Reliability of Dynamic Shoulder Strength Test Battery Using Multi-Joint Isokinetic Device
Abstract
1. Introduction
2. Materials and Methods
2.1. Participants
2.2. Experimental Design
2.3. Instruments
2.4. Procedures
2.5. Statistical Analysis
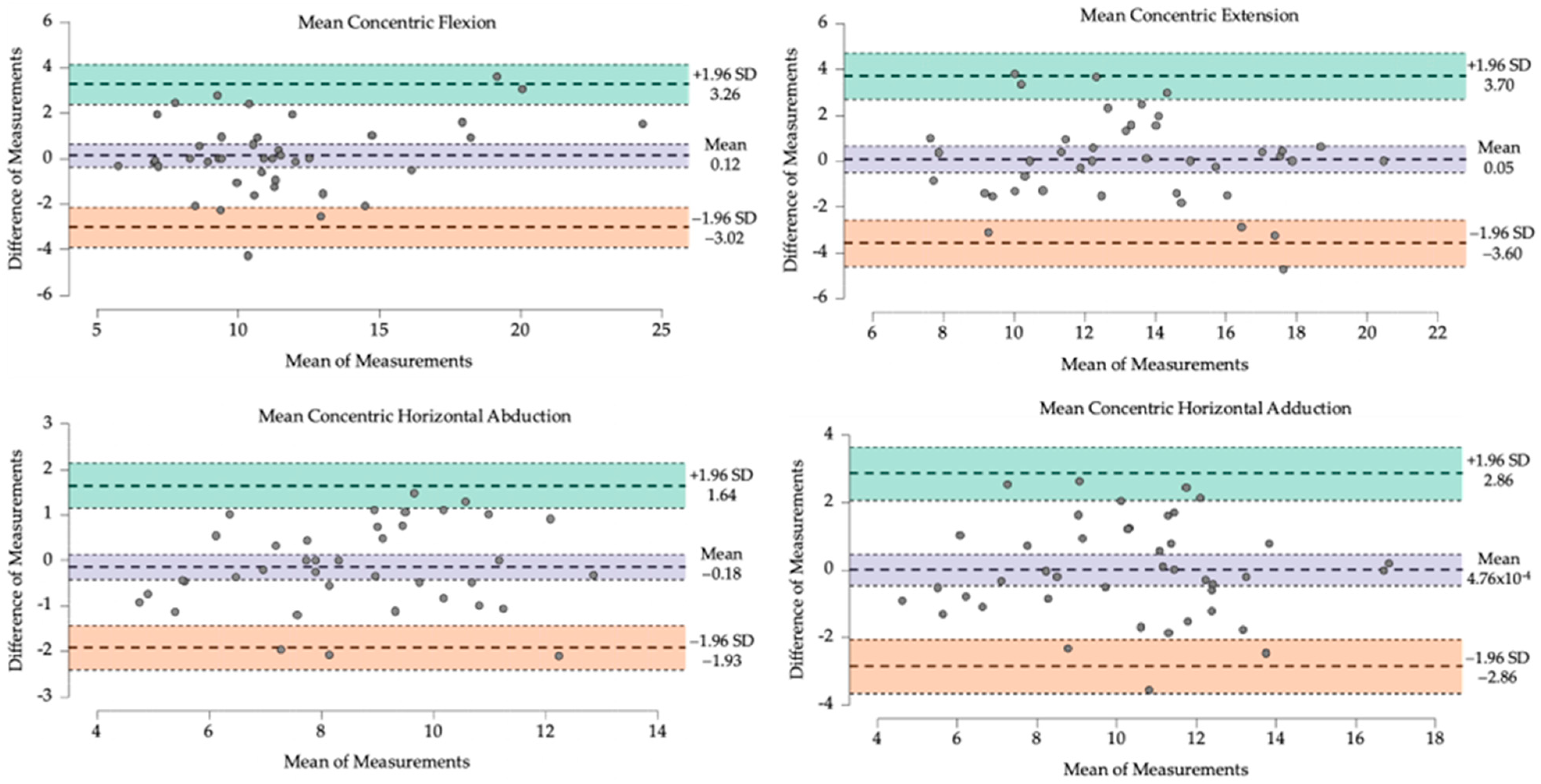
3. Results
4. Discussion
5. Conclusions
Supplementary Materials
Author Contributions
Funding
Institutional Review Board Statement
Informed Consent Statement
Data Availability Statement
Acknowledgments
Conflicts of Interest
References
- Cools, A.M.; Maenhout, A.G.; Vanderstukken, F.; Declève, P.; Johansson, F.R.; Borms, D. The Challenge of the Sporting Shoulder: From Injury Prevention through Sport-Specific Rehabilitation toward Return to Play. Ann. Phys. Rehabil. Med. 2020, 64, 101384. [Google Scholar] [CrossRef]
- Prieto, P.D.; Beltrán, A.N.; Ramírez, A.D.; Sánchez, D.L.; Cardozo, L.; Serrano, E. Evaluación de La Fuerza Muscular En Niños: Una Revisión de La Literatura. Arch. Med. 2020, 20, 449–460. [Google Scholar]
- Andrade, M.S.; Fachina, R.J.F.G.; Cruz, W.; Benedito-Silva, A.A.; da Silva, A.C.; De Lira, C.A.B. Strength Field Tests Performance Are Correlated with Isokinetic Strength of Shoulder Rotator Muscles in Female Handball Players. J. Sports Med. Phys. Fit. 2013, 54, 403–409. [Google Scholar]
- Johansson, F.R.; Skillgate, E.; Lapauw, M.L.; Clijmans, D.; Deneulin, V.P.; Palmans, T.; Cools, A.M. Measuring Eccentric Strength of the Shoulder External Rotators Using a Handheld Dynamometer: Reliability and Validity. J. Athl. Train. 2015, 50, 719–725. [Google Scholar] [CrossRef]
- Gorman, P.P.; Butler, R.J.; Plisky, P.J.; Kiesel, K.B. Upper Quarter Balance Test: Reliability and Performance Comparison Between Genders in Active Adults. J. Strength Cond. Res. 2012, 26, 3043–3048. [Google Scholar] [CrossRef]
- Pontaga, I. Shoulder External/Internal Rotation Peak Torques Ratio Side-Asymmetry, Mean Work and Power Ratios Balance Worsening Due to Different Fatigue Resistance of the Rotator Muscles in Male Handball Players. Muscles Ligaments Tendons J. 2018, 8, 513–519. [Google Scholar]
- Forthomme, B.; Dvir, Z.; Crielaard, J.M.; Croisier, J.L. Isokinetic Assessment of the Shoulder Rotators: A Study of Optimal Test Position. Clin. Physiol. Funct. Imaging 2011, 31, 227–232. [Google Scholar] [CrossRef]
- Malerba, J.L.; Adam, M.L.; Harris, B.A.; Krebs, D.E. Reliability of Dynamic and Isometric Testing of Shoulder External and Internal Rotators. J. Orthop. Sports Phys. Ther. 1993, 18, 543–552. [Google Scholar] [CrossRef]
- Edouard, P.; Codine, P.; Samozino, P.; Bernard, P.L.; Hérisson, C.; Gremeaux, V. Reliability of Shoulder Rotators Isokinetic Strength Imbalance Measured Using the Biodex Dynamometer. J. Sci. Med. Sport. 2013, 16, 162–165. [Google Scholar] [CrossRef]
- Tucci, H.T.; Martins, J.; De Carvalho Sposito, G.; Ferreira Camarini, P.M.; Siriani De Oliveira, A. Closed Kinetic Chain Upper Extremity Stability Test (CKCUES Test): A Reliability Study in Persons with and without Shoulder Impingement Syndrome. BMC Musculoskelet. Disord. 2014, 15, 1. [Google Scholar] [CrossRef]
- Dvir, Z.; Müller, S. Multiple-Joint Isokinetic Dynamometry: A Critical Review. J. Strength Cond. Res. 2020, 34, 587–601. [Google Scholar] [CrossRef]
- Rodriguez-Perea, Á.; Jerez-Mayorga, D.; García-Ramos, A.; Martínez-García, D.; Chirosa Ríos, L.J. Reliability and Concurrent Validity of a Functional Electromechanical Dynamometer Device for the Assessment of Movement Velocity. Proc. Inst. Mech. Eng. Part P J. Sports Eng. Technol. 2021, 235, 176–181. [Google Scholar] [CrossRef]
- Rodriguez-Perea, A.; Ríos, L.J.C.; Martinez-Garcia, D.; Ulloa-Díaz, D.; Rojas, F.G.; Jerez-Mayorga, D.; Rios, I.J.C. Reliability of Isometric and Isokinetic Trunk Flexor Strength Using a Functional Electromechanical Dynamometer. PeerJ 2019, 7, e7883. [Google Scholar] [CrossRef]
- Chamorro, C.; De La Fuente, C.; Jerez, D.; Campos, C.; Chirosa, L.J. Reliability of Shoulder Rotators Isometric Strength Test Using a Novel Pulley Electromechanical Dynamometer. Influence of the Assessment Position. Asian J. Sports Med. 2018, 9, e60406. [Google Scholar] [CrossRef]
- Martinez-Garcia, D.; Rodriguez-Perea, A.; Barboza, P.; Ulloa-Díaz, D.; Jerez-Mayorga, D.; Chirosa, I.; Ríos, L.J.C. Reliability of a Standing Isokinetic Shoulder Rotators Strength Test Using a Functional Electromechanical Dynamometer: Effects of Velocity. PeerJ 2020, 8, e9951. [Google Scholar] [CrossRef]
- Połyniak, K.; Lisiński, P.; Huber, J.; Romanowski, L. Isokinetic Studies for Detection of Functional Disorders in Patients with Unilateral Shoulder Impingement Syndrome. J. Med. Sci. 2014, 83, 288–293. [Google Scholar] [CrossRef]
- García-Buendía, G.; Martínez-García, D.; Jerez-Mayorga, D.; Gómez-López, M.; Chirosa-Ríos, I.J.; Chirosa-Ríos, L.J. Exploration of the Shoulder Internal Rotation’s Influence on Throwing Velocity in Handball Players: A Pilot Study. Int. J. Environ. Res. Public Health 2022, 19, 15923. [Google Scholar] [CrossRef]
- Land, H.; Gordon, S. What Is Normal Isokinetic Shoulder Strength or Strength Ratios? A Systematic Review. Isokinet. Exerc. Sci. 2011, 19, 231–241. [Google Scholar] [CrossRef]
- Hughes, R.E.; Johnson, M.E.; O’Driscoll, S.W.; An, K.N. Normative Values of Agonist-Antagonist Shoulder Strength Ratios of Adults Aged 20 to 78 Years. Arch. Phys. Med. Rehabil. 1999, 80, 1324–1326. [Google Scholar] [CrossRef]
- Brown, L.E.; Stone, M.H. Isokinetic Exercise and Human Performance. Strength Cond. J. 2000, 22, 53. [Google Scholar] [CrossRef]
- Hopkins, W.G.; Marshall, S.W.; Batterham, A.M.; Hanin, J. Progressive Statistics for Studies in Sports Medicine and Exercise Science. Med. Sci. Sports Exerc. 2009, 41, 3–12. [Google Scholar] [CrossRef]
- Hopkins, W.G. Spreadsheets for Analysis of Validity and Reliability. Sport. Sci. 2015, 19, 36–44. [Google Scholar]
- Lindström, B.; Waling, K.; Sundelin, G.; Ahlgren, C. Test-Retest Reliability of Biomechanical Output and Subjective Ratings of Exertion in Isometric and Isokinetic Shoulder Forward Flexion in Healthy Subjects. Adv. Physiother. 2003, 5, 169–178. [Google Scholar] [CrossRef]
- Mayer, F.; Horstmann, T.; Kranenberg, U.; Rocker, K.; Dickhuth, H.H. Reproducibility of Isokinetic Peak Torque and Angle at Peak Torque in the Shoulder Joint. Int. J. Sports Med. 1994, 15, 26–31. [Google Scholar] [CrossRef]
- Adsuar, J.C.; Olivares, P.R.; Parraca, J.A.; Hernández-Mocholí, M.A.; Gusi, N. Applicability and Test-Retest Reliability of Isokinetic Shoulder Abduction and Adduction in Women Fibromyalgia Patients. Arch. Phys. Med. Rehabil. 2013, 94, 444–450. [Google Scholar] [CrossRef]
- Ekstrand, E.; Lexell, J.; Brogårdh, C. Isometric and Isokinetic Muscle Strength in the Upper Extremity Can Be Reliably Measured in Persons with Chronic Stroke. J. Rehabil. Med. 2015, 47, 706–713. [Google Scholar] [CrossRef]
- Cools, A.M.; Johansson, F.R.; Borms, D.; Maenhout, A. Prevention of Shoulder Injuries in Overhead Athletes: A Science-Based Approach. Braz. J. Phys. Ther. 2015, 19, 331–339. [Google Scholar] [CrossRef]
- Fredriksen, H.; Cools, A.; Bahr, R.; Myklebust, G. Does an Effective Shoulder Injury Prevention Program Affect Risk Factors in Handball? A Randomized Controlled Study. Scand. J. Med. Sci. Sports 2020, 30, 1423–1433. [Google Scholar] [CrossRef]
- Atkinson, G.; Nevill, A.M. Statistical Methods for Assessing Measurement Error (Reliability) in Variables Relevant to Sports Medicine. Sports Med. 1998, 26, 217–238. [Google Scholar] [CrossRef]
- Hadzic, V.; Ursej, E.; Kalc, M.; Dervisevic, E. Reproducibility of Shoulder Short Range of Motion Isokinetic and Isometric Strength Testing. J. Exerc. Sci. Fit. 2012, 10, 83–89. [Google Scholar] [CrossRef]
- Sørensen, L.; Oestergaard, L.G.; van Tulder, M.; Petersen, A.K. Measurement Properties of Isokinetic Dynamometry for Assessment of Shoulder Muscle Strength: A Systematic Review. Arch. Phys. Med. Rehabil. 2021, 102, 510–520. [Google Scholar] [CrossRef] [PubMed]


| Mean ± SD | ICC | 95% CI Lower–Upper | CV (%) | SEM (%) | ES | p | ||||
|---|---|---|---|---|---|---|---|---|---|---|
| Session 1 | Session 2 | |||||||||
| Flexion | Mean Force | Concentric | 11.33 ± 4.09 | 10.90 ± 3.56 | 0.93 | 0.88–0.96 | 9.40 | 1.05 | −0.07 | 0.257 |
| Eccentric | 28.30 ± 9.76 | 28.05 ± 11.44 | 0.91 | 0.85–0.95 | 11.39 | 3.22 | −0.02 | 0.694 | ||
| Peak Force | Concentric | 24.29 ± 8.24 | 23.92 ± 9.08 | 0.80 | 0.67–0.89 | 15.88 | 3.79 | −0.10 | 0.286 | |
| Eccentric | 40.91 ± 13.12 | 40.06 ± 15.04 | 0.84 | 0.72–0.91 | 14.34 | 5.82 | −0.06 | 0.453 | ||
| Extension | Mean Force | Concentric | 12.92 ± 3.43 | 12.93 ± 3.73 | 0.87 | 0.78–0.93 | 9.89 | 1.28 | 0.01 | 0.944 |
| Eccentric | 32.95 ± 14.63 | 32.30 ± 14.27 | 0.94 | 0.89–0.96 | 11.31 | 3.72 | −0.05 | 0.394 | ||
| Peak Force | Concentric | 26.97 ± 9.88 | 26.99 ± 11.28 | 0.76 | 0.60–0.86 | 19.63 | 5.32 | −0.01 | 0.955 | |
| Eccentric | 45.66 ± 16.74 | 44.83 ± 16.86 | 0.85 | 0.75–0.92 | 14.44 | 6.57 | −0.05 | 0.509 | ||
| Abduction | Mean Force | Concentric | 8.29 ± 2.27 | 8.39 ± 2.22 | 0.92 | 0.87–0.96 | 7.56 | 0.63 | 0.06 | 0.339 |
| Eccentric | 22.64 ± 9.34 | 23.05 ± 9.86 | 0.94 | 0.89–0.96 | 10.65 | 2.47 | 0.05 | 0.391 | ||
| Peak Force | Concentric | 15.79 ± 5.55 | 16.42 ± 6.45 | 0.81 | 0.69–0.89 | 15.91 | 2.63 | 0.15 | 0.104 | |
| Eccentric | 30.11 ± 11.29 | 30.98 ± 12.15 | 0.88 | 0.79–0.93 | 13.39 | 4.15 | 0.07 | 0.329 | ||
| Adduction | Mean Force | Concentric | 9.64 ± 3.31 | 9.32 ± 3.00 | 0.90 | 0.82–0.94 | 10.37 | 1.02 | 0.03 | 0.648 |
| Eccentric | 25.72 ± 12.73 | 25.25 ± 11.71 | 0.87 | 0.78–0.93 | 17.32 | 4.46 | −0.03 | 0.629 | ||
| Peak Force | Concentric | 20.68 ± 10.53 | 19.49 ± 10.47 | 0.89 | 0.81–0.94 | 16.42 | 3.53 | 0.00 | 0.968 | |
| Eccentric | 33.68 ± 16.64 | 33.53 ± 16.00 | 0.85 | 0.75–0.91 | 18.76 | 6.44 | −0.03 | 0.629 | ||
Disclaimer/Publisher’s Note: The statements, opinions and data contained in all publications are solely those of the individual author(s) and contributor(s) and not of MDPI and/or the editor(s). MDPI and/or the editor(s) disclaim responsibility for any injury to people or property resulting from any ideas, methods, instructions or products referred to in the content. |
© 2024 by the authors. Licensee MDPI, Basel, Switzerland. This article is an open access article distributed under the terms and conditions of the Creative Commons Attribution (CC BY) license (https://creativecommons.org/licenses/by/4.0/).
Share and Cite
García-Buendía, G.; Rodríguez-Perea, Á.; Chirosa-Ríos, I.; Chirosa-Ríos, L.J.; Martínez-García, D. Reliability of Dynamic Shoulder Strength Test Battery Using Multi-Joint Isokinetic Device. Sensors 2024, 24, 3568. https://doi.org/10.3390/s24113568
García-Buendía G, Rodríguez-Perea Á, Chirosa-Ríos I, Chirosa-Ríos LJ, Martínez-García D. Reliability of Dynamic Shoulder Strength Test Battery Using Multi-Joint Isokinetic Device. Sensors. 2024; 24(11):3568. https://doi.org/10.3390/s24113568
Chicago/Turabian StyleGarcía-Buendía, Gustavo, Ángela Rodríguez-Perea, Ignacio Chirosa-Ríos, Luis Javier Chirosa-Ríos, and Darío Martínez-García. 2024. "Reliability of Dynamic Shoulder Strength Test Battery Using Multi-Joint Isokinetic Device" Sensors 24, no. 11: 3568. https://doi.org/10.3390/s24113568
APA StyleGarcía-Buendía, G., Rodríguez-Perea, Á., Chirosa-Ríos, I., Chirosa-Ríos, L. J., & Martínez-García, D. (2024). Reliability of Dynamic Shoulder Strength Test Battery Using Multi-Joint Isokinetic Device. Sensors, 24(11), 3568. https://doi.org/10.3390/s24113568
