Multi-Scale Spatial Attention-Based Multi-Channel 2D Convolutional Network for Soil Property Prediction
Abstract
1. Introduction
2. Materials and Methods
2.1. The Soil Dataset
2.2. Method
2.2.1. Preprocessing Methods
2.2.2. 2D Transformation Methods
2.2.3. Construction of Multi-Channel Input
2.2.4. Structure of the CNN Network
2.3. Evaluation
3. Results and Discussion
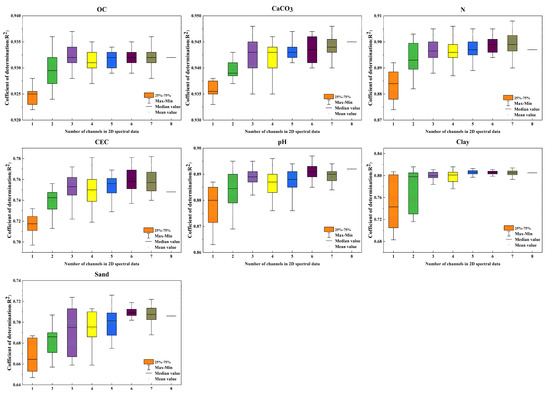
3.1. Analysis of 2D Multi-Channel Inputs
3.2. Training and Evaluating the CNNSANet Model
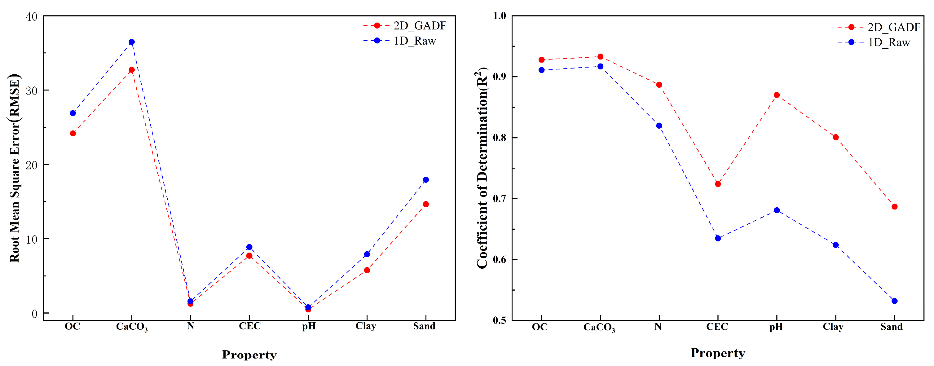
3.3. Comparisons of Different Methods
4. Conclusions
Author Contributions
Funding
Institutional Review Board Statement
Informed Consent Statement
Data Availability Statement
Acknowledgments
Conflicts of Interest
References
- Pahalvi, H.N.; Rafiya, L.; Rashid, S.; Nisar, B.; Kamili, A.N. Chemical fertilizers and their impact on soil health. In Microbiota and Biofertilizers, Ecofriendly Tools for Reclamation of Degraded Soil Environs; Springer: Berlin/Heidelberg, Germany, 2021; Volume 2, pp. 1–20. [Google Scholar]
- Soriano-Disla, J.M.; Janik, L.J.; Rossel, R.A.V.; Macdonald, L.M.; McLaughlin, M.J. The performance of visible, near-, and mid-infrared reflectance spectroscopy for prediction of soil physical, chemical, and biological properties. Appl. Spectrosc. Rev. 2014, 49, 139–186. [Google Scholar] [CrossRef]
- Nawar, S.; Buddenbaum, H.; Hill, J.; Kozak, J.; Mouazen, A.M. Estimating the soil clay content and organic matter by means of different calibration methods of vis-NIR diffuse reflectance spectroscopy. Soil Tillage Res. 2016, 155, 510–522. [Google Scholar] [CrossRef]
- Yang, M.; Xu, D.; Chen, S.; Li, H.; Shi, Z. Evaluation of machine learning approaches to predict soil organic matter and pH using Vis-NIR spectra. Sensors 2019, 19, 263. [Google Scholar] [CrossRef] [PubMed]
- Safaie, M.; Hosseinpour-Zarnaq, M.; Omid, M.; Sarmadian, F.; Ghasemi-Mobtaker, H. Using deep neural networks for evaluation of soil quality based on VIS–NIR spectroscopy. Earth Sci. Inform. 2024, 17, 271–281. [Google Scholar] [CrossRef]
- He, K.; Zhang, X.; Ren, S.; Sun, J. Deep residual learning for image recognition. In Proceedings of the IEEE Conference on Computer Vision and Pattern Recognition 2016, Las Vegas, NV, USA, 27–30 June 2016; pp. 770–778. [Google Scholar]
- Long, J.; Shelhamer, E.; Darrell, T. Fully convolutional networks for semantic segmentation. In Proceedings of the IEEE Conference on Computer Vision and Pattern Recognition 2015, Boston, MA, USA, 7–12 June 2015; pp. 3431–3440. [Google Scholar]
- Tang, D.; Wei, F.; Qin, B.; Liu, T.; Zhou, M. Coooolll: A deep learning system for twitter sentiment classification. In Proceedings of the 8th International Workshop on Semantic Evaluation (SemEval 2014), Dublin, Ireland, 23–24 August 2014; pp. 208–212. [Google Scholar]
- Maas, A.L.; Qi, P.; Xie, Z.; Hannun, A.Y.; Lengerich, C.T.; Jurafsky, D.; Ng, A.Y. Building DNN acoustic models for large vocabulary speech recognition. Comput. Speech Lang. 2017, 41, 195–213. [Google Scholar] [CrossRef]
- Carvalho, M.; Cardoso-Fernandes, J.; Lima, A.; Teodoro, A.C. Convolutional Neural Networks Applied to Antimony Quantification via Soil Laboratory Reflectance Spectroscopy in Northern Portugal: Opportunities and Challenges. Remote Sens. 2024, 16, 1964. [Google Scholar] [CrossRef]
- Mamalakis, A.; Barnes, E.A.; Ebert-Uphoff, I. Investigating the fidelity of explainable artificial intelligence methods for applications of convolutional neural networks in geoscience. Artif. Intell. Earth Syst. 2022, 1, e220012. [Google Scholar] [CrossRef]
- Veres, M.; Lacey, G.; Taylor, G.W. Deep learning architectures for soil property prediction. In Proceedings of the 2015 12th Conference on Computer and Robot Vision, Halifax, NS, Canada, 3–5 June 2015; IEEE: Piscataway, NJ, USA, 2015; pp. 8–15. [Google Scholar]
- Zhong, L.; Guo, X.; Xu, Z.; Ding, M. Soil properties: Their prediction and feature extraction from the LUCAS spectral library using deep convolutional neural networks. Geoderma 2021, 402, 115366. [Google Scholar] [CrossRef]
- Mou, L.; Ghamisi, P.; Zhu, X.X. Deep recurrent neural networks for hyperspectral image classification. IEEE Trans. Geosci. Remote Sens. 2017, 55, 3639–3655. [Google Scholar] [CrossRef]
- Zhang, R.; Xie, H.; Cai, S.; Hu, Y.; Liu, G.-K.; Hong, W.; Tian, Z.Q. Transfer-learning-based Raman spectra identification. J. Raman Spectrosc. 2020, 51, 176–186. [Google Scholar] [CrossRef]
- Singh, S.; Kasana, S.S. Estimation of soil properties from the EU spectral library using long short-term memory networks. Geoderma Reg. 2019, 18, e00233. [Google Scholar] [CrossRef]
- Yang, J.; Wang, X.; Wang, R.; Wang, H. Combination of convolutional neural networks and recurrent neural networks for predicting soil properties using Vis–NIR spectroscopy. Geoderma 2020, 380, 114616. [Google Scholar] [CrossRef]
- Padarian, J.; Minasny, B.; McBratney, A.B. Using deep learning to predict soil properties from regional spectral data. Geoderma Reg. 2019, 16, e00198. [Google Scholar] [CrossRef]
- Li, R.; Yin, B.; Cong, Y.; Du, Z. Simultaneous prediction of soil properties using multi_cnn model. Sensors 2020, 20, 6271. [Google Scholar] [CrossRef] [PubMed]
- Jin, X.; Zhou, J.; Rao, Y.; Zhang, X.; Zhang, W.; Ba, W.; Zhou, X.; Zhang, T. An innovative approach for integrating two-dimensional conversion of Vis-NIR spectra with the Swin Transformer model to leverage deep learning for predicting soil properties. Geoderma 2023, 436, 116555. [Google Scholar] [CrossRef]
- Guo, M.H.; Xu, T.X.; Liu, J.J.; Liu, Z.-N.; Jiang, P.-T.; Mu, T.-J.; Zhang, S.-H.; Martin, R.R.; Cheng, M.-M.; Hu, S.-M. Attention mechanisms in computer vision: A survey. Comput. Vis. Media 2022, 8, 331–368. [Google Scholar] [CrossRef]
- Hassanin, M.; Anwar, S.; Radwan, I.; Khan, F.S.; Mian, A. Visual attention methods in deep learning: An in-depth survey. Inf. Fusion 2024, 108, 102417. [Google Scholar] [CrossRef]
- Wang, X.; Girshick, R.; Gupta, A.; He, K. Non-local neural networks. In Proceedings of the IEEE Conference on Computer Vision and Pattern Recognition 2018, Salt Lake City, UT, USA, 18–23 June 2018; pp. 7794–7803. [Google Scholar]
- Tsimpouris, E.; Tsakiridis, N.L.; Theocharis, J.B. Using autoencoders to compress soil VNIR–SWIR spectra for more robust prediction of soil properties. Geoderma 2021, 393, 114967. [Google Scholar] [CrossRef]
- Zhao, W.; Wu, Z.; Yin, Z.; Li, D. Attention-Based CNN Ensemble for Soil Organic Carbon Content Estimation with Spectral Data. IEEE Geosci. Remote Sens. Lett. 2022, 19, 7000805. [Google Scholar] [CrossRef]
- Tsakiridis, N.L.; Keramaris, K.D.; Theocharis, J.B.; Zalidis, G.C. Simultaneous prediction of soil properties from VNIR-SWIR spectra using a localized multi-channel 1-D convolutional neural network. Geoderma 2020, 367, 114208. [Google Scholar] [CrossRef]
- Orgiazzi, A.; Ballabio, C.; Panagos, P.; Jones, A.; Fernández-Ugalde, O. LUCAS Soil, the largest expandable soil dataset for Europe: A review. Eur. J. Soil Sci. 2018, 69, 140–153. [Google Scholar] [CrossRef]
- Panagos, P.; Van Liedekerke, M.; Jones, A.; Montanarella, L. European Soil Data Centre: Response to European policy support and public data requirements. Land Use Policy 2012, 29, 329–338. [Google Scholar] [CrossRef]
- Tóth, G.; Jones, A.; Montanarella, L. The LUCAS topsoil database and derived information on the regional variability of cropland topsoil properties in the European Union. Environ. Monit. Assess. 2013, 185, 7409–7425. [Google Scholar] [CrossRef] [PubMed]
- Simonyan, K.; Zisserman, A. Very deep convolutional networks for large-scale image recognition. arXiv 2014, arXiv:1409.1556. [Google Scholar]
- Wang, Z.; Oates, T. Imaging time-series to improve classification and imputation. arXiv 2015, arXiv:1506.00327. [Google Scholar]
- Guo, C.; Li, H.; Pan, D. An improved piecewise aggregate approximation based on statistical features for time series mining. In Knowledge Science, Engineering and Management Proceedings of the 4th International Conference, KSEM 2010, Belfast, Northern Ireland, UK, 1–3 September 2010; Proceedings 4; Springer: Berlin Heidelberg, 2010; pp. 234–244. [Google Scholar]
- Liu, Z.; Mao, H.; Wu, C.Y.; Feichtenhofer, C.; Darrell, T.; Xie, S. A convnet for the 2020s. In Proceedings of the IEEE/CVF Conference on Computer Vision and Pattern Recognition 2022, New Orleans, LA, USA, 18–24 June 2022; pp. 11976–11986. [Google Scholar]
- Wang, W.; Xie, E.; Li, X.; Fan, D.-P.; Song, K.; Liang, D.; Lu, T.; Luo, P.; Shao, L. Pvt v2: Improved baselines with pyramid vision transformer. Comput. Vis. Media 2022, 8, 415–424. [Google Scholar] [CrossRef]
- Yu, W.; Luo, M.; Zhou, P.; Si, C.; Zhou, Y.; Wang, X.; Feng, J.; Yan, S. Metaformer is actually what you need for vision. In Proceedings of the IEEE/CVF Conference on Computer Vision and Pattern Recognition 2022, New Orleans, LA, USA, 18–24 June 2022; pp. 10819–10829. [Google Scholar]
- Dosovitskiy, A.; Beyer, L.; Kolesnikov, A.; Weissenborn, D.; Zhai, X.; Unterthiner, T.; Dehghani, M.; Minderer, M.; Heigold, G.; Gelly, S.; et al. An image is worth 16 × 16 words: Transformers for image recognition at scale. arXiv 2020, arXiv:2010.11929. [Google Scholar]
- Tavakoli, H.; Correa, J.; Sabetizade, M.; Vogel, S. Predicting key soil properties from Vis-NIR spectra by applying dual-wavelength indices transformations and stacking machine learning approaches. Soil Tillage Res. 2023, 229, 105684. [Google Scholar] [CrossRef]










| 1D_Vgg16 | 2D_Vgg16 |
|---|---|
| Input (1 × 4200) | Input (C × 64 × 64) |
| Conv1d 3-64 | Conv2D 3 × 3-64 |
| Conv1d 3-64 | Conv2D 3 × 3-64 |
| Maxpooling 2 | Maxpooling 2 × 2 |
| Conv1d 3-128 | Conv2D 3 × 3-128 |
| Conv1d 3-128 | Conv2D 3 × 3-128 |
| Maxpooling 2 | Maxpooling 2 × 2 |
| Conv1d 3-256 | Conv2D 3 × 3-256 |
| Conv1d 3-256 | Conv2D 3 × 3-256 |
| Conv1d 3-256 | Conv2D 3 × 3-256 |
| Maxpooling 2 | Maxpooling 2 × 2 |
| Conv1d 3-512 | Conv2D 3 × 3-512 |
| Conv1d 3-512 | Conv2D 3 × 3-512 |
| Conv1d 3-512 | Conv2D 3 × 3-512 |
| Maxpooling 2 | Maxpooling 2 × 2 |
| Conv1d 3-512 | Conv2D 3 × 3-512 |
| Conv1d 3-512 | Conv2D 3 × 3-512 |
| Conv1d 3-512 | Conv2D 3 × 3-512 |
| Maxpooling 2 | Maxpooling 2 × 2 |
| FC Dense | FC Dense |
| CN | PCN | Abbreviation | CN | PCN | Abbreviation |
|---|---|---|---|---|---|
| 1 | 8 | NCC1 | 5 | 56 | NCC5 |
| 2 | 28 | NCC2 | 6 | 28 | NCC6 |
| 3 | 56 | NCC3 | 7 | 8 | NCC7 |
| 4 | 70 | NCC4 | 8 | 1 | NCC8 |
| Soil Properties | Valid Samples | Training | Testing | ||||||||||||||
|---|---|---|---|---|---|---|---|---|---|---|---|---|---|---|---|---|---|
| Samples | Min | Q1 | Q2 | Q3 | Max | Mean | Standard Deviation | Samples | Min | Q1 | Q2 | Q3 | Max | Mean | Standard Deviation | ||
| OC (g·kg−1) | 19,036 | 13,325 | 0 | 12.7 | 20.8 | 39.3 | 586.8 | 50.17 | 91.85 | 5710 | 0 | 12.7 | 20.6 | 40.7 | 577 | 49.62 | 90.03 |
| CaCO3 (g·kg−1) | 19,036 | 13,325 | 0 | 0 | 1 | 12 | 944 | 51.31 | 124.75 | 5710 | 0 | 0 | 1 | 11 | 909 | 52.29 | 126.63 |
| N (g·kg−1) | 19,036 | 13,325 | 0 | 1.2 | 1.7 | 1.9 | 38.6 | 2.92 | 3.76 | 5710 | 0 | 1.2 | 1.7 | 2.9 | 34.2 | 2.93 | 3.74 |
| pH | 19,036 | 13,325 | 3.21 | 5.02 | 6.2 | 7.47 | 10.08 | 6.2 | 1.35 | 5710 | 3.41 | 5.01 | 6.22 | 7.47 | 9.75 | 6.2 | 1.35 |
| CEC (cmol(+)·kg−1) | 19,036 | 13,325 | 0 | 7 | 12.4 | 20.4 | 234 | 15.77 | 14.39 | 5710 | 0 | 7.1 | 12.3 | 20.1 | 227.7 | 15.7 | 14.7 |
| Clay/% | 17,939 | 12,557 | 1 | 8 | 17 | 27 | 79 | 18.84 | 13.02 | 5382 | 1 | 8 | 17 | 26 | 79 | 18.99 | 12.95 |
| Sand/% | 17,939 | 12,557 | 1 | 20 | 42 | 64 | 98 | 42.89 | 26.03 | 5382 | 1 | 19 | 42 | 64 | 98 | 42.81 | 26.24 |
| Preprocessing Algorithm | OC | CaCO3 | N | CEC | pH | Clay | Sand | |||||||
|---|---|---|---|---|---|---|---|---|---|---|---|---|---|---|
| R2 | RMSE | R2 | RMSE | R2 | RMSE | R2 | RMSE | R2 | RMSE | R2 | RMSE | R2 | RMSE | |
| Absorbances | 0.928 | 24.202 | 0.933 | 32.72 | 0.887 | 1.259 | 0.724 | 7.72 | 0.87 | 0.487 | 0.801 | 5.785 | 0.687 | 14.669 |
| SNV + Detrend | 0.925 | 24.62 | 0.935 | 32.16 | 0.89 | 1.242 | 0.732 | 7.613 | 0.863 | 0.501 | 0.776 | 6.128 | 0.651 | 15.506 |
| sg0 + SNV | 0.925 | 24.705 | 0.935 | 32.329 | 0.887 | 1.259 | 0.718 | 7.813 | 0.873 | 0.481 | 0.802 | 5.767 | 0.685 | 14.73 |
| sg1 + SNV | 0.922 | 25.13 | 0.937 | 31.902 | 0.88 | 1.296 | 0.713 | 7.881 | 0.887 | 0.454 | 0.709 | 6.989 | 0.667 | 15.151 |
| sg2 + SNV | 0.926 | 24.54 | 0.938 | 31.422 | 0.881 | 1.29 | 0.717 | 7.824 | 0.885 | 0.458 | 0.701 | 7.0787 | 0.647 | 15.59 |
| sg0 + MSC | 0.924 | 24.75 | 0.936 | 32.129 | 0.892 | 1.231 | 0.725 | 7.708 | 0.883 | 0.462 | 0.807 | 5.693 | 0.685 | 14.728 |
| sg1 + MSC | 0.922 | 25.119 | 0.935 | 32.187 | 0.874 | 1.331 | 0.709 | 7.927 | 0.885 | 0.458 | 0.71 | 6.979 | 0.662 | 15.248 |
| sg2 + MSC | 0.925 | 24.66 | 0.938 | 31.538 | 0.876 | 1.32 | 0.697 | 8.09 | 0.877 | 0.473 | 0.683 | 7.292 | 0.655 | 15.411 |
| Soil Property | CN | Preprocessing Algorithm Combination | R2 | RMSE |
|---|---|---|---|---|
| OC | 3 | SG0 + SNV, SG1 + MSC, SG2 + MSC | 0.937 | 22.627 |
| CaCO3 | 7 | SG0 + MSC, SG0 + SNV, SG1 + SNV, SNV + DT, SG1 + SNV, SG1 + MSC, SG2 + MSC | 0.948 | 28.941 |
| N | 7 | SG0 + SNV, SG0 + MSC, SG1 + SNV, SG2 + SNV, SNV + DT, SG1 + MSC, SG2 + MSC | 0.908 | 1.133 |
| CEC | 6 | Absorbances, SNV + DT, SG1 + SNV, SG2 + SNV, SG1 + MSC, SG2 + MSC | 0.782 | 6.863 |
| pH | 8 | Absorbances, SG0 + MSC, SG0 + SNV, SG1 + SNV, SG2 + SNV, SNV + DT, SG1 + MSC, SG2 + MSC | 0.896 | 0.436 |
| Clay | 5 | Absorbances, SG1 + SNV, SG2 + SNV, SG1 + MSC, SG2 + MSC | 0.812 | 5.609 |
| Sand | 6 | Absorbances, SG1 + SNV, SG2 + SNV, SG1 + MSC, SG2 + MSC, SG0 + SNV | 0.717 | 14.086 |
| Soil | 1 × 1 Conv2D (SC) | MSSM Block (SC) | MSSM Block + MCIF Block (SC) | 1 x 1 Conv2D (MC) | MSSM Block (MC) | MSSM Block + MCIF Block (MC) | ||||||
|---|---|---|---|---|---|---|---|---|---|---|---|---|
| Property | RMSE | R2 | RMSE | R2 | RMSE | R2 | RMSE | R2 | RMSE | R2 | RMSE | R2 |
| OC | 23.965 | 0.929 | 22.07 | 0.94 | 20.776 | 0.947 | 22.13 | 0.94 | 21.34 | 0.944 | 19.08 | 0.955 |
| CaCO3 | 31.321 | 0.939 | 29.133 | 0.947 | 27.428 | 0.953 | 28.99 | 0.948 | 26.73 | 0.955 | 24.9 | 0.961 |
| N | 1.24 | 0.89 | 1.13 | 0.909 | 1.065 | 0.919 | 1.16 | 0.904 | 1.09 | 0.915 | 0.97 | 0.933 |
| CEC | 7.36 | 0.749 | 7.183 | 0.761 | 6.931 | 0.778 | 6.9 | 0.78 | 6.75 | 0.789 | 6.52 | 0.803 |
| pH | 0.469 | 0.879 | 0.412 | 0.907 | 0.39 | 0.917 | 0.4 | 0.912 | 0.39 | 0.917 | 0.37 | 0.927 |
| Clay | 5.849 | 0.796 | 5.35 | 0.829 | 5.14 | 0.846 | 5.31 | 0.83 | 5.22 | 0.838 | 4.85 | 0.86 |
| sand | 15.268 | 0.661 | 13.883 | 0.72 | 13.21 | 0.749 | 13.26 | 0.745 | 13.1 | 0.751 | 12.06 | 0.789 |
| Model | Assessment Indicators | OC | CaCO3 | N | CEC | pH | Clay | Sand |
|---|---|---|---|---|---|---|---|---|
| CNNSANet (this study) | RMSE | 19.083 | 24.901 | 0.969 | 6.52 | 0.366 | 4.845 | 12.062 |
| R2 | 0.955 | 0.961 | 0.933 | 0.803 | 0.927 | 0.86 | 0.789 | |
| RPIQ | 1.467 | 0.442 | 1.754 | 1.994 | 6.72 | 3.715 | 3.731 | |
| 2D-CNN [18] | RSME | 32.14 | NA | 1.54 | 8.58 | 0.5 | 7.55 | 18.15 |
| R2 | 0.88 | NA | 0.83 | 0.66 | 0.87 | 0.7 | 0.53 | |
| 1D-LSTM [16] | RSME | 23.25 | NA | 1.15 | 6.75 | 0.42 | NA | NA |
| R2 | 0.94 | NA | 0.91 | 0.77 | 0.9 | NA | NA | |
| 2D-Swin Transformer [20] | RMSE | 23.25 | NA | 1.26 | 8.55 | 0.54 | 6.14 | 15.33 |
| R2 | 0.95 | NA | 0.94 | 0.79 | 0.9 | 0.84 | 0.74 | |
| RPIQ | 1.32 | NA | 1.27 | 1.25 | 5.2 | 2.77 | 2.74 | |
| 1D-PCR-poly [37] | RMSE | 21.33 | 25.71 | 1.11 | 6.89 | NA | 5.41 | 13.41 |
| R2 | 0.95 | 0.96 | 0.92 | 0.8 | NA | 0.82 | 0.73 | |
| RPIQ | 1.28 | 0.43 | 1.54 | 1.88 | NA | 3.33 | 3.28 |
Disclaimer/Publisher’s Note: The statements, opinions and data contained in all publications are solely those of the individual author(s) and contributor(s) and not of MDPI and/or the editor(s). MDPI and/or the editor(s) disclaim responsibility for any injury to people or property resulting from any ideas, methods, instructions or products referred to in the content. |
© 2024 by the authors. Licensee MDPI, Basel, Switzerland. This article is an open access article distributed under the terms and conditions of the Creative Commons Attribution (CC BY) license (https://creativecommons.org/licenses/by/4.0/).
Share and Cite
Feng, G.; Li, Z.; Zhang, J.; Wang, M. Multi-Scale Spatial Attention-Based Multi-Channel 2D Convolutional Network for Soil Property Prediction. Sensors 2024, 24, 4728. https://doi.org/10.3390/s24144728
Feng G, Li Z, Zhang J, Wang M. Multi-Scale Spatial Attention-Based Multi-Channel 2D Convolutional Network for Soil Property Prediction. Sensors. 2024; 24(14):4728. https://doi.org/10.3390/s24144728
Chicago/Turabian StyleFeng, Guolun, Zhiyong Li, Junbo Zhang, and Mantao Wang. 2024. "Multi-Scale Spatial Attention-Based Multi-Channel 2D Convolutional Network for Soil Property Prediction" Sensors 24, no. 14: 4728. https://doi.org/10.3390/s24144728
APA StyleFeng, G., Li, Z., Zhang, J., & Wang, M. (2024). Multi-Scale Spatial Attention-Based Multi-Channel 2D Convolutional Network for Soil Property Prediction. Sensors, 24(14), 4728. https://doi.org/10.3390/s24144728

