SiNx/SiO2-Based Fabry–Perot Interferometer on Sapphire for Near-UV Optical Gas Sensing of Formaldehyde in Air
Abstract
1. Introduction
2. Materials and Methods
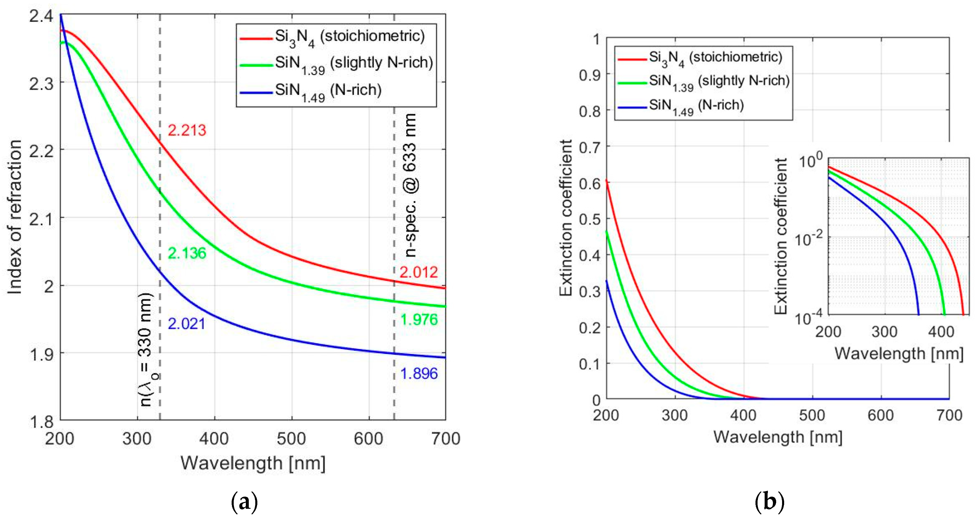
2.1. Using Silicon Nitride as an Optical Material in Near-UV
2.2. Fabry–Perot Interferometer Design
2.3. Fabrication and Measurement Setup
3. Results
4. Discussion
Author Contributions
Funding
Institutional Review Board Statement
Informed Consent Statement
Data Availability Statement
Acknowledgments
Conflicts of Interest
References
- Kim, W.J.; Terada, N.; Nomura, T.; Takahashi, R.; Lee, S.D.; Park, J.H.; Konno, A. Effect on formaldehyde on the expression of adhesion molecule in nasal microvascular endothelial cells: The role of formaldehyde in the pathogenesis of sick building syndrome. Clin. Exp. Allergy 2002, 32, 287–295. [Google Scholar] [CrossRef] [PubMed]
- Kawamura, K.; Kerman, K.; Fujihara, M.; Nagatani, N.; Hashiba, T.; Tamiya, E. Development of a novel hand-held formaldehyde gas sensor for the rapid detection of sick building syndrome. Sens. Actuators B Chem. 2005, 105, 495–501. [Google Scholar] [CrossRef]
- Persoz, C.; Achard, S.; Leleu, C.; Momas, I.; Seta, N. An in vitro model to evaluate the inflammatory response after gaseous formaldehyde exposure of lung epithelial cells. Toxicol. Lett. 2010, 195, 99–105. [Google Scholar] [CrossRef] [PubMed]
- WHO. Air Quality Guidelines, 2nd ed.; WHO Regional Office for Europe: Copenhagen, Denmark, 2001. [Google Scholar]
- Occupational Safety and Health Guideline for Formaldehyde Potential Human Carcinogen; U.S. Department of Health and Human Services: Washington, DC, USA, 1988.
- Kim, S. Control of formaldehyde and TVOC emission from wood-based flooring composites at various manufacturing processes by surface finishing. J. Hazard. Mater. 2010, 176, 14–19. [Google Scholar] [CrossRef] [PubMed]
- Nielsen, G.D.; Wolkoff, P. Cancer effects of formaldehyde: A proposal for an indoor air guideline value. Arch. Toxicol. 2010, 84, 423–446. [Google Scholar] [CrossRef] [PubMed]
- Salem, M.Z.M.; Böhm, M. Understanding of formaldehyde emissions from solid wood: An overview. BioResources 2013, 8, 4775–4790. [Google Scholar] [CrossRef]
- Salthammer, T.; Mentese, S.; Marutzky, R. Formaldehyde in the indoor environment. Chem. Rev. 2010, 110, 2536–2572. [Google Scholar] [CrossRef] [PubMed]
- SHG-Health-02.00, FSIS Environmental, Safety and Health Group. Available online: https://www.dhs.wisconsin.gov/chemical/carbondioxide.htm (accessed on 25 January 2024).
- Fan, X.; Sakamoto, M.; Shao, H.; Kuga, K.; Ito, K.; Lan, L.; Wargock, P. Emission rate of carbon dioxide while sleeping. Build. Environ. 2023, 236, 110299. [Google Scholar] [CrossRef] [PubMed]
- Winer, A.M. Long pathlength differential optical absorption spectroscopy (DOAS) measurements of gaseous HONO, NO2 and HCHO in the California South coast air basin. Res. Chem. Intermed. 1994, 20, 423–445. [Google Scholar] [CrossRef]
- Wysocki, G.; Bakhirkin, Y.; So, S.; Tittel, F.K.; Hill, C.J.; Yang, R.Q.; Fraser, M.P. Dual interband cascade laser-based trace-gas sensor for environmental monitoring. Appl. Opt. 2007, 46, 8202–8210. [Google Scholar] [CrossRef]
- Mohimann, G.R. Formaldehyde detection in air by laser induced fluorescence. Appl. Spectrosc. 1985, 39, 98–101. [Google Scholar] [CrossRef]
- Liao, W.; Winship, D.; Lara-Ibeas, I.; Zhao, X.; Xu, Q.; Lu, H.-T.; Qian, T.; Gordenker, R.; Qin, Y.; Gianchandani, Y.B. Highly integrated μGC based on a multisensing progressive cellular architecture with a valveless sample inlet. Anal. Chem. 2023, 95, 2157–2167. [Google Scholar] [CrossRef]
- Tanaka, K.; Miyamura, K.; Akishima, K.; Tonokura, K.; Konno, M. Sensitive measurements of trace gas of formaldehyde using a mid-infrared laser spectrometer with a compact multi-pass cell. Infrared Phys. Technol. 2016, 79, 1–5. [Google Scholar] [CrossRef]
- Flueckiger, J.; Ko, F.K.; Cheung, K.C. Microfabricated formaldehyde gas sensors. Sensors 2009, 9, 9196–9215. [Google Scholar] [CrossRef]
- Hodgkinson, J.; Tatam, R.P. Optical gas sensing: A review. Meas. Sci. Technol. 2013, 24, 012004. [Google Scholar] [CrossRef]
- Chung, P.R.; Tzeng, C.T.; Ke, M.T.; Lee, C.Y. Formaldehyde Gas Sensors: A Review. Sensors 2013, 13, 4468–4484. [Google Scholar] [CrossRef]
- Davenport, J.J.; Hodgkinson, J.; Saffell, J.R.; Tatam, R.P. A measurement strategy for non-dispersive ultra-violet detection of formaldehyde in indoor air: Spectral analysis and interferent gases. Meas. Sci. Technol. 2016, 27, 015802. [Google Scholar] [CrossRef]
- Nyangaresi, P.O.; Qin, Y.; Chen, G.; Zhang, B.; Lu, Y.; Shen, L. Effects of single and combined UV-LEDs on inactivation and subsequent reactivation of E. coli in water disinfection. Water Res. 2018, 147, 331–341. [Google Scholar] [CrossRef]
- Gordon, I.E.; Rothman, L.S.; Hill, S.; Kochanov, R.V.; Tan, Y.; Bernath, P.F.; Birk, M.; Boudon, V.; Campargue, A.; Chance, K.V.; et al. The HITRAN2016 Molecular Spectroscopic Database. J. Quant. Spectrosc. Radiat. Transf. 2017, 203, 3–69. Available online: https://hitran.org/ (accessed on 15 June 2021). [CrossRef]
- Keller-Rudek, H.; Moortgat, G.K.; Sander, R.; Sörensen, R. The MPI-Mainz UV/VIS spectral atlas of gaseous molecules of atmospheric interest. Earth Syst. Sci. Data 2013, 5, 365–373. Available online: www.uv-vis-spectral-atlas-mainz.org (accessed on 18 June 2021). [CrossRef]
- Seinfeld, J.H.; Pandis, S.N. Atmospheric composition, global cycles, and lifetimes. In Atmospheric Chemistry and Physics: From Air Pollution to Climate Change; John Wiley and Sons: Hoboken, NJ, USA, 1998; pp. 49–124. [Google Scholar]
- Available online: https://www.euro.who.int/__data/assets/pdf_file/0017/123083/AQG2ndEd_7_1nitrogendioxide.pdf (accessed on 9 June 2021).
- Emadi, A.; Wu, H.; de Graaf, G.; Wolffenbuttel, R.F. Design and implementation of a sub-nm resolution microspectrometer based on a Linear-Variable Optical Filter. Opt. Express 2012, 20, 489–507. [Google Scholar] [CrossRef]
- Martínez, F.L.; Toledano-Luque, M.; Gandía, J.J.; Cárabe, J.; Bohne, W.; Röhrich, J.; Strub, E.; Mártil, I. Optical properties and structure of HfO2 thin films grown by high pressure reactive sputtering. J. Phys. D Appl. Phys. 2007, 40, 5256–5265. [Google Scholar] [CrossRef]
- Pellicori, S.F.; Martinez, C.L. UV optical properties of thin-film oxide layers deposited by different processes. Appl. Optics 2011, 50, 5559–5566. [Google Scholar] [CrossRef] [PubMed]
- Thielsch, R.; Gatto, A.; Heber, J.; Kaiser, N. A comparative study of the UV optical and structural properties of SiO2, Al2O3, and HfO2 single layers deposited by reactive evaporation, ion-assisted deposition and plasma ion-assisted deposition. Thin Solid Film. 2002, 410, 86–93. [Google Scholar] [CrossRef]
- Emadi, A.; Wu, H.; de Graaf, G.; Enoksson, P.; Correia, J.H.; Wolffenbuttel, R.F. Linear variable optical filter-based ultraviolet microspectrometer. Appl. Opt. 2012, 51, 4308–4315. [Google Scholar] [CrossRef]
- Gao, L.; Lemarchand, F.; Lequime, M. Exploitation of multiple incidences spectrometric measurements for thin film reverse engineering. Opt. Express 2012, 20, 15734–15751. [Google Scholar] [CrossRef]
- Bridou, F.; Cuniot-Ponsard, M.; Desvignes, J.M.; Richter, M.; Kroth, U.; Gottwald, A. Experimental determination of optical constants of MgF2 and AlF3 thin films in the vacuum ultra-violet wavelength region (60–124 nm) and its application to optical designs. Opt. Commun. 2010, 283, 1351–1358. [Google Scholar] [CrossRef]
- Iwahori, K.; Furuta, M.; Taki, Y.; Yamamura, T.; Tanaka, A. Optical properties of fluoride thin films deposited by RF magnetron sputtering. Appl. Opt. 2006, 45, 4598–4602. [Google Scholar] [CrossRef]
- Bischoff, M.; Gäbler, D.; Kaiser, N.; Chuvilin, A.; Kaiser, U.; Tünnermann, A. Optical and structural properties of LaF3 thin films. Appl. Opt. 2008, 47, 157–161. [Google Scholar]
- Wright, D.N.; Marstein, E.S.; Rognmo, A.; Holt, A. Plasma-enhanced chemical vapour-deposited silicon nitride films; The effect of annealing on optical properties and etch rates. Sol. Energy Mater. Sol. Cells 2008, 92, 1091–1098. [Google Scholar] [CrossRef]
- Winship, D. Arrayed Integrated Photoionization Detectors for Highly Integrated Microscale Gas Chromatography Systems. Ph.D. Dissertation, University of Michigan, Ann Arbor, MI, USA, January 2024; pp. 99–122. [Google Scholar]
- Xiang, C.; Jin, W.; Bowers, J.E. Silicon nitride passive and active photonic integrated circuits: Trends and prospects. Photonics Res. 2022, 10, A82–A96. [Google Scholar] [CrossRef]
- Macleod, H.A. Thin-Film Optical Filters, 3rd ed.; Institute of Physics Publishing: Bristol, UK, 2001. [Google Scholar]
- Malitson, I.H.; Dodge, M.J. Refractive index and birefringence of synthetic sapphire. J. Opt. Soc. Am. 1972, 62, 1405. Available online: https://refractiveindex.info/tmp/data/main/Al2O3/Malitson-o.txt (accessed on 8 June 2021).
- Koks, C.; van Exter, M.P. Microcavity resonance condition, quality factor, and mode volume are determined by different penetration depths. Opt. Express 2021, 29, 6879–6889. [Google Scholar] [CrossRef]
- Babic, D.I.; Corzine, S.W. Analytic expressions for the reflection delay, penetration depth, and absorptance of quarter-wave dielectric mirrors. IEEE J. Quantum Electron. 1992, 28, 514–524. [Google Scholar] [CrossRef]
- Garmire, E. Theory of quarter-wave-stack dielectric mirrors used in a thin Fabry–Perot filter. Appl. Opt. 2003, 42, 5442–5449. [Google Scholar] [CrossRef]
- Palik, E.D.; Boukari, H.; Gammon, R.W. Experimental study on the effect of surface defects on the finesse and contrast of a Fabry-Perot interferometer. Appl. Opt. 1995, 35, 38–50. [Google Scholar] [CrossRef]
- Neumann, N.; Ebermann, M.; Hiller, K.; Kurth, S. Tunable infrared detector with integrated micromachined Fabry-Perot filter. In MOEMS and Miniaturized Systems VI; SPIE: Cergy-Pontoise, France, 2007; Volume 6466. [Google Scholar]
- Available online: https://www.oceaninsight.com/globalassets/catalog-blocks-and-images/manuals--instruction-ocean-optics/spectrometer/flameio.pdf (accessed on 8 June 2021).















| Symbol | Si3N4 | SiN1.39 | SiN1.49 | SiO2 |
|---|---|---|---|---|
| nH(λo) 1 | 2.213 | 2.136 | 2.021 | |
| nL(λo) | 1.492 | |||
| tH [nm] | 37.3 | 38.6 | 40.8 | |
| tL [nm] | 55.2 | |||
| tres(m = 14) 2 | 1200 (1216) | |||
| tres(m = 15) 2 | 1320 (1327) | |||
| tres(m = 16) 2 | 1440 (1438) |
| Design | Measured | Simulated | Mode | |||||
|---|---|---|---|---|---|---|---|---|
| λpeak [nm] | Tpeak | λFWHM [nm] | λpeak [nm] | Tpeak | λFWHM [nm] | FSRm [nm] | mder. 1 | |
| tres = 1192 nm, 300–320 nm band | 304.1 | 0.595 | 2.6 | 304.3 | 0.507 | 2.2 | ||
| 320–340 nm band | 324.9 | 0.641 | 2.2 | 324.7 | 0.593 | 1.5 | 20.8 | 14.62 |
| 340–360 nm band | 348.7 | 0.779 | 3.5 | 348.9 | 0.843 | 2.4 | 23.8 | 13.65 |
| tres = 1440 nm, 300–320 nm band | 312.2 | 0.565 | 2.0 | 312.1 | 0.565 | 1.4 | ||
| 320–340 nm band | 330.8 | 0.631 | 1.9 | 330.6 | 0.639 | 1.4 | 18.6 | 16.77 |
| 340–360 nm band | 351.8 | 0.772 | 3.1 | 351.8 | 0.862 | 2.1 | 21.0 | 15.75 |
Disclaimer/Publisher’s Note: The statements, opinions and data contained in all publications are solely those of the individual author(s) and contributor(s) and not of MDPI and/or the editor(s). MDPI and/or the editor(s) disclaim responsibility for any injury to people or property resulting from any ideas, methods, instructions or products referred to in the content. |
© 2024 by the authors. Licensee MDPI, Basel, Switzerland. This article is an open access article distributed under the terms and conditions of the Creative Commons Attribution (CC BY) license (https://creativecommons.org/licenses/by/4.0/).
Share and Cite
Wolffenbuttel, R.; Winship, D.; Bilby, D.; Visser, J.; Qin, Y.; Gianchandani, Y. SiNx/SiO2-Based Fabry–Perot Interferometer on Sapphire for Near-UV Optical Gas Sensing of Formaldehyde in Air. Sensors 2024, 24, 3597. https://doi.org/10.3390/s24113597
Wolffenbuttel R, Winship D, Bilby D, Visser J, Qin Y, Gianchandani Y. SiNx/SiO2-Based Fabry–Perot Interferometer on Sapphire for Near-UV Optical Gas Sensing of Formaldehyde in Air. Sensors. 2024; 24(11):3597. https://doi.org/10.3390/s24113597
Chicago/Turabian StyleWolffenbuttel, Reinoud, Declan Winship, David Bilby, Jaco Visser, Yutao Qin, and Yogesh Gianchandani. 2024. "SiNx/SiO2-Based Fabry–Perot Interferometer on Sapphire for Near-UV Optical Gas Sensing of Formaldehyde in Air" Sensors 24, no. 11: 3597. https://doi.org/10.3390/s24113597
APA StyleWolffenbuttel, R., Winship, D., Bilby, D., Visser, J., Qin, Y., & Gianchandani, Y. (2024). SiNx/SiO2-Based Fabry–Perot Interferometer on Sapphire for Near-UV Optical Gas Sensing of Formaldehyde in Air. Sensors, 24(11), 3597. https://doi.org/10.3390/s24113597

