Copper Micro-Flowers for Electrocatalytic Sensing of Nitrate Ions in Water
Abstract
1. Introduction
2. Materials and Methods
2.1. Chemicals and Apparatus
2.2. Copper Micro-Flowers Electrodeposition and Storage
2.3. Electrochemical Characterization
3. Results
3.1. Morphological Characterization
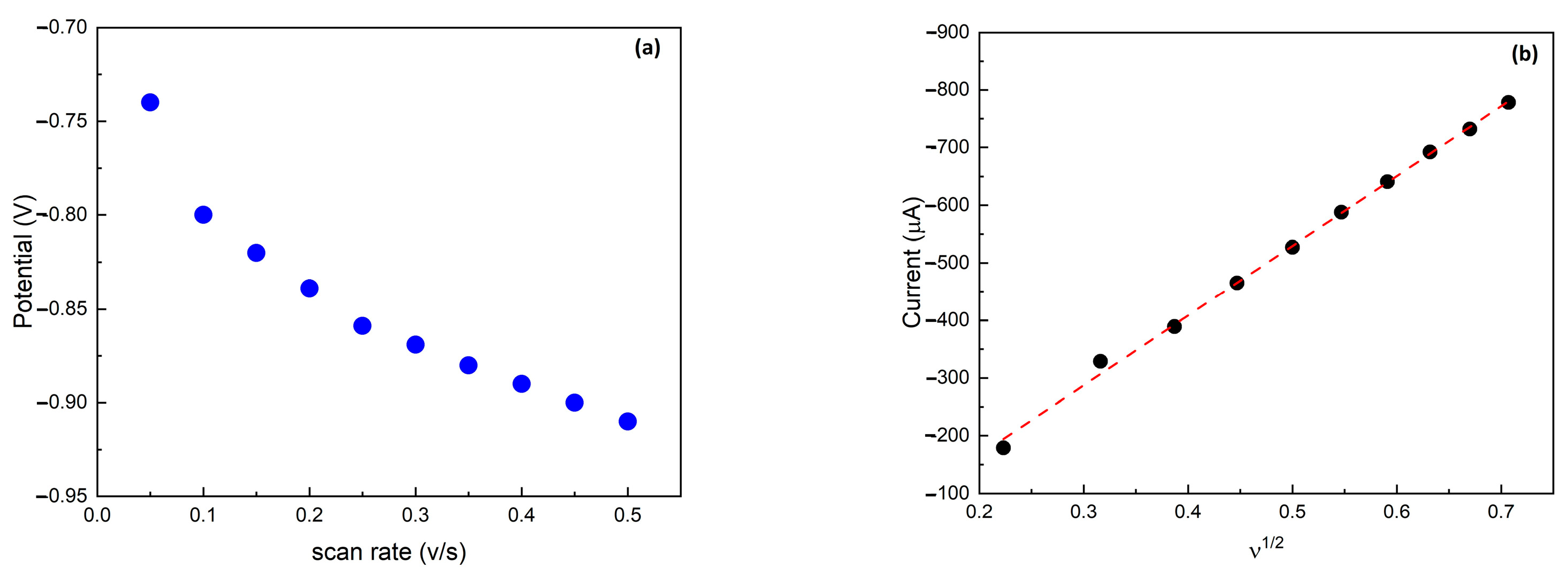
3.2. Study of the Electrochemical Reaction on Electrodes
3.3. Electrochemical Sensor Performance for Nitrate Ion Detection
3.4. Reproducibility, Repeatability, and Stability of the Sensor
4. Conclusions
5. Patents
Supplementary Materials
Author Contributions
Funding
Data Availability Statement
Conflicts of Interest
References
- Forde, B.G.; Clarkson, D.T. Nitrate and Ammonium Nutrition of Plants: Physiological and Molecular Perspectives. In Advances in Botanical Research; Callow, J.A., Ed.; Elsevier: Amsterdam, The Netherlands, 1999; Volume 30, pp. 1–90. [Google Scholar] [CrossRef]
- Bryan, N.S.; van Grinsven, H. Chapter Three—The Role of Nitrate in Human Health. In Advances in Agronomy; Sparks, D.L., Ed.; Elsevier: Amsterdam, The Netherlands, 2013; Volume 119, pp. 153–182. [Google Scholar] [CrossRef]
- World Health Organization. Water, Sanitation and Health Team. Guidelines for Drinking-Water Quality: Incorporating First Addendum, Recommendations; World Health Organization: Geneva, Switzerland, 2006; Volume 1. [Google Scholar]
- Zhang, J.-Z.; Fischer, C.J. A simplified resor-cinol method for direct spectrophotometric de-termination of nitrate in seawater. Mar. Chem. 2006, 99, 220–226. [Google Scholar] [CrossRef]
- Tse, Y.-H.; Janda, P.; Lam, H.; Lever, A.B.P. Electrode with electropolymerized tetraaminophthalocyanatocobalt(II) for detection of sulfide ion. Anal. Chem. 1995, 67, 981–985. [Google Scholar] [CrossRef]
- Hori, Y.; Takahashi, R.; Yoshinami, Y.; Murata, A. Electrochemical Reduction of CO at a Copper Electrode. J. Phys. Chem. B 1997, 101, 7075–7081. [Google Scholar] [CrossRef]
- Ferrari, A.G.-M.; Rowley-Neale, S.J.; Banks, C.E. Screen-printed electrodes: Transitioning the laboratory in-to-the field. Talanta Open 2021, 3, 100032. [Google Scholar] [CrossRef]
- Hanrahan, G.; Patil, D.G.; Wang, J. Electrochemical sensors for environmental monitoring: Design, development and applications. J. Environ. Monit. 2004, 6, 657–664. [Google Scholar] [CrossRef] [PubMed]
- Yáñez-Sedeño, P.; Campuzano, S.; Pingarrón, J.M. Electrochemical (bio)sensors: Promising tools for green analytical chemistry. Curr. Opin. Green Sustain. Chem. 2019, 19, 1–7. [Google Scholar] [CrossRef]
- Gałuszka, A.; Migaszewski, Z.; Namieśnik, J. The 12 principles of green analytical chemistry and the SIGNIFICANCE mnemonic of green ana-lytical practices. TrAC Trends Anal. Chem. 2013, 50, 78–84. [Google Scholar] [CrossRef]
- Bagheri, H.; Hajian, A.; Rezaei, M.; Shir-zadmehr, A. Composite of Cu metal nanoparticles multiwall carbon nanotubes-reduced graphene oxide as a novel and high performance platform of the electrochemical sensor for simultaneous determination of nitrite and nitrate. J. Hazard. Mater. 2017, 324, 762–772. [Google Scholar] [CrossRef]
- Li, Y.; Li, H.; Song, Y.; Lu, H.; Tong, J.; Bian, C.; Sun, J.; Xia, S. An Electrochemical Sensor System with Renewable Copper Nano-Clusters Modified Electrode for Continuous Nitrate Determination. IEEE Sens. J. 2016, 16, 8807–8814. [Google Scholar] [CrossRef]
- Ryu, H.; Thompson, D.; Huang, Y.; Li, B.; Lei, Y. Electrochemical sensors for nitrogen species: A review. Sens. Actuators Rep. 2020, 2, 100022. [Google Scholar] [CrossRef]
- Ronkainen, N.J.; Halsall, H.B.; Heineman, W.R. Electrochemical biosensors. Chem. Soc. Rev. 2010, 39, 1747–1763. [Google Scholar] [CrossRef] [PubMed]
- Hassan, M.H.; Khan, R.; Andreescu, S. Advances in electrochemical detection methods for measuring contaminants of emerging concerns. Electrochem. Sci. Adv. 2022, 2, e2100184. [Google Scholar] [CrossRef]
- Dima, G.E.; De Vooys, A.C.A.; Koper, M.T.M. Electrocatalytic reduction of nitrate at low concentration on coinage and transition-metal electrodes in acid solutions. J. Electroanal. Chem. 2003, 554–555, 15–23. [Google Scholar] [CrossRef]
- Wang, J.; Zhang, Z.; Wang, S. Facile fabrication of Ag/GO/Ti electrode by one-step electro-deposition for the enhanced cathodic reduction of nitrate pollution. J. Water Process. Eng. 2021, 40, 101839. [Google Scholar] [CrossRef]
- Li, Y.; Bian, C.; Xia, S.; Sun, J.; Tong, J. Micro electrochemical sensor with copper nanoclusters for nitrate determination in freshwaters. Micro Nano Lett. 2012, 7, 1197–1201. [Google Scholar] [CrossRef]
- Frag, E.Y.; Mohamed, M.E.-B.; Salem, H.S. Preparation and characterization of in situ car-bon paste and screen-printed potentiometric sensors for determination of econazole nitrate: Surface analysis using SEM and EDX. J. Iran. Chem. Soc. 2017, 14, 2355–2365. [Google Scholar] [CrossRef]
- Motaghedifard, M.H.; Pourmortazavi, S.M.; Alibolandi, M.; Mirsadeghi, S. Au-modified organ-ic/inorganic MWCNT/Cu/PANI hybrid nano-composite electrode for electrochemical determination of nitrate ions. Microchim. Acta 2021, 188, 99. [Google Scholar] [CrossRef] [PubMed]
- Ambaye, A.D.; Muchindu, M.; Jijana, A.; Mishra, S.; Nxumalo, E. Screen-printed electrode system based on carbon black/copper-organic frame-work hybrid nanocomposites for the electro-chemical detection of nitrite. Mater. Today Commun. 2023, 35, 105567. [Google Scholar] [CrossRef]
- Wang, X.; Zhu, M.; Zeng, G.; Liu, X.; Fang, C.; Li, C. A three-dimensional Cu nanobelt cathode for highly efficient electrocatalytic nitrate reduction. Nanoscale 2020, 12, 9385–9391. [Google Scholar] [CrossRef]
- Inam, A.K.M.S.; Angeli, M.A.C.; Shkodra, B.; Douaki, A.; Avancini, E.; Magagnin, L.; Petti, L.; Lugli, P. Flexible Screen-Printed Electrochemical Sensors Functionalized with Electrodeposited Copper for Nitrate Detection in Water. ACS Omega 2021, 6, 33523–33532. [Google Scholar] [CrossRef]
- Hyusein, C.; Tsakova, V. Nitrate detection at Pd-Cu-modified carbon screen printed electrodes. J. Electroanal. Chem. 2023, 930, 117172. [Google Scholar] [CrossRef]
- Elgrishi, N.; Rountree, K.J.; McCarthy, B.D.; Rountree, E.S.; Eisenhart, T.T.; Dempsey, J.L. A Practical Beginner’s Guide to Cyclic Voltammetry. J. Chem. Educ. 2018, 95, 197–206. [Google Scholar] [CrossRef]
- Bard, A.J.; Faulkner, L.R. Electrochemical Methods: Fundamentals and Applications, New York: Wiley, 2001, 2nd ed. Russ. J. Electrochem. 2002, 38, 1364–1365. [Google Scholar] [CrossRef]
- Mumtarin, Z.; Rahman, M.M.; Marwani, H.M.; Hasnat, M.A. Electro-kinetics of conversion of NO3− into NO2− and sensing of nitrate ions via re-duction reactions at copper immobilized plati-num surface in the neutral medium. Electrochim. Acta 2020, 346, 135994. [Google Scholar] [CrossRef]
- Grujicic, D.; Pesic, B. Electrodeposition of copper: The nucleation mechanisms. Electrochim. Acta 2022, 47, 2901–2912. [Google Scholar] [CrossRef]
- Ngamchuea, K. An overview of the voltammetric behaviour of Cu single-crystal electrodes. Curr. Opin. Electrochem. 2023, 37, 101193. [Google Scholar] [CrossRef]
- Lotfi Zadeh Zhad, H.R.; Lai, R.Y. Comparison of nanostructured silver-modified silver and carbon ultramicroelectrodes for electro-chemical detection of nitrate. Anal. Chim. Acta 2015, 892, 153–159. [Google Scholar] [CrossRef] [PubMed]
- Zhao, Y.; Liu, Y.; Zhang, Z.; Mo, Z.; Wang, C.; Gao, S. Flower-like open-structured polycrystalline copper with synergistic multi-crystal plane for efficient electrocatalytic reduction of nitrate to ammonia. Nano Energy 2022, 97, 107124. [Google Scholar] [CrossRef]
- Chen, D.-J.; Lu, Y.-H.; Wang, A.-J.; Feng, J.-J.; Huo, T.-T.; Dong, W.-J. Facile synthesis of ultra-long Cu microdendrites for the electrochemical detection of glucose. J. Solid State Electrochem. 2012, 16, 1313–1321. [Google Scholar] [CrossRef]
- Zhang, R.; Zhang, S.; Cui, H.; Guo, Y.; Li, N.; Zhi, C. Electrochemical nitrate reduction to ammonia using copper-based electrocatalysts. Next Energy 2024, 4, 100125. [Google Scholar] [CrossRef]
- Patil, S.B.; Liu, T.-R.; Chou, H.-L.; Huang, Y.-B.; Chang, C.-C.; Chen, Y.-C.; Lin, Y.-S.; Li, H.; Lee, Y.-C.; Chang, Y.J.; et al. Electrocatalytic Reduction of NO3− to Ultrapure Ammonia on {200} Facet Dominant Cu Nanodendrites with High Conversion Faradaic Efficiency. J. Phys. Chem. Lett. 2021, 12, 8121–8128. [Google Scholar] [CrossRef] [PubMed]
- Shih, Y.J.; Wu, Z.L.; Huang, Y.H.; Huang, C.P. Electrochemical nitrate reduction as affected by the crystal morphology and facet of copper nanoparticles supported on nickel foam electrodes (Cu/Ni). Chem. Eng. J. 2020, 383, 123157. [Google Scholar] [CrossRef]
- Qin, J.; Chen, L.; Wu, K.; Wang, X.; Zhao, Q.; Li, L.; Liu, B.; Ye, Z. Electrochemical Synthesis of Ammonium from Nitrates via Surface Engineering in Cu2O(100) Facets. ACS Appl. Energy Mater. 2022, 5, 71–76. [Google Scholar] [CrossRef]
- Wang, Y.; Qin, X.; Shao, M. First-principles mechanistic study on nitrate reduction reactions on copper surfaces: Effects of crystal facets and pH. J. Catal. 2021, 400, 62–67. [Google Scholar] [CrossRef]
- Chen, L.-F.; Xie, A.-Y.; Lou, Y.-Y.; Tian, N.; Zhou, Z.-Y.; Sun, S.-G. Electrochemical synthesis of Tetrahexahedral Cu nanocrystals with high-index facets for efficient nitrate electroreduction. J. Electroanal. Chem. 2022, 907, 116022. [Google Scholar] [CrossRef]
- González-Meza, O.A.; Larios-Durán, E.R.; Gutiérrez-Becerra, A.; Casillas, N.; Escalante, J.I. Development of a Randles-Ševčík-like equation to predict the peak current of cyclic voltammetry for solid metal hexacyanoferrates. J. Solid State Electrochem. 2019, 23, 3123–3133. [Google Scholar] [CrossRef]
- Bontempelli, G.; Dossi, N.; Toniolo, R. Chemistry, Molecular Sciences and Chemical Engineering/Linear Sweep and Cyclic; Elsevier Inc.: Amsterdam, The Netherlands, 2016; pp. 1–10. [Google Scholar]
- Filimonov, E.V.; Shcherbakov, A.I. Catalytic Effect of Copper Ions on Nitrate Reduction. Prot. Met. 2004, 40, 280–285. [Google Scholar] [CrossRef]
- Farina, R.; Libertino, S. Nitrates Electrocatalytic Detection in Water by Copper Microflowers. Italian Patent 102024000005344, Requested on 11 March 2024.






Disclaimer/Publisher’s Note: The statements, opinions and data contained in all publications are solely those of the individual author(s) and contributor(s) and not of MDPI and/or the editor(s). MDPI and/or the editor(s) disclaim responsibility for any injury to people or property resulting from any ideas, methods, instructions or products referred to in the content. |
© 2024 by the authors. Licensee MDPI, Basel, Switzerland. This article is an open access article distributed under the terms and conditions of the Creative Commons Attribution (CC BY) license (https://creativecommons.org/licenses/by/4.0/).
Share and Cite
Farina, R.; D’Arrigo, G.; Alberti, A.; Scalese, S.; Capuano, G.E.; Corso, D.; Screpis, G.A.; Coniglio, M.A.; Condorelli, G.G.; Libertino, S. Copper Micro-Flowers for Electrocatalytic Sensing of Nitrate Ions in Water. Sensors 2024, 24, 4501. https://doi.org/10.3390/s24144501
Farina R, D’Arrigo G, Alberti A, Scalese S, Capuano GE, Corso D, Screpis GA, Coniglio MA, Condorelli GG, Libertino S. Copper Micro-Flowers for Electrocatalytic Sensing of Nitrate Ions in Water. Sensors. 2024; 24(14):4501. https://doi.org/10.3390/s24144501
Chicago/Turabian StyleFarina, Roberta, Giuseppe D’Arrigo, Alessandra Alberti, Silvia Scalese, Giuseppe E. Capuano, Domenico Corso, Giuseppe A. Screpis, Maria Anna Coniglio, Guglielmo G. Condorelli, and Sebania Libertino. 2024. "Copper Micro-Flowers for Electrocatalytic Sensing of Nitrate Ions in Water" Sensors 24, no. 14: 4501. https://doi.org/10.3390/s24144501
APA StyleFarina, R., D’Arrigo, G., Alberti, A., Scalese, S., Capuano, G. E., Corso, D., Screpis, G. A., Coniglio, M. A., Condorelli, G. G., & Libertino, S. (2024). Copper Micro-Flowers for Electrocatalytic Sensing of Nitrate Ions in Water. Sensors, 24(14), 4501. https://doi.org/10.3390/s24144501

