 b 4 d 4 2 + 416 Q 2 d 2 d 4 d 8 + 234 Q 2 d 2 d 6 2 + 80 Q b 0 2 d 4 d 10 + 96 Q b 0 2 d 6 d 8 + 80 Q b 0 b 2 d 2 d 10 832 b 2 b 4 d 2 d 4 2 832 b 2 b 6 d 2 2 d 4 208 b 2 b 8 d 2 3 416 b 4 2 d 2 2 d 4 208 b 4 b 6 d 2 3 ) ,
d 2 = Q 4 b 0 ,
d 4 = d 2 ( Q 2 8 b 0 b 2 ) 16 b 0 2 ,
d 6 = Q 2 d 2 d 4 4 b 0 2 d 4 2 8 b 0 b 2 d 2 d 4 2 b 0 b 4 d 2 2 b 2 2 d 2 2 6 b 0 2 d 2 ,
d 8 = 1 16 b 0 2 d 2 ( 3 Q 2 d 2 d 6 + 2 Q 2 d 4 2 24 b 0 2 d 4 d 6 24 b 0 b 2 d 2 d 6 16 b 0 b 2 d 4 2 16 b 0 b 4 d 2 d 4 4 b 0 b 6 d 2 2 8 b 2 2 d 2 d 4 4 b 2 b 4 d 2 2 ) ,
d 10 = 1 10 b 0 2 d 2 ( 2 Q 2 d 2 d 8 + 3 Q 2 d 4 d 6 16 b 0 2 d 4 d 8 9 b 0 2 d 6 2 16 b 0 b 2 d 2 d 8 24 b 0 b 2 d 4 d 6 12 b 0 b 4 d 2 d 6 8 b 0 b 4 d 4 2 8 b 0 b 6 d 2 d 4 2 b 0 b 8 d 2 2 6 b 2 2 d 2 d 6 4 b 2 2 d 4 2 8 b 2 b 4 d 2 d 4 2 b 2 b 6 d 2 2 b 4 2 d 2 2 ) ,
d 12 = 1 48 b 0 2 d 2 ( 10 Q 2 d 2 d 10 + 16 Q 2 d 4 d 8 + 9 Q 2 d 6 2 80 b 0 2 d 4 d 10 96 b 0 2 d 6 d 8 80 b 0 b 2 d 2 d 10 128 b 0 b 2 d 4 d 8 72 b 0 b 2 d 6 2 64 b 0 b 4 d 2 d 8 96 b 0 b 4 d 4 d 6 48 b 0 b 6 d 2 d 6 32 b 0 b 6 d 4 2 32 b 0 b 8 d 2 d 4 8 b 0 b 10 d 2 2 32 b 2 2 d 2 d 8 48 b 2 2 d 4 d 6 48 b 2 b 4 d 2 d 6 32 b 2 b 4 d 4 2 32 b 2 b 6 d 2 d 4 8 b 2 b 8 d 2 2 16 b 4 2 d 2 d 4 8 b 4 b 6 d 2 2 ) .

References

  1. Molla-Alipour, M.; Ganji, B.A. Analytical analysis of mems capacitive pressure sensor with circular diaphragm under dynamic load using differential transformation method (DTM). Acta Mech. Solida Sin. 2015, 28, 400–408. [Google Scholar] [CrossRef]
  2. Bernardo, P.; Iulianelli, A.; Macedonio, F.; Drioli, E. Membrane technologies for space engineering. J. Membr. Sci. 2021, 626, 119177. [Google Scholar] [CrossRef]
  3. Yashaswini, P.R.; Mamatha, N.; Srikanth, P.C. Circular diaphragm-based MOEMS pressure sensor using ring resonator. Int. J. Inf. Technol. 2020, 13, 213–220. [Google Scholar] [CrossRef]
  4. Lian, Y.-S.; Sun, J.-Y.; Ge, X.-M.; Yang, Z.-X.; He, X.-T.; Zheng, Z.-L. A theoretical study of an improved capacitive pressure sensor: Closed-form solution of uniformly loaded annular membranes. Measurement 2017, 111, 84–92. [Google Scholar] [CrossRef]
  5. Plaut, R.H. Effect of pressure on pull-off of flat cylindrical punch adhered to circular membrane. J. Adhesion 2022, 98, 1438–1460. [Google Scholar] [CrossRef]
  6. Li, X.; Sun, J.-Y.; Shi, B.-B.; Zhao, Z.-H.; He, X.-T. A theoretical study on an elastic polymer thin film-based capacitive wind-pressure sensor. Polymers 2020, 12, 2133. [Google Scholar] [CrossRef]
  7. Jindal, S.K.; Varma, M.A.; Thukral, D. Comprehensive assessment of MEMS double touch mode capacitive pressure sensor on utilization of SiC film as primary sensing element: Mathematical modelling and numerical simulation. Microelectron. J. 2018, 73, 30–36. [Google Scholar] [CrossRef]
  8. Lee, H.Y.; Choi, B. Theoretical and experimental investigation of the trapped air effect on air-sealed capacitive pressure sensor. Sens. Actuator A-Phys. 2015, 221, 104–114. [Google Scholar] [CrossRef]
  9. Shu, J.F.; Yang, R.R.; Chang, Y.Q.; Guo, X.Q.; Yang, X. A flexible metal thin film strain sensor with micro/nano structure for large deformation and high sensitivity strain measurement. J. Alloys Compd. 2021, 879, 160466. [Google Scholar] [CrossRef]
  10. Zhang, D.Z.; Jiang, C.X.; Tong, J.; Zong, X.Q.; Hu, W. Flexible Strain Sensor Based on Layer-by-Layer Self-Assembled Graphene/Polymer Nanocomposite Membrane and Its Sensing Properties. J. Electron. Mater. 2018, 47, 2263–2270. [Google Scholar] [CrossRef]
  11. Omi, T.; Horibata, K.; Sato, F.; Takeuchi, M. Capacitive pressure sensor with center clamped diaphragm. IEICE Trans. Electron. 1997, E80C, 263–268. [Google Scholar]
  12. Ko, W.H.; Wang, Q. Touch mode capacitive pressure sensors. Sens. Actuator A-Phys. 1999, 75, 242–251. [Google Scholar] [CrossRef]
  13. Daigle, M.; Corcos, J.; Wu, K. An analytical solution to circular touch mode capacitor. IEEE Sens. J. 2007, 7, 502–505. [Google Scholar] [CrossRef]
  14. Berger, C.; Phillips, R.; Pasternak, I.; Sobieski, J.; Strupinski, W.; Vijayaraghavan, A. Touch-mode capacitive pressure sensor with graphene-polymer heterostructure membrane. 2D Mater. 2018, 5, 015025. [Google Scholar] [CrossRef]
  15. Jindal, S.K.; Varma, M.A.; Thukral, D. Study of MEMS touch-mode capacitive pressure sensor utilizing flexible sic circular diaphragm: Robust design, theoretical modeling, numerical simulation and performance comparison. J. Circuits Syst. Comput. 2019, 28, 1950206. [Google Scholar] [CrossRef]
  16. Jerman, J.H. The fabrication and use of micromachined corrugated silicon diaphragms. Sens. Actuator A-Phys. 1990, 23, 988–992. [Google Scholar] [CrossRef]
  17. Prudenziati, M. Thick-film technology. Sens. Actuator A-Phys. 1991, 25, 227–234. [Google Scholar] [CrossRef]
  18. Sandmaier, H. Non-linear analytical modelling of bossed diaphragms for pressure sensors. Sens. Actuator A-Phys. 1991, 25–27, 815–819. [Google Scholar] [CrossRef]
  19. Rosengren, L.; Siiderkvist, J.; Smith, L. Micromachined sensor structures with linear capacitive response. Sens. Actuator A-Phys. 1992, 31, 200–205. [Google Scholar] [CrossRef]
  20. Puers, R. Capacitive sensors: When and how to use them. Sens. Actuator A-Phys. 1993, 37–38, 93–105. [Google Scholar] [CrossRef]
  21. Kang, M.C.; Chan, R.; Choe, J.H. Capacitance response of concave well substrate touch-mode capacitive pressure sensor: Mathematical analysis and simulation. Microelectron. J. 2021, 114, 105118. [Google Scholar] [CrossRef]
  22. Mishra, R.B.; El-Atab, N.; Hussain, A.M.; Hussain, M.M. Recent progress on flexible capacitive pressure sensors: From design and materials to applications. Adv. Mater. Technol. 2021, 6, 2001023. [Google Scholar] [CrossRef]
  23. Li, K. Investigation of ring touch mode capacitive pressure sensor with an electrothermomechanical coupling contact model. IEEE Sens. J. 2019, 19, 9641–9652. [Google Scholar] [CrossRef]
  24. Kumar, G.A.A.U.; Jindal, S.K.; Sreekanth, P.K. Capacitance response of concave well substrate MEMS double touch mode capacitive pressure sensor: Robust design, theoretical modeling, numerical simulation and performance comparison. Silicon 2022, 14, 9659–9667. [Google Scholar] [CrossRef]
  25. Mishra, R.B.; Babatain, W.; El-Atab, N.; Hussain, M.M. Polymer/paper-based double touch mode capacitive pressure sensing element for wireless control of robotic arm. In Proceedings of the 2020 IEEE 15th International Conference on Nano/Micro Engineered and Molecular System (NEMS), San Diego, CA, USA, 27–30 September 2020. [Google Scholar]
  26. Plaut, R.H. Linearly elastic annular and circular membranes under radial, transverse, and torsional loading. Part I: Large unwrinkled axisymmetric deformations. Acta Mech. 2009, 202, 79–99. [Google Scholar] [CrossRef]
  27. Lim, T.C. Large deflection of circular auxetic membranes under uniform load. J. Mater. Technol. 2016, 138, 041011. [Google Scholar] [CrossRef]
  28. Yang, X.Y.; Yu, L.X.; Long, R. Contact mechanics of inflated circular membrane under large deformation: Analytical solutions. Int. J. Solids Struct. 2021, 233, 111222. [Google Scholar] [CrossRef]
  29. Ma, Y.; Wang, G.R.; Chen, Y.L.; Long, D.; Guan, Y.C.; Liu, L.Q.; Zhang, Z. Extended Hencky solution for the blister test of nanomembrane. Extreme Mech. Lett. 2018, 22, 69–78. [Google Scholar] [CrossRef]
  30. Seide, P. Large deflections of rectangular membranes under uniform pressure. Int. J. Nonlin. Mech. 1977, 12, 397–407. [Google Scholar] [CrossRef]
  31. Zhao, M.H.; Zheng, W.L.; Fan, C.Y. Mechanics of shaft-loaded blister test for thin film suspended on compliant substrate. Int. J. Solids Struct. 2010, 47, 2525–2532. [Google Scholar] [CrossRef][Green Version]
  32. Sun, J.-Y.; Hu, J.-L.; He, X.-T.; Zheng, Z.-L.; Geng, H.-H. A theoretical study of thin film delamination using clamped punch-loaded blister test: Energy release rate and closed-form solution. J. Adhes. Sci. Technol. 2011, 25, 2063–2080. [Google Scholar] [CrossRef]
  33. Arthurs, A.M.; Clegg, J. On the solution of a boundary value problem for the nonlinear Föppl-Hencky equation. Z. Angew. Math. Mech. 1994, 74, 281–284. [Google Scholar] [CrossRef]
  34. Lian, Y.-S.; Sun, J.-Y.; Zhao, Z.-H.; He, X.-T.; Zheng, Z.-L. A revisit of the boundary value problem for Föppl–Hencky membranes: Improvement of geometric equations. Mathematics 2020, 8, 631. [Google Scholar] [CrossRef]
  35. Cabada, A.; Wanassi, O.K. Existence results for nonlinear fractional problems with non-homogeneous integral boundary conditions. Mathematics 2020, 8, 255. [Google Scholar] [CrossRef]
  36. Di Barba, P.; Fattorusso, L.; Versaci, M. A 2D Non-linear second-order differential model for electrostatic circular membrane MEMS devices: A result of existence and uniqueness. Mathematics 2019, 7, 1193. [Google Scholar] [CrossRef]
  37. Rehman, A.; Salleh, Z.; Gul, T.; Zaheer, Z. The impact of viscous dissipation on the thin film unsteady flow of GO-EG/GO-W nanofluids. Mathematics 2019, 7, 653. [Google Scholar] [CrossRef]
  38. Sun, J.-Y.; Lian, Y.-S.; Li, Z.-L.; He, X.-T.; Zheng, Z.-L. Theoretical study on shaft-loaded blister test technique: Synchronous characterization of surface and interfacial mechanical properties. Int. J. Adhes. Adhes. 2014, 51, 128–139. [Google Scholar] [CrossRef]
  39. Suo, H.; Angelotti, A.; Zanelli, A. Thermal-physical behavior and energy performance of air-supported membranes for sports halls: A comparison among traditional and advanced building envelopes. Energy Build. 2015, 109, 35–46. [Google Scholar] [CrossRef]
  40. Peride, N.; Carabineanu, A.; Craciun, E.M. Mathematical modelling of the interface crack propagation in a pre-stressed fiber reinforced elastic composite. Comp. Mater. Sci. 2009, 45, 684–692. [Google Scholar] [CrossRef]
  41. Li, F.-Y.; Zhang, Q.; Li, X.; He, X.-T.; Sun, J.-Y. Polymer conductive membrane-based non-touch mode circular capacitive pressure sensors: An analytical solution-based method for design and numerical calibration. Polymers 2022, 14, 3087. [Google Scholar] [CrossRef] [PubMed]
  42. Zhang, Q.; Li, F.-Y.; Li, X.; He, X.-T.; Sun, J.-Y. Polymer conductive membrane-based circular capacitive pressure sensors from non-touch mode of operation to touch mode of operation: An analytical solution-based method for design and numerical calibration. Polymers 2022, 14, 3850. [Google Scholar] [CrossRef] [PubMed]
  43. Fichter, W.B. Some Solutions for the Large Deflections of Uniformly Loaded Circular Membranes; TP-3658; NASA: Washington, DC, USA, 1997. [Google Scholar]
  44. He, X.-T.; Li, X.; Shi, B.-B.; Sun, J.-Y. A closed-form solution without small-rotation-angle assumption for circular membranes under gas pressure loading. Mathematics 2021, 9, 2269. [Google Scholar] [CrossRef]
Figure 1. A circular non-touch mode capacitive pressure sensor under the static gas pressure q.
Figure 1. A circular non-touch mode capacitive pressure sensor under the static gas pressure q.
Sensors 24 05314 g001
Figure 2. A profile along the diameter of the deflected circular membrane under the uniformly distributed normal load q.
Figure 2. A profile along the diameter of the deflected circular membrane under the uniformly distributed normal load q.
Sensors 24 05314 g002
Figure 3. A free body of radius r (0 ≤ ra) under the joint action of the uniformly distributed normal load q and the membrane force σrh.
Figure 3. A free body of radius r (0 ≤ ra) under the joint action of the uniformly distributed normal load q and the membrane force σrh.
Sensors 24 05314 g003
Figure 4. The variation of w with r when q takes the values 0.0005 MPa, 0.008 MPa, and 0.01625 MPa.
Figure 4. The variation of w with r when q takes the values 0.0005 MPa, 0.008 MPa, and 0.01625 MPa.
Sensors 24 05314 g004
Figure 5. The variation in the output capacitance C with the input pressure q for the sensor with a = 70 mm, h = 0.3 mm, t = 0.1 mm, E = 3.05 MPa, ν = 0.45, and g = 50 mm, where the dotted line represents the pressure–capacitance (pC) analytical relationship when the sensor is used for measuring normal loads and the dashed line represents the pC analytical relationship when the sensor is used for measuring transverse loads.
Figure 5. The variation in the output capacitance C with the input pressure q for the sensor with a = 70 mm, h = 0.3 mm, t = 0.1 mm, E = 3.05 MPa, ν = 0.45, and g = 50 mm, where the dotted line represents the pressure–capacitance (pC) analytical relationship when the sensor is used for measuring normal loads and the dashed line represents the pC analytical relationship when the sensor is used for measuring transverse loads.
Sensors 24 05314 g005
Figure 6. The variation of w with r when q takes the values 0.0005 MPa, 0.008 MPa, and 0.01625 MPa, where “Solution 1” refers to the result calculated using the analytical solution presented in [43], “Solution 2” refers to the result calculated using the analytical solution presented in [44], and “Solution 3” refers to the result calculated using the analytical solution presented in Section 2.2 in this paper.
Figure 6. The variation of w with r when q takes the values 0.0005 MPa, 0.008 MPa, and 0.01625 MPa, where “Solution 1” refers to the result calculated using the analytical solution presented in [43], “Solution 2” refers to the result calculated using the analytical solution presented in [44], and “Solution 3” refers to the result calculated using the analytical solution presented in Section 2.2 in this paper.
Sensors 24 05314 g006
Figure 7. The capacitance–pressure (Cp) relationship of the sensor with a = 70 mm, h = 0.3 mm, t = 0.1 mm, E = 3.05 MPa, ν = 0.45, g = 50 mm, and its least-squares data fitting, where “Function 1” is fitted by a straight line, and “Function 2” is fitted by a quartic curve, which are listed in Table 1.
Figure 7. The capacitance–pressure (Cp) relationship of the sensor with a = 70 mm, h = 0.3 mm, t = 0.1 mm, E = 3.05 MPa, ν = 0.45, g = 50 mm, and its least-squares data fitting, where “Function 1” is fitted by a straight line, and “Function 2” is fitted by a quartic curve, which are listed in Table 1.
Sensors 24 05314 g007
Figure 8. The effect of changing the membrane thickness h on the Cq relationships when a = 70 mm, g = 50 mm, t = 0.1 mm, ν = 0.45, and h takes the values 0.3 mm, 0.6 mm, and 0.9 mm, respectively.
Figure 8. The effect of changing the membrane thickness h on the Cq relationships when a = 70 mm, g = 50 mm, t = 0.1 mm, ν = 0.45, and h takes the values 0.3 mm, 0.6 mm, and 0.9 mm, respectively.
Sensors 24 05314 g008
Figure 9. The effect of changing the Young’s modulus of elasticity E on the Cq relationships when a = 70 mm, g = 50 mm, h = 0.3 mm, t = 0.1 mm, ν = 0.45, and E takes the values 3.05 MPa, 5 MPa, and 8 MPa, respectively.
Figure 9. The effect of changing the Young’s modulus of elasticity E on the Cq relationships when a = 70 mm, g = 50 mm, h = 0.3 mm, t = 0.1 mm, ν = 0.45, and E takes the values 3.05 MPa, 5 MPa, and 8 MPa, respectively.
Sensors 24 05314 g009
Figure 10. The effect of changing the Poisson’s ratio v on the Cq relationships when a = 70 mm, g = 50 mm, h = 0.3 mm, t = 0.1 mm, E = 3.05 MPa, and v takes 0.45, 0.3 and 0.15, respectively.
Figure 10. The effect of changing the Poisson’s ratio v on the Cq relationships when a = 70 mm, g = 50 mm, h = 0.3 mm, t = 0.1 mm, E = 3.05 MPa, and v takes 0.45, 0.3 and 0.15, respectively.
Sensors 24 05314 g010
Figure 11. The effect of changing the insulator layer thickness t on the Cq relationships when a = 70 mm, g = 50 mm, h = 0.3 mm, E = 3.05 MPa, ν = 0.45, and t takes the values 0.1 mm, 5 mm, and 10 mm, respectively.
Figure 11. The effect of changing the insulator layer thickness t on the Cq relationships when a = 70 mm, g = 50 mm, h = 0.3 mm, E = 3.05 MPa, ν = 0.45, and t takes the values 0.1 mm, 5 mm, and 10 mm, respectively.
Sensors 24 05314 g011
Figure 12. The effect of changing the circular membrane radius a on Cq relationships when g = 50 mm, h = 0.3 mm, t = 0.1 mm, E = 3.05 MPa, ν = 0.45, and a takes the values 70 mm, 80 mm, and 90 mm, respectively.
Figure 12. The effect of changing the circular membrane radius a on Cq relationships when g = 50 mm, h = 0.3 mm, t = 0.1 mm, E = 3.05 MPa, ν = 0.45, and a takes the values 70 mm, 80 mm, and 90 mm, respectively.
Sensors 24 05314 g012
Figure 13. The effect of changing the initially parallel gap g on Cq relationships when a = 70 mm, h = 0.3 mm, t = 0.1 mm, E = 3.05 MPa, ν = 0.45, and g takes the values 50 mm, 55 mm, and 60 mm, respectively.
Figure 13. The effect of changing the initially parallel gap g on Cq relationships when a = 70 mm, h = 0.3 mm, t = 0.1 mm, E = 3.05 MPa, ν = 0.45, and g takes the values 50 mm, 55 mm, and 60 mm, respectively.
Sensors 24 05314 g013
Table 1. The analytical expressions of “Function 1” and “Function 2” in Figure 7, and the variation ranges of the output pressure q and input capacitance C.
Table 1. The analytical expressions of “Function 1” and “Function 2” in Figure 7, and the variation ranges of the output pressure q and input capacitance C.
FunctionsC/pFq/KPaAnalytical Expressions
Function 12.724~5.4990~8q = 3.335 × 10−3C − 1.034 × 10−2
Function 22.724~18.2540~16.25q = 1.461 × 10−7C4 + 2.905 × 10−6C3 − 3.111 × 10−4C2 + 5.471 × 10−3C − 1.371 × 10−2
Disclaimer/Publisher’s Note: The statements, opinions and data contained in all publications are solely those of the individual author(s) and contributor(s) and not of MDPI and/or the editor(s). MDPI and/or the editor(s) disclaim responsibility for any injury to people or property resulting from any ideas, methods, instructions or products referred to in the content.

Share and Cite

MDPI and ACS Style

Wu, J.; He, X.-T.; Sun, J.-Y. A Theoretical Study on Static Gas Pressure Measurement via Circular Non-Touch Mode Capacitive Pressure Sensor. Sensors 2024, 24, 5314. https://doi.org/10.3390/s24165314

AMA Style

Wu J, He X-T, Sun J-Y. A Theoretical Study on Static Gas Pressure Measurement via Circular Non-Touch Mode Capacitive Pressure Sensor. Sensors. 2024; 24(16):5314. https://doi.org/10.3390/s24165314

Chicago/Turabian Style

Wu, Ji, Xiao-Ting He, and Jun-Yi Sun. 2024. "A Theoretical Study on Static Gas Pressure Measurement via Circular Non-Touch Mode Capacitive Pressure Sensor" Sensors 24, no. 16: 5314. https://doi.org/10.3390/s24165314

APA Style

Wu, J., He, X.-T., & Sun, J.-Y. (2024). A Theoretical Study on Static Gas Pressure Measurement via Circular Non-Touch Mode Capacitive Pressure Sensor. Sensors, 24(16), 5314. https://doi.org/10.3390/s24165314

Note that from the first issue of 2016, this journal uses article numbers instead of page numbers. See further details here.

Article Metrics

Back to TopTop