Nanosensors Based on Bimetallic Plasmonic Layer and Black Phosphorus: Application to Urine Glucose Detection
Abstract
1. Introduction
2. Modeling, Refractive Index, and Performance Parameter
2.1. Optical Properties of the Materials’ Nanolayers
2.1.1. BK7-Prism Refractive Index
2.1.2. Optical Properties of TiO2 and SiO2 Films
2.1.3. Bi-Metallic Films
2.1.4. Black Phosphorus (BP) Nanomaterial Layer
2.1.5. Sensing Medium Layer
2.2. Theory Modeling and Performance Parameters
3. Results and Discussions
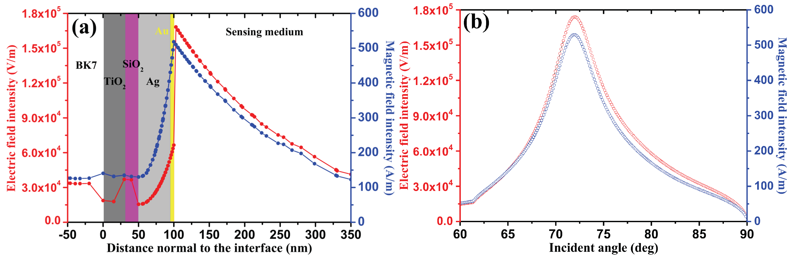
3.1. Optimization of the Proposed Multilayer SPR Design
3.2. Biodetection of Glucose Concentration in Urine Samples from Patients with Diabetes
3.3. Experimental Feasibility of the Proposed SPR Biosensor Chip
4. Conclusions and Perspectives
Author Contributions
Funding
Institutional Review Board Statement
Informed Consent Statement
Data Availability Statement
Acknowledgments
Conflicts of Interest
References
- Economou, E.N. Surface plasmons in thin films. Phys. Rev. 1969, 182, 539–554. [Google Scholar] [CrossRef]
- Fonsaca, J.E.; Moreira, M.P.; Farooq, S.; de Araujo, R.E.; de Matos, C.J.; Grasseschi, D. Surface plasmon resonance platforms for chemical and bio sensing. In Encyclopedia of Sensors and Biosensors; Elsevier: Berlin/Heidelberg, Germany, 2021. [Google Scholar]
- El Barghouti, M.; Akjouj, A.; Mir, A. Modeling of surface plasmon resonance biosensor based on Ag/BiFeO3/Ni using 2D nanomaterial perovskite MAPbBr3. Mater. Today Commun. 2022, 33, 104591. [Google Scholar] [CrossRef]
- Alotaibi, M.F.S.; Al-Hadeethi, Y.; Lohia, P.; Singh, S.; Dwivedi, D.K.; Baskoutas, S. Numerical study to enhance the sensitivity of a surface plasmon resonance sensor with BlueP/WS2-covered Al2O3-nickel nanofilms. Nanomaterials 2022, 12, 2205. [Google Scholar] [CrossRef] [PubMed]
- Shalabney, A.; Abdulhalim, I. Sensitivity-enhancement methods for surface plasmon sensors. Laser Photonics Rev. 2011, 5, 571–606. [Google Scholar] [CrossRef]
- Lin, Z.; Shu, Y.; Chen, W.; Zhao, Y.; Li, J. High-sensitivity PtSe2 surface plasmon resonance biosensor based on metal-Si-metal waveguide structure. Biosensors 2022, 12, 27. [Google Scholar] [CrossRef] [PubMed]
- El Barghouti, M.; Akjouj, A.; Mir, A. High-performance bimetallic layer plasmonic sensors: A comparative study among Ti3C2Tx, black phosphorus and WS2. Appl. Phys. A 2022, 128, 179. [Google Scholar] [CrossRef]
- Xu, Y.; Ang, Y.S.; Wu, L.; Ang, L.K. High sensitivity surface plasmon resonance sensor based on two-dimensional MXene and transition metal dichalcogenide: A theoretical study. Nanomaterials 2019, 9, 165. [Google Scholar] [CrossRef] [PubMed]
- Mehan, N. Effects of optic axis rotation on the sensing properties of nematic liquid crystal-based surface plasmon resonance (SPR) sensor. Opt. Mater. 2023, 136, 113472. [Google Scholar] [CrossRef]
- Sharma, A.K.; Jha, R.; Pattanaik, H.S. Design considerations for surface plasmon resonance based detection of human blood group in near infrared. J. Appl. Phys. 2010, 107, 034701. [Google Scholar] [CrossRef]
- Karki, B.; Uniyal, A.; Sarkar, P.; Pal, A.; Yadav, R.B. Sensitivity improvement of surface plasmon resonance sensor for glucose detection in urine samples using heterogeneous layers: An analytical perspective. J. Opt. 2023, 53, 2567–2577. [Google Scholar] [CrossRef]
- Lam, W.W.; Chu, L.H.; Wong, C.L.; Zhang, Y.T. A surface plasmon resonance system for the measurement of glucose in aqueous solution. Sens. Actuators B 2005, 105, 138–143. [Google Scholar] [CrossRef]
- Han, L.; Xu, W.; Liu, T.; Zhang, Y.; Ma, Y.; Jin, M.; Xu, C. Improved differential evolution algorithm for sensitivity enhancement of surface plasmon resonance biosensor based on two-dimensional material for detection of waterborne bacteria. Biosensors 2023, 13, 600. [Google Scholar] [CrossRef] [PubMed]
- Mishra, S.K.; Tripathi, S.N.; Choudhary, V.; Gupta, B.D. SPR based fibre optic ammonia gas sensor utilizing nanocomposite film of PMMA/reduced graphene oxide prepared by in situ polymerization. Sens. Actuators B 2014, 199, 190–200. [Google Scholar] [CrossRef]
- Shankaran, D.; Gobi, K.; Miura, N. Recent advancements in surface plasmon resonance immunosensors for detection of small molecules of biomedical, food and environmental interest. Sens. Actuators B 2007, 121, 158–177. [Google Scholar] [CrossRef]
- Song, Y.; Sun, M.; Wu, H.; Zhao, W.; Wang, Q. Temperature sensor based on surface plasmon resonance with TiO2-Au-TiO2 triple structure. Materials 2022, 15, 7766. [Google Scholar] [CrossRef] [PubMed]
- Kretschmann, E.; Raether, H. Radiative decay of non radiative surface plasmons excited by light (Surface plasma wave excitation by light and decay into photons applied to non radiative modes). Z. Natur-Forsch. 1968, 23, 2135–2136. [Google Scholar]
- El Barghouti, M.; Haidar, O.; Akjouj, A.; Mir, A. Figure of merit and sensitivity enhancement of biosensor LSPR in investigated for visible and near infrared. Photon. Nanostruct. Fundam. Appl. 2022, 50, 101016. [Google Scholar] [CrossRef]
- Kishore, S.C.; Perumal, S.; Atchudan, R.; Alagan, M.; Sundramoorthy, A.K.; Ramalingam, S.; Sambasivam, S. A critical review on black phosphorus and its utilization in the diverse range of sensors. Sens. Actuators A Phys. 2024, 377, 115719. [Google Scholar] [CrossRef]
- Jia, Y.; Li, Z.; Wang, H.; Saeed, M.; Cai, H. Sensitivity enhancement of a surface plasmon resonance sensor with platinum diselenide. Sensors 2019, 20, 131. [Google Scholar] [CrossRef]
- Karki, B.; Pal, A.; Singh, Y.; Sharma, S. Sensitivity enhancement of surface plasmon resonance sensor using 2D material barium titanate and black phosphorus over the bimetallic layer of Au, Ag, and Cu. Opt. Commun. 2022, 508, 127616. [Google Scholar] [CrossRef]
- Homola, J.; Yee, S.S.; Gauglitz, G. Surface plasmon resonance sensors: Review. Sens. Actuators B Chem. 1999, 54, 3–15. [Google Scholar] [CrossRef]
- Wang, M.; Huo, Y.; Jiang, S.; Zhang, C.; Yang, C.; Ning, T.; Man, B. Theoretical design of a surface plasmon resonance sensor with high sensitivity and high resolution based on graphene–WS2 hybrid nanostructures and Au-Ag bimetallic film. RSC Adv. 2017, 7, 47177–47182. [Google Scholar] [CrossRef]
- Banerjee, J.; Ray, M. Comparative performance evaluation of mono-metallic and bi-metallic plasmonic sensors using WS2 and graphene with optical bio-sensing application. Sens. Actuators B Chem. 2019, 281, 520–526. [Google Scholar] [CrossRef]
- Mudgal, N.; Saharia, A.; Agarwal, A.; Singh, G. ZnO and Bi-metallic (Ag-Au) layers based surface plasmon resonance (SPR) biosensor with BaTiO3 and graphene for biosensing applications. IETE J. Res. 2020, 69, 932–939. [Google Scholar] [CrossRef]
- Dey, B.; Islam, M.S.; Park, J. Numerical design of high-performance WS2/metal/WS2/graphene heterostructure based surface plasmon resonance refractive index sensor. Results Phys. 2021, 23, 104021. [Google Scholar] [CrossRef]
- El Barghouti, M.; Akjouj, A.; Mir, A. MoS2–graphene hybrid nanostructures enhanced localized surface plasmon resonance biosensors. Opt. Laser Technol. 2020, 130, 106306. [Google Scholar] [CrossRef]
- Maurya, J.B.; Prajapati, Y.K.; Singh, V.; Saini, J.P. Sensitivity enhancement of surface plasmon resonance sensor based on graphene–MoS2 hybrid structure with TiO2-SiO2 composite layer. Appl. Phys. A 2015, 121, 525–533. [Google Scholar] [CrossRef]
- Wu, L.; Guo, J.; Wang, Q.; Lu, S.; Dai, X.; Xiang, Y.; Fan, D. Sensitivity enhancement by using few-layer black phosphorus-graphene/TMDCs heterostructure in surface plasmon resonance biochemical sensor. Sens. Actuators B Chem. 2017, 249, 542–548. [Google Scholar] [CrossRef]
- Salahuddin, M.; Jothilingam, S.; Alam, M.K.; Uniyal, A. Theoretical model for glucose detection in urine samples using heterogeneous layered surface plasmon resonance (SPR) sensor. Res. Sq. 2022, preprint. [Google Scholar]
- Mostufa, S.; Paul, A.K.; Chakrabarti, K. Detection of hemoglobin in blood and urine glucose level samples using a graphenecoated SPR based biosensor. OSA Contin. 2021, 4, 2164–2176. [Google Scholar] [CrossRef]
- Pavlichenko, I.; Exner, A.T.; Lugli, P.; Scarpa, G.; Lotsch, P.V. Tunable thermoresponsive TiO2-SiO2 Bragg stacks based on sol-gel fabrication methods. J. Intell. Mater. Syst. Struct. 2013, 24, 2204–2214. [Google Scholar] [CrossRef]
- Al-Bataineh, Q.M.; Telfah, A.D.; Tavares, C.J.; Hergenröder, R. Modeling and analysis of discrete particle detection in wide-field surface plasmon resonance microscopy. Sens. Actuators A Phys. 2024, 370, 115266. [Google Scholar] [CrossRef]
- Stebunov, Y.V.; Aftenieva, O.A.; Arsenin, A.V.; Volkov, A.V. Highly sensitive and selective sensor chips with graphene-oxide linking layer. ACS Appl. Mater. Interfaces 2015, 7, 21727–21734. [Google Scholar] [CrossRef] [PubMed]
- Hakami, J.; Abassi, A.; Dhibi, A. Performance enhancement of surface plasmon resonance sensor based on Ag-TiO2-MAPbX3-graphene for the detection of glucose in water. Opt. Quantum Electron. 2021, 53, 164. [Google Scholar] [CrossRef]
- Liu, N.; Wang, S.; Cheng, Q.; Pang, B.; Lv, J. High sensitivity in Ni-based SPR sensor of blue phosphorene/transition metal dichalcogenides hybrid nanostructure. Plasmonics 2021, 16, 1567–1576. [Google Scholar] [CrossRef]
- Sharma, A.K.; Gupta, B.D. On the performance of different bimetallic combinations in surface plasmon resonance based fiber optic sensors. J. Appl. Phys. 2007, 101, 093111. [Google Scholar] [CrossRef]
- Srivastava, A.; Verma, A.; Das, R.; Prajapati, Y.K. A theoretical approach to improve the performance of SPR biosensor using MXene and black phosphorus. Optik 2020, 203, 163430. [Google Scholar] [CrossRef]
- Zeng, S.; Hu, S.; Xia, J.; Anderson, T.; Dinh, X.Q.; Meng, X.M.; Coquet, P.; Yong, K.T. Graphene-MoS2 hybrid nanostructures enhanced surface plasmon resonance biosensors. Sens. Actuators B 2015, 207, 801–810. [Google Scholar] [CrossRef]
- Hossain, M.B.; Tasnim, T.; Abdulrazak, L.F.; Rana, M.M.; Islam, M.R. A Numerical Approach to Design the Kretschmann Configuration Based Refractive Index Graphene-MoS2 Hybrid Layers with TiO2-SiO2 Nano for Formalin Detection. Photonic Sens. 2019, 10, 134–146. [Google Scholar] [CrossRef]
- Jorgenson, R.C.; Yee, S.S. A fiber-optic chemical sensor based on surface plasmon resonance. Sens. Actuators B 1993, 12, 213–220. [Google Scholar] [CrossRef]
- Gupta, B.D.; Sharma, A.K. Sensitivity evaluation of a multi-layered surface plasmon resonance-based fiber optic sensor: A theoretical study. Sens. Actuators B Chem. 2005, 107, 40–46. [Google Scholar] [CrossRef]
- Kumar, R.; Pal, S.; Pal, N.; Mishra, V.; Prajapati, Y.K. High-performance bimetallic surface plasmon resonance biochemical sensor using a black phosphorus-MXene hybrid structure. Appl. Phys. A 2021, 127, 259. [Google Scholar] [CrossRef]
- Jin, J.M. The Finite Element Method in Electromagnetics; Wiley: Hoboken, NJ, USA, 2014. [Google Scholar]
- Besbes, M.; Hugonin, J.P.; Lalanne, P.; van Haver, S.; Janssen, O.T.A.; Nugrowati, A.M. Numerical analysis of a slit-groove diffraction problem. J. Eur. Opt.-Soc.-Rapid Publ. 2007, 2, 7022. [Google Scholar] [CrossRef]
- Szunerits, S.; Ghodbane, S.; Niedziołka-Jonsson, J.; Galopin, E.; Klauser, F.; Akjouj, A.; Pennec, Y.; Djafari-Rouhani, B.; Boukherroub, R.; Steinmuller-Nethl, D. Development and Characterization of a Diamond-Based Localized Surface Plasmon Resonance Interface. J. Phys. Chem. C 2010, 114, 3346–3353. [Google Scholar] [CrossRef]
- El Barghouti, M.; Houari, F.; Akjouj, A.; Mir, A. Engineering and optimization of the SPR device ZnO/Ag/WO3/Ni/2D-Nanomaterials highly sensitive for biomedical processing and detection. Opt. Mater. 2024, 149, 115019. [Google Scholar] [CrossRef]
- Noual, A.; Pennec, Y.; Akjouj, A.; Djafari-Rouhani, B.; Dobrzynski, L. Nanoscale plasmon waveguide including cavity resonator. J. Phys. C Condens. Matter 2009, 21, 375301. [Google Scholar] [CrossRef] [PubMed]
- Saison-Francioso, O.; Léveque, G.; Akjouj, A.; Pennec, Y. Theoretical Study of Gold Nanoparticles Randomly Dispersed on a Dielectric/Gold Substrate. ACS Omega 2023, 8, 21493–21505. [Google Scholar] [CrossRef] [PubMed]
- Yuan, X.; Wu, L.; Qin, Y. Advancing Sensitivity in Guided-Wave Surface Plasmon Resonance Sensor through Integration of 2D BlueP/MoS2 Hybrid Layers. Biosensors 2023, 14, 25. [Google Scholar] [CrossRef]
- Reed, J.C.; Zhu, H.; Zhu, A.Y.; Li, C.; Cubukcu, E. Graphene-enabled silver nanoantenna sensors. Nano Lett. 2012, 12, 4090–4094. [Google Scholar] [CrossRef]
- Dai, X.; Liang, Y.; Zhao, Y.; Gan, S.; Jia, Y.; Xiang, Y. Sensitivity enhancement of a surface plasmon resonance with tin selenide (SnSe) allotropes. Sensors 2019, 19, 173. [Google Scholar] [CrossRef]
- Das, C.M.; Ouyang, Q.; Kang, L.; Guo, Y.; Dinh, X.Q.; Coquet, P.; Yong, K.T. Augmenting sensitivity of surface plasmon resonance (SPR) sensors with the aid of anti-reflective coatings (ARCs). Photonics-Nanostructures-Fundam. Appl. 2020, 38, 100760. [Google Scholar] [CrossRef]
- Liu, H.; Neal, A.T.; Zhu, Z.; Tomanek, D.; Ye, P.D. Phosphorene: A new 2D material with high carrier mobility. arXiv 2014, arXiv:1401.4133. [Google Scholar]
- Xia, G.; Zhou, C.; Jin, S.; Huang, C.; Liu, J.X.Z. Sensitivity enhancement of two-dimensional materials based on genetic optimization in surface plasmon resonance. Sensors 2019, 19, 1198. [Google Scholar] [CrossRef] [PubMed]
- Xing, C.; Zhang, J.; Jing, J.; Li, J.; Shi, F. Preparations, properties and applications of low-dimensional black phosphorus. Chem. Eng. J. 2019, 370, 120–135. [Google Scholar] [CrossRef]
- Choi, J.R.; Yong, K.W.; Choi, J.Y.; Nilghaz, A.; Lin, Y.; Xu, J.; Lu, X. Black phosphorus and its biomedical applications. Theranostics 2018, 8, 1005. [Google Scholar] [CrossRef] [PubMed]
- Yesudasu, V.; Srivastava, R.; Pal, S.; Verma, A.; Prajapati, Y.K. Numerical analysis of an advanced surface plasmon resonance biosensor utilizing nitride material-tungsten ditelluride-black phosphorus. Phys. B Condens. Matter 2024, 675, 415619. [Google Scholar] [CrossRef]
- Li, D.; Su, J.; Yang, J.; Yu, S.; Zhang, J.; Xu, K.; Yu, H. Optical surface plasmon resonance sensor modified by mutant glucose/galactose-binding protein for affinity detection of glucose molecules. Biomed. Opt. Express 2017, 8, 5206–5217. [Google Scholar] [CrossRef] [PubMed]
- Gough, D.A.; Lucisano, J.Y.; Tse, P.H. Two-dimensional enzyme electrode sensor for glucose. Anal. Chem. 1985, 57, 2351–2357. [Google Scholar] [CrossRef] [PubMed]
- Raicopol, M.D.; Andronescu, C.; Atasiei, R.; Hanganu, A.; Vasile, E.; Brezoiu, A.M.; Pilan, L. Organic layers via aryl diazonium electrochemistry: Towards modifying platinum electrodes for interference free glucose biosensors. Electrochim. Acta 2016, 206, 226–237. [Google Scholar] [CrossRef]
- Wang, J.; Xu, Y.; Song, Y.; Wang, Q. Surface Plasmon Resonance Sensor Based on Fe2O3/Au for Alcohol Concentration Detection. Sensors 2024, 24, 4477. [Google Scholar] [CrossRef]
- Mudgal, N.; Saharia, A.; Agarwal, A.; Ali, J.; Yupapin, P.; Singh, G. Modeling of highly sensitive surface plasmon resonance (SPR) sensor for urine glucose detection. Opt. Quantum Electron. 2020, 52, 307. [Google Scholar] [CrossRef]
- Menon, P.S.; Said, F.A.; Mei, G.S.; Berhanuddin, D.D.; Umar, A.A.; Shaari, S.; Majlis, B.Y. Urea and creatinine detection on nano-laminated gold thin film using Kretschmann-based surface plasmon resonance biosensor. PLoS ONE 2018, 13, 0201228. [Google Scholar] [CrossRef] [PubMed]
- Chaudhari, M.N. Thin film Deposition Methods: A Critical Review. Int. J. Res. Appl. Sci. Eng. Technol. 2021, 9, 5215–5232. [Google Scholar] [CrossRef]
- Smith, J.B.; Hagaman, D.; Ji, H.F. Growth of 2D black phosphorus film from chemical vapor deposition. Nanotechnology 2016, 27, 215602. [Google Scholar] [CrossRef]
- Shivangani, S.A.; Kumar, D.; Kumar, B.; Gupta, S.K. Design and analysis of SPR-based refractive index sensor with enhanced sensitivity based on graphene/BP heterostructure. Opt. Quantum Electron. 2024, 56, 1323. [Google Scholar] [CrossRef]







| Glucose Concentration (g/dL) | Refractive Index | (deg) | Rmin | Sensitivity (deg/RIU) | FWHM (deg) | DA (deg−1) | QF (RIU−1) |
|---|---|---|---|---|---|---|---|
| 0–0.015 | 1.335 | 78.48 | 0.1503 | Ref | 7.68 | 0.130 | - |
| 0.625 | 1.336 | 78.72 | 0.1574 | 240 | 7.78 | 0.128 | 30.85 |
| 1.25 | 1.337 | 79.84 | 0.1650 | 180 | 7.88 | 0.127 | 22.86 |
| 2.5 | 1.338 | 79.08 | 0.1731 | 200 | 7.98 | 0.125 | 25 |
| 5 | 1.341 | 79.92 | 0.2009 | 240 | 8.19 | 0.122 | 29.28 |
| 10 | 1.347 | 81.36 | 0.2755 | 240 | 8.61 | 0.116 | 27.84 |
| SPR Sensor Design | RI Range | Sensitivity (deg/RIU) | DA (deg−1) | QF (RIU−1) | References |
|---|---|---|---|---|---|
| SF11/Ag/Au/WS2/graphene/SM | 1.332–1.372 | 192.5 | 0.137 | 26.37 | Wang et al. Ref. [23] |
| BK7/Ag/Au/WS2/graphene/SM | 1.332–1.335 | 185 | 0.1321 | 24.44 | Banerjee et al. Ref. [24] |
| CF2/WS2/Ag/Al/WS2/graphene/SM | 1.330–1.360 | 208 | 1.12 | 223.66 | Dey et al. Ref. [26] |
| SF10/ZnO/Ag/Au/BaTiO3/graphene/SM | 1.330–1.450 | 116.67 | - | 37.87 | Mudgal et al. Ref. [25] |
| BK7/Ag/MXene/Ag/ZnO/graphene/SM | 1.335–1.336 | 184 | 0.148 | 27.23 | Karki et al. Ref. [11] |
| BK7/TiO2/SiO2/Ag/Au/BP/SM | 1.330–1.335 | 240 | 0.132 | 34.7 | This work |
| BK7/TiO2/SiO2/Ag/Au/BP/GC | 1.335–1.347 | 240 | 0.128 | 30.85 | This work |
| BK7/TiO2/SiO2/Ag/Au/BP/GC | 1.335–1.341 | 243.7 | 0.128 | 31.32 | This work (linear fitting) |
Disclaimer/Publisher’s Note: The statements, opinions and data contained in all publications are solely those of the individual author(s) and contributor(s) and not of MDPI and/or the editor(s). MDPI and/or the editor(s) disclaim responsibility for any injury to people or property resulting from any ideas, methods, instructions or products referred to in the content. |
© 2024 by the authors. Licensee MDPI, Basel, Switzerland. This article is an open access article distributed under the terms and conditions of the Creative Commons Attribution (CC BY) license (https://creativecommons.org/licenses/by/4.0/).
Share and Cite
Houari, F.; El Barghouti, M.; Mir, A.; Akjouj, A. Nanosensors Based on Bimetallic Plasmonic Layer and Black Phosphorus: Application to Urine Glucose Detection. Sensors 2024, 24, 5058. https://doi.org/10.3390/s24155058
Houari F, El Barghouti M, Mir A, Akjouj A. Nanosensors Based on Bimetallic Plasmonic Layer and Black Phosphorus: Application to Urine Glucose Detection. Sensors. 2024; 24(15):5058. https://doi.org/10.3390/s24155058
Chicago/Turabian StyleHouari, Fatima, Mohamed El Barghouti, Abdellah Mir, and Abdellatif Akjouj. 2024. "Nanosensors Based on Bimetallic Plasmonic Layer and Black Phosphorus: Application to Urine Glucose Detection" Sensors 24, no. 15: 5058. https://doi.org/10.3390/s24155058
APA StyleHouari, F., El Barghouti, M., Mir, A., & Akjouj, A. (2024). Nanosensors Based on Bimetallic Plasmonic Layer and Black Phosphorus: Application to Urine Glucose Detection. Sensors, 24(15), 5058. https://doi.org/10.3390/s24155058

