Localization Performance Analysis and Algorithm Design of Reconfigurable Intelligent Surface-Assisted D2D Systems
Abstract
1. Introduction
- We present a cooperative localization system utilizing RISs for millimeter-wave (mmWave) multi-input multi-output (MIMO) systems. In this system, UEs engage in D2D communication via RISs to facilitate localization, with the RISs serving as anchors without direct communication with BS or any access points. Leveraging RSSI and DOA methods such as ESPRIT, we extract parameters like angle and distance to establish geometric equations. The positions of UEs are then estimated by solving these equations. This proposed localization scheme not only significantly reduces the positioning pressure of the BS but also offers greater localization flexibility for UEs. Furthermore, it can serve as a supplementary means to enhance accuracy in BS-based UE localization.
- To evaluate the proposed system, we utilize the positioning error bound (PEB) of UEs as a performance metric. To accomplish this, we first calculate the Fisher information matrix (FIM) for the channel parameters. We then derive the transformation matrix between the FIMs of the channel parameters and the UEs’ positions. This allows us to determine the PEB for the UEs. With the aim of reaching the optimal performance of proposed system, we set the PEB as our objective. Since the received signal is significantly influenced by the channel state information (CSI), we innovatively propose a joint BF design of the transmitter UE’s BF and reflecting BF at RIS based on an alternating optimization algorithm. We illustrate our objective function and detail the algorithm steps of the proposed BF design to solve the function.
- The simulation results illustrate that, with the proposed BF design, our localization scheme achieves markedly superior positioning performance compared to scenarios without BF design or with random BF design. Moreover, by opting for smaller RIS sizes and an optimal number of quantization resolutions, our proposed scheme achieves positioning accuracy of meters under the condition that signal-to-noise ratio (SNR) is 30 dB. This level of accuracy typically necessitates higher power consumption or larger RIS sizes in BS-based user localization systems.
2. System Model
2.1. Channel Model
2.2. Receiver Model
2.3. Geometry Relationship
3. Localization and Its Performance Metric
3.1. Preliminary Localization
3.2. Performance Metric for Localization
4. Optimization Objective and Solutions
| Algorithm 1 The Proposed Joint Beamforming Design |
|
5. Simulation Analysis
5.1. Impact of the Joint BF Design
5.2. Impact of and
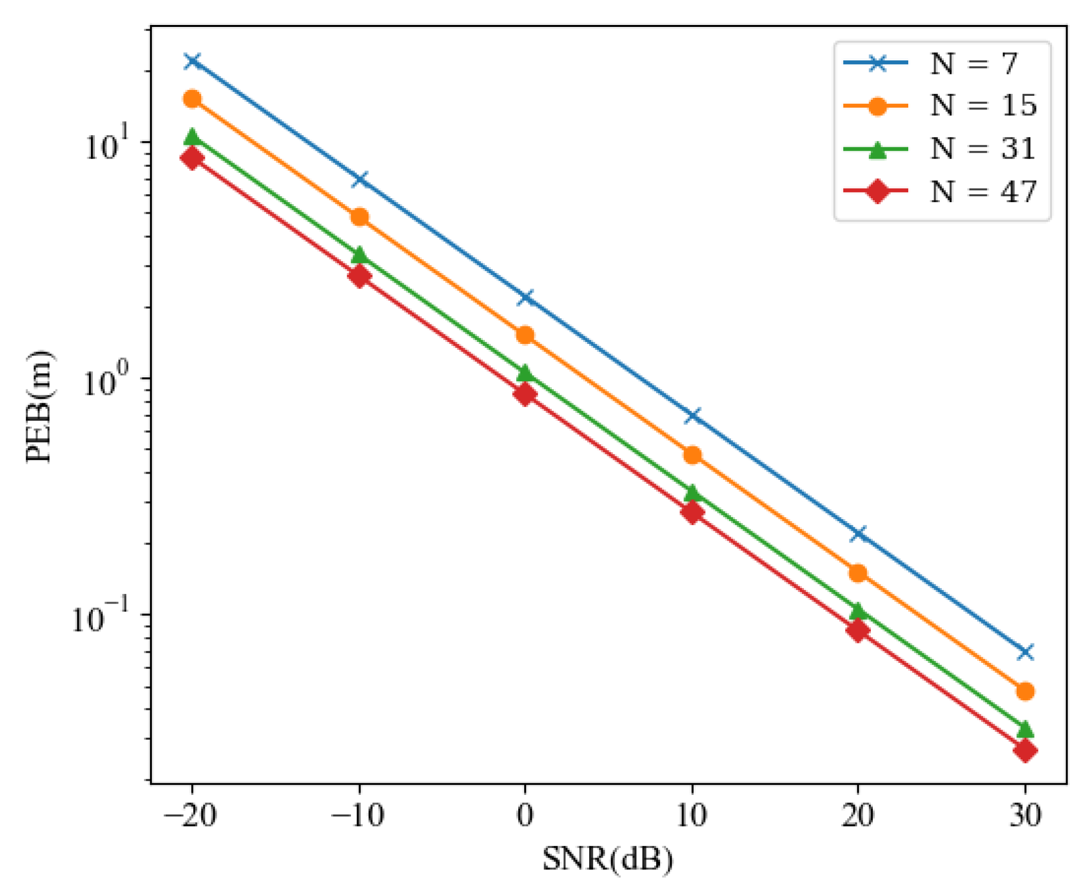
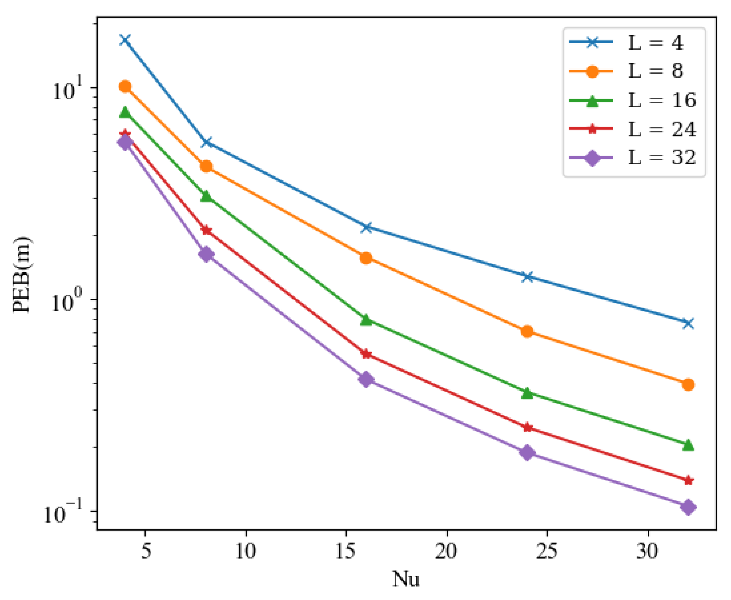
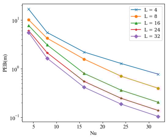
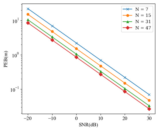
5.3. Impact of L, , and N
5.4. Impact of the Distance between UEs
5.5. Comparison
6. Conclusions
Author Contributions
Funding
Institutional Review Board Statement
Informed Consent Statement
Data Availability Statement
Conflicts of Interest
Appendix A
Appendix B
References
- Schmidt, R. Multiple emitter location and signal parameter estimation. IEEE Trans. Antennas Propag. 1986, 34, 276–280. [Google Scholar] [CrossRef]
- Roy, R.; Kailath, T. ESPRIT-estimation of signal parameters via rotational invariance techniques. IEEE Trans. Acoust. Speech Signal Process. 1989, 37, 984–995. [Google Scholar] [CrossRef]
- Xue, W.; Qiu, W.; Hua, X.; Yu, K. Improved Wi-Fi RSSI Measurement for Indoor Localization. IEEE Sens. J. 2017, 17, 2224–2230. [Google Scholar] [CrossRef]
- Tomic, S.; Beko, M.; Dinis, R. RSS-Based Localization in Wireless Sensor Networks Using Convex Relaxation: Noncooperative and Cooperative Schemes. IEEE Trans. Veh. Technol. 2015, 64, 2037–2050. [Google Scholar] [CrossRef]
- Wymeersch, H.; He, J.; Denis, B.; Clemente, A.; Juntti, M. Radio Localization and Mapping With Reconfigurable Intelligent Surfaces: Challenges, Opportunities, and Research Directions. IEEE Veh. Technol. Mag. 2020, 15, 52–61. [Google Scholar] [CrossRef]
- Li, K.; He, J.; El-Hajjar, M.; Yang, L.L. Localization in Reconfigurable Intelligent Surface Aided mmWave Systems: A Multiple Measurement Vector Based Channel Estimation Method. IEEE Trans. Veh. Technol. 2024. early access. [Google Scholar] [CrossRef]
- Wang, R.; Xing, Z.; Liu, E.; Wu, J. Joint Localization and Communication Study for Intelligent Reflecting Surface Aided Wireless Communication System. IEEE Trans. Commun. 2023, 71, 3024–3042. [Google Scholar] [CrossRef]
- Hu, X.; Liu, C.; Peng, M.; Zhong, C. IRS-Based Integrated Location Sensing and Communication for mmWave SIMO Systems. IEEE Trans. Wirel. Commun. 2023, 22, 4132–4145. [Google Scholar] [CrossRef]
- Wu, Q.; Zhang, R. Towards Smart and Reconfigurable Environment: Intelligent Reflecting Surface Aided Wireless Network. IEEE Commun. Mag. 2020, 58, 106–112. [Google Scholar] [CrossRef]
- He, J.; Wymeersch, H.; Kong, L.; Silvén, O.; Juntti, M. Large Intelligent Surface for Positioning in Millimeter Wave MIMO Systems. In Proceedings of the 2020 IEEE 91st Vehicular Technology Conference (VTC2020-Spring), Virtual, 25–28 May 2020; pp. 1–5. [Google Scholar] [CrossRef]
- Liu, Y.; Hong, S.; Pan, C.; Wang, Y.; Pan, Y.; Chen, M. Cramér-Rao Lower Bound Analysis of Multiple-RIS-Aided mmWave Positioning Systems. In Proceedings of the 2022 IEEE 33rd Annual International Symposium on Personal, Indoor and Mobile Radio Communications (PIMRC), Kyoto, Japan, 12–15 September 2022; pp. 1110–1115. [Google Scholar] [CrossRef]
- Liu, Y.; Liu, E.; Wang, R.; Geng, Y. Reconfigurable Intelligent Surface Aided Wireless Localization. In Proceedings of the ICC 2021—IEEE International Conference on Communications, Virtual, 14–23 June 2021; pp. 1–6. [Google Scholar] [CrossRef]
- Ammous, M.; Valaee, S. Cooperative Positioning with the Aid of Reconfigurable Intelligent Surfaces and Device-to-Device Communications in mmWave. In Proceedings of the 2022 IEEE 33rd Annual International Symposium on Personal, Indoor and Mobile Radio Communications (PIMRC), Kyoto, Japan, 12–15 September 2022; pp. 683–688. [Google Scholar] [CrossRef]
- Cheng, Q.; Li, L.; Zhao, M.M.; Zhao, M.J. Cooperative Localization for Reconfigurable Intelligent Surface-Aided mmWave Systems. In Proceedings of the 2022 IEEE Wireless Communications and Networking Conference (WCNC), Austin, TX, USA, 10–13 April 2022; pp. 1051–1056. [Google Scholar] [CrossRef]
- Keykhosravi, K.; Seco-Granados, G.; Alexandropoulos, G.C.; Wymeersch, H. RIS-Enabled Self-Localization: Leveraging Controllable Reflections With Zero Access Points. In Proceedings of the ICC 2022—IEEE International Conference on Communications, Seoul, Republic of Korea, 16–20 May 2022; pp. 2852–2857. [Google Scholar] [CrossRef]
- Ammous, M.; Valaee, S. Cooperative Positioning with the Aid of Reconfigurable Intelligent Surfaces and Zero Access Points. In Proceedings of the 2022 IEEE 96th Vehicular Technology Conference (VTC2022-Fall), London, UK, 26–29 September 2022; pp. 1–5. [Google Scholar] [CrossRef]
- Wu, Q.; Zhang, R. Beamforming Optimization for Wireless Network Aided by Intelligent Reflecting Surface with Discrete Phase Shifts. IEEE Trans. Commun. 2020, 68, 1838–1851. [Google Scholar] [CrossRef]
- Di, B.; Zhang, H.; Song, L.; Li, Y.; Han, Z.; Poor, H.V. Hybrid Beamforming for Reconfigurable Intelligent Surface based Multi-User Communications: Achievable Rates with Limited Discrete Phase Shifts. IEEE J. Sel. Areas Commun. 2020, 38, 1809–1822. [Google Scholar] [CrossRef]
- Kay, S.M. Fundamentals of Statistical Signal Processing: Estimation Theory; Prentice-Hall, Inc.: Englewood Cliffs, NJ, USA, 1993. [Google Scholar]
- Scharf, L.L.; Demeure, C. Statistical Signal Processing: Detection, Estimation, and Time Series Analysis; Addison-Wesley: Boston, MA, USA, 1991. [Google Scholar]
- Li, H.; Li, M.; Liu, Q.; Swindlehurst, A.L. Dynamic Hybrid Beamforming with Low-Resolution PSs for Wideband mmWave MIMO-OFDM Systems. IEEE J. Sel. Areas Commun. 2020, 38, 2168–2181. [Google Scholar] [CrossRef]








| Parameters | Values | Description |
|---|---|---|
| L | 32 | The number of reflecting antenna elements for each RIS |
| 6 | The number of control bits for each UE | |
| 6 | The number of control bits for each RIS | |
| 32 | The number of ULA antennas | |
| P | 0 dBm | The transmit power of PRS |
| The rotation angle of UE1 | ||
| The rotation angle of UE2 | ||
| N | 31 | The number of subcarriers |
| The accuracy rating of Algorithm 1 | ||
| d | 0.005 m | The spacing between antenna arrays |
| 30 GHz | The center frequency of PRS | |
| B | 100 MHz | The subcarriers bandwidth |
| c | The velocity of light | |
| 2.08 [10] | The path loss exponent | |
| −80 dBm [7] | The free space noise power |
| Points | Our Proposed | Comparison |
|---|---|---|
| Distance between transmitter and receiver | 40 m | 200 m |
| Transmission power | 0 dBm | 10 dBm |
| Transmission path | not blocked and collaborative | blocked |
| Localization performance | better | good |
| Time complexity | double the comparison | normal |
Disclaimer/Publisher’s Note: The statements, opinions and data contained in all publications are solely those of the individual author(s) and contributor(s) and not of MDPI and/or the editor(s). MDPI and/or the editor(s) disclaim responsibility for any injury to people or property resulting from any ideas, methods, instructions or products referred to in the content. |
© 2024 by the authors. Licensee MDPI, Basel, Switzerland. This article is an open access article distributed under the terms and conditions of the Creative Commons Attribution (CC BY) license (https://creativecommons.org/licenses/by/4.0/).
Share and Cite
Wang, M.; Lv, T.; Huang, P.; Lin, Z. Localization Performance Analysis and Algorithm Design of Reconfigurable Intelligent Surface-Assisted D2D Systems. Sensors 2024, 24, 3694. https://doi.org/10.3390/s24113694
Wang M, Lv T, Huang P, Lin Z. Localization Performance Analysis and Algorithm Design of Reconfigurable Intelligent Surface-Assisted D2D Systems. Sensors. 2024; 24(11):3694. https://doi.org/10.3390/s24113694
Chicago/Turabian StyleWang, Mengke, Tiejun Lv, Pingmu Huang, and Zhipeng Lin. 2024. "Localization Performance Analysis and Algorithm Design of Reconfigurable Intelligent Surface-Assisted D2D Systems" Sensors 24, no. 11: 3694. https://doi.org/10.3390/s24113694
APA StyleWang, M., Lv, T., Huang, P., & Lin, Z. (2024). Localization Performance Analysis and Algorithm Design of Reconfigurable Intelligent Surface-Assisted D2D Systems. Sensors, 24(11), 3694. https://doi.org/10.3390/s24113694

