Off-Design Operation and Cavitation Detection in Centrifugal Pumps Using Vibration and Motor Stator Current Analyses
Abstract
1. Introduction
- (1)
- It combines signal processing methods with intelligent classifiers from different families to train a robust operation diagnostic system. The resulting method is validated in a centrifugal pump and proven to be effective.
- (2)
- The operation diagnosis strategy is capable of detecting off-design operation and evaluating the severity of cavitation in centrifugal pumps.
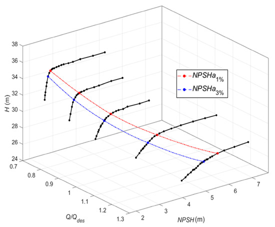
2. Theoretical Analysis
3. Signal Preprocessing and Feature Extraction
3.1. Signal Preprocessing and Feature Extraction of the Vibration Signals
- (10)
- Power spectral entropy:
- (11)
- VMD energy entropy:
- (12)
- Fuzzy entropy:
3.2. Signal Preprocessing and Feature Extraction of the Current Signals
4. Intelligent Diagnosis Algorithms
5. Experimental Section
5.1. Experimental Setup
5.2. Sensors Used in the Experiment
5.3. Experiment Process
6. Results and Discussion
6.1. Performance of the Vibration-Based Indicators
6.2. Performance of the Current-Based Indicators
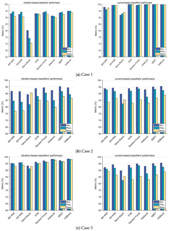
6.3. Performance of the Classifiers
6.4. Results Overview and Further Applications
7. Conclusions
Author Contributions
Funding
Institutional Review Board Statement
Informed Consent Statement
Data Availability Statement
Acknowledgments
Conflicts of Interest
References
- Gülich, J. Centrifugal Pumps, 3rd ed.; Springer: Basel, Switzerland, 2008; pp. 639–699. [Google Scholar]
- Mousmoulis, G.; Yiakopoulos, C.; Aggidis, G.; Antoniadis, I.; Anagnostopoulos, I. Application of Spectral Kurtosis on vibration signals for the detection of cavitation in centrifugal pumps. Appl. Acoust. 2021, 182, 108289. [Google Scholar] [CrossRef]
- Sun, H. Investigation on Operation Condition Detection and Fault Diagnosis for Centrifugal Pumps by Sensorless Detection Technology. Ph.D. Dissertation, Jiangsu University, Zhenjiang, China, 2018. [Google Scholar]
- Zhang, M.; Jiang, Z.; Feng, K. Research on variational mode decomposition in rolling bearings fault diagnosis of the multistage centrifugal pump. Mech. Syst. Signal Process. 2017, 93, 460–493. [Google Scholar] [CrossRef]
- Gonçalves, J.P.S.; Fruett, F.; Dalfré Filho, J.G.; Giesbrecht, M. Faults detection and classification in a centrifugal pump from vibration data using markov parameters. Mech. Syst. Signal Process. 2021, 158, 107694. [Google Scholar] [CrossRef]
- Kamiel, B. Vibration-Based Multi-Fault Diagnosis for Centrifugal Pumps. Ph.D. Dissertation, Curtin University, Bentley, Australia, 2015. [Google Scholar]
- Kumar, A.; Tang, H.; Vashishtha, G.; Xiang, J. Noise subtraction and marginal enhanced square envelope spectrum (MESES) for the identification of bearing defects in centrifugal and axial pump. Mech. Syst. Signal Process. 2022, 165, 108366. [Google Scholar] [CrossRef]
- Wu, K.; Chu, N.; Wu, D.; Antoni, J. The Enkurgram: A characteristic frequency extraction method for fluid machinery based on multi-band demodulation strategy. Mech. Syst. Signal Process. 2021, 155, 107564. [Google Scholar] [CrossRef]
- Luo, Y.; Sun, H.; Lu, J.X. Review for sensorless detection technology applied in centrifugal pumps. J. Drain. Irrig. Mach. Eng. 2015, 33, 547–552. [Google Scholar]
- Miljković, D. Brief review of motor current signature analysis. CrSNDT J. 2015, 5, 14–26. [Google Scholar]
- Poncelas, O.; Rosero, J.A.; Cusido, J.; Ortega, J.A.; Romeral, L. Motor Fault Detection Using a Rogowski Sensor Without an Integrator. IEEE Trans. Ind. Electron. 2009, 56, 4062–4070. [Google Scholar] [CrossRef]
- Kyusung, K.; Parlos, A.G.; Bharadwaj, R.M. Sensorless fault diagnosis of induction motors. IEEE Trans. Ind. Electron. 2003, 50, 1038–1051. [Google Scholar] [CrossRef]
- Lu, Y.M.; Masrur, M.A.; ZhiHang, C.; Baifang, Z. Model-based fault diagnosis in electric drives using machine learning. IEEE/ASME Trans. Mechatron. 2006, 11, 290–303. [Google Scholar]
- Bravo-Imaz, I.; Davari Ardakani, H.; Liu, Z.; García-Arribas, A.; Arnaiz, A.; Lee, J. Motor current signature analysis for gearbox condition monitoring under transient speeds using wavelet analysis and dual-level time synchronous averaging. Mech. Syst. Signal Process. 2017, 94, 73–84. [Google Scholar] [CrossRef]
- Harihara, P.P.; Parlos, A.G. Sensorless Detection of Cavitation in Centrifugal Pumps. In Proceedings of the ASME 2006 International Mechanical Engineering Congress and Exposition, Chicago, IL, USA, 5–10 November 2006. [Google Scholar]
- Hernandez-Solis, A.; Carlsson, F. Diagnosis of Submersible Centrifugal Pumps: A Motor Current and Power Signature Approaches. EPE J. 2015, 20, 58–64. [Google Scholar] [CrossRef]
- Alabied, S.; Daraz, A.; Rabeyee, K.; Alqatawneh, I.; Gu, F.; Ball, A.D. Motor Current Signal Analysis Based on Machine Learning for Centrifugal Pump Fault Diagnosis. In Proceedings of the 2019 25th International Conference on Automation and Computing (ICAC), Lancaster, UK, 5–7 November 2019. [Google Scholar]
- Popaleny, P.; Péton, N. Cryogenic Pumps Monitoring, Diagnostics and Expert Systems Using Motor Current Signature Analyses and Vibration Analyses. In Proceedings of the ASME-JSME-KSME 2019 8th Joint Fluids Engineering Conference, San Francisco, CA, USA, 28 July–1 August 2019. [Google Scholar]
- Sun, H.; Si, Q.; Chen, N.; Yuan, S. HHT-based feature extraction of pump operation instability under cavitation conditions through motor current signal analysis. Mech. Syst. Signal Process. 2020, 139, 106613. [Google Scholar] [CrossRef]
- Husna, A.; Indriawati, K.; Widjiantoro, B.L. Discriminant Feature Extraction of Motor Current Signal Analysis and Vibration for Centrifugal Pump Fault Detection. In Proceedings of the 2021 International Conference on Instrumentation, Control, and Automation (ICA), Bandung, Indonesia, 25–27 August 2021. [Google Scholar]
- Sun, H.; Lan, Q.; Si, Q.; Chen, N.; Yuan, S. Cavitation detection via motor current signal analysis for a centrifugal pump in the pumped storage pump station. J. Energy Storage 2024, 81, 110417. [Google Scholar] [CrossRef]
- Sunal, C.E.; Velisavljevic, V.; Dyo, V.; Newton, B.; Newton, J. Centrifugal Pump Fault Detection with Convolutional Neural Network Transfer Learning. Sensors 2024, 24, 2442. [Google Scholar] [CrossRef] [PubMed]
- Zou, J.; Luo, Y.; Han, Y.; Fan, Y. Research on stator current characteristics of centrifugal pumps under different mechanical seal failures. Proc. Inst. Mech. Eng. Part C J. Mech. Eng. Sci. 2022, 236, 5748–5762. [Google Scholar] [CrossRef]
- Han, Y.; Yuan, J.; Luo, Y.; Zou, J. Operation diagnosis for centrifugal pumps using stator current-based indicators. Proc. Inst. Mech. Eng. Part C J. Mech. Eng. Sci. 2023, 237, 1075–1087. [Google Scholar] [CrossRef]
- Noureddine, B.; Salah, Z.Z.; Salim, S.; Khelil, A. New Vision about the Overlap Frequencies in the MCSA-FFT Technique to Diagnose the Eccentricity Fault in the Induction Motors. In Proceedings of the 2017 5th International Conference on Electrical Engineering—Boumerdes (ICEE-B), Boumerdes, Algeria, 29–31 October 2017. [Google Scholar]
- Chudina, M. Noise as an indicator of cavitation in a centrifugal pump. Acoust. Phys. 1999, 45, 134–146. [Google Scholar] [CrossRef]
- Luo, Y.; Yuan, S.; Yuan, J.; Sun, H. Induction motor current signature for centrifugal pump load. Proc. Inst. Mech. Eng. Part C J. Mech. Eng. Sci. 2016, 230, 1890–1901. [Google Scholar] [CrossRef]
- Yacamini, R.; Smith, K.S.; Ran, L. Monitoring torsional vibrations of electro-mechanical systems using stator currents. J. Vib. Acoust. 1998, 120, 72–79. [Google Scholar] [CrossRef]
- Tang, H.; Dai, H.-L.; Du, Y. Bearing Fault Detection for Doubly fed Induction Generator Based on Stator Current. IEEE Trans. Ind. Electron. 2022, 69, 5267–5276. [Google Scholar] [CrossRef]
- Donoho, D.L. De-noising by soft-thresholding. IEEE Trans. Inf. Theory 2002, 41, 613–627. [Google Scholar] [CrossRef]
- Martin-Diaz, I.; Morinigo-Sotelo, D.; Duque-Perez, O.; Romero-Troncoso, R.J. An Experimental Comparative Evaluation of Machine Learning Techniques for Motor Fault Diagnosis under Various Operating Conditions. IEEE Trans. Ind. Appl. 2018, 54, 2215–2224. [Google Scholar] [CrossRef]
- Yu, Y.; Yu, D.; Cheng, J. A roller bearing fault diagnosis method based on EMD energy entropy and ANN. J. Sound Vib. 2006, 294, 269–277. [Google Scholar] [CrossRef]
- Dragomiretskiy, K.; Zosso, D. Variational Mode Decomposition. IEEE Trans. Signal Process. 2014, 62, 531–544. [Google Scholar] [CrossRef]
- Kumar, A.; Zhou, Y.; Xiang, J. Optimization of VMD using kernel-based mutual information for the extraction of weak features to detect bearing defects. Measurement 2021, 168, 108402. [Google Scholar] [CrossRef]
- Li, H.; Liu, T.; Wu, X.; Chen, Q. An optimized VMD method and its applications in bearing fault diagnosis. Measurement 2020, 166, 108185. [Google Scholar] [CrossRef]
- Zheng, J.; Pan, H.; Tong, J.; Liu, Q. Generalized refined composite multiscale fuzzy entropy and multi-cluster feature selection based intelligent fault diagnosis of rolling bearing. ISA Trans 2022, 123, 136–151. [Google Scholar] [CrossRef]
- Ouerghemmi, N.; Salem, S.B.; Salah, M.; Bacha, K.; Chaari, A. V-belt fault detection using Extended Park Vector Approach (EPVA) in centrifugal fan driven by an induction motor. Mech. Syst. Signal Process. 2023, 200, 110566. [Google Scholar] [CrossRef]
























| Device | Parameter | Value |
|---|---|---|
| Y160M-2 B3 three-phase asynchronous motor (Manufacturer: Shanghai Qisheng Machinery Equipment Co., Ltd.; Shanghai; China) | Rated voltage | 380 V |
| Rated speed | 2980 rpm | |
| Rated power | 15 kW | |
| Efficiency | 89.4% | |
| Power factor | 0.8 | |
| IS-65-50-160-00 centrifugal pump | Impeller inlet diameter | 74 mm |
| Impeller outlet diameter | 174 mm | |
| Blade width | 12 mm | |
| Blade number | 6 | |
| Rated flow | 50 m3/h | |
| Rated head | 34 m | |
| Rated speed | 2980 rpm | |
| Efficiency | 72.8% | |
| Specific speed | 0.8 |
| Device | Parameter | Value |
|---|---|---|
| SGDN-50 torque transducer | Measurement range | 0 ± 50 N∙m |
| Frequency output | 5–15 kHz | |
| Precision | 0.3% | |
| WBI021F27-1.0 Hall-effect current sensors | Measurement range | AC/DC 0–40 A |
| Response time | 10 μs | |
| Precision | 1.0% | |
| 356A02 accelerometer | Measurement range | ±500 g pk |
| Sensitivity | 10 mV/g | |
| Frequency range (±5%) | 1–5000 Hz | |
| Broadband resolution | 0.0005 g rms | |
| LDG-SIN-CN65-Z2 electromagnetic flowmeter | Measurement range | 0–100 m3/h |
| Precision | 0.5% | |
| WIKA S-10 pressure sensors | Measurement range | Inlet: 0–1.6 bar/Outlet: 0–4 bar |
| Precision | 0.2% |
| Vibration-Based Classifiers | Current-Based Classifiers | Information Fusion-Based Classifiers | |
|---|---|---|---|
| (a) Accuracy | |||
| MD-KNN | 90.95% | 91.59% | 91.91% |
| ED-KNN | 91.32% | 92.35% | 92.72% |
| Naive Bayes | 89.51% | 90.39% | 92.94% |
| SVM | 93.07% | 93.24% | 98.03% |
| Random Forest | 92.82% | 93.61% | 97.34% |
| Adaboost | 93.78% | 94.57% | 98.40% |
| GBDT | 93.07% | 93.88% | 98.06% |
| XGBoost | 93.70% | 94.15% | 98.55% |
| (b) Precision | |||
| MD-KNN | 92.52% | 88.87% | 92.92% |
| ED-KNN | 91.98% | 92.43% | 94.35% |
| Naive Bayes | 89.20% | 89.86% | 92.18% |
| SVM | 92.90% | 92.50% | 98.15% |
| Random Forest | 92.30% | 93.00% | 97.43% |
| Adaboost | 93.98% | 94.50% | 98.43% |
| GBDT | 92.88% | 93.05% | 97.63% |
| XGBoost | 93.33% | 93.68% | 98.35% |
| (c) Sensitivity | |||
| MD-KNN | 86.35% | 87.60% | 88.89% |
| ED-KNN | 86.55% | 89.64% | 89.32% |
| Naive Bayes | 92.61% | 88.22% | 95.66% |
| SVM | 91.84% | 89.32% | 97.48% |
| Random Forest | 91.43% | 90.44% | 96.31% |
| Adaboost | 92.24% | 91.71% | 97.23% |
| GBDT | 91.34% | 91.71% | 97.05% |
| XGBoost | 92.39% | 91.66% | 97.22% |
Disclaimer/Publisher’s Note: The statements, opinions and data contained in all publications are solely those of the individual author(s) and contributor(s) and not of MDPI and/or the editor(s). MDPI and/or the editor(s) disclaim responsibility for any injury to people or property resulting from any ideas, methods, instructions or products referred to in the content. |
© 2024 by the authors. Licensee MDPI, Basel, Switzerland. This article is an open access article distributed under the terms and conditions of the Creative Commons Attribution (CC BY) license (https://creativecommons.org/licenses/by/4.0/).
Share and Cite
Han, Y.; Zou, J.; Presas, A.; Luo, Y.; Yuan, J. Off-Design Operation and Cavitation Detection in Centrifugal Pumps Using Vibration and Motor Stator Current Analyses. Sensors 2024, 24, 3410. https://doi.org/10.3390/s24113410
Han Y, Zou J, Presas A, Luo Y, Yuan J. Off-Design Operation and Cavitation Detection in Centrifugal Pumps Using Vibration and Motor Stator Current Analyses. Sensors. 2024; 24(11):3410. https://doi.org/10.3390/s24113410
Chicago/Turabian StyleHan, Yuejiang, Jiamin Zou, Alexandre Presas, Yin Luo, and Jianping Yuan. 2024. "Off-Design Operation and Cavitation Detection in Centrifugal Pumps Using Vibration and Motor Stator Current Analyses" Sensors 24, no. 11: 3410. https://doi.org/10.3390/s24113410
APA StyleHan, Y., Zou, J., Presas, A., Luo, Y., & Yuan, J. (2024). Off-Design Operation and Cavitation Detection in Centrifugal Pumps Using Vibration and Motor Stator Current Analyses. Sensors, 24(11), 3410. https://doi.org/10.3390/s24113410

