Enhancing Linearity of Light Response in Avalanche Photodiodes by Suppressing Electrode Size Effect
Abstract
1. Introduction
2. Materials and Methods
3. Results and Discussion
3.1. What Reduces the Linearity
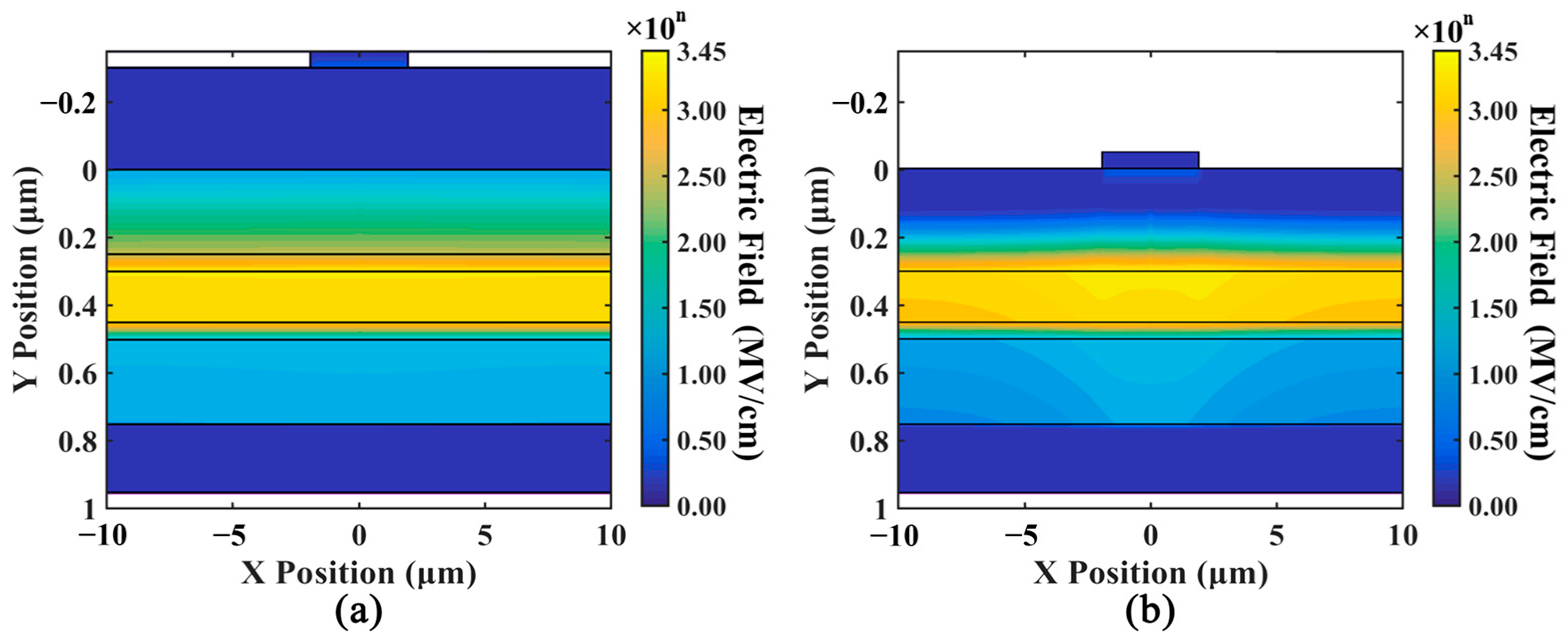
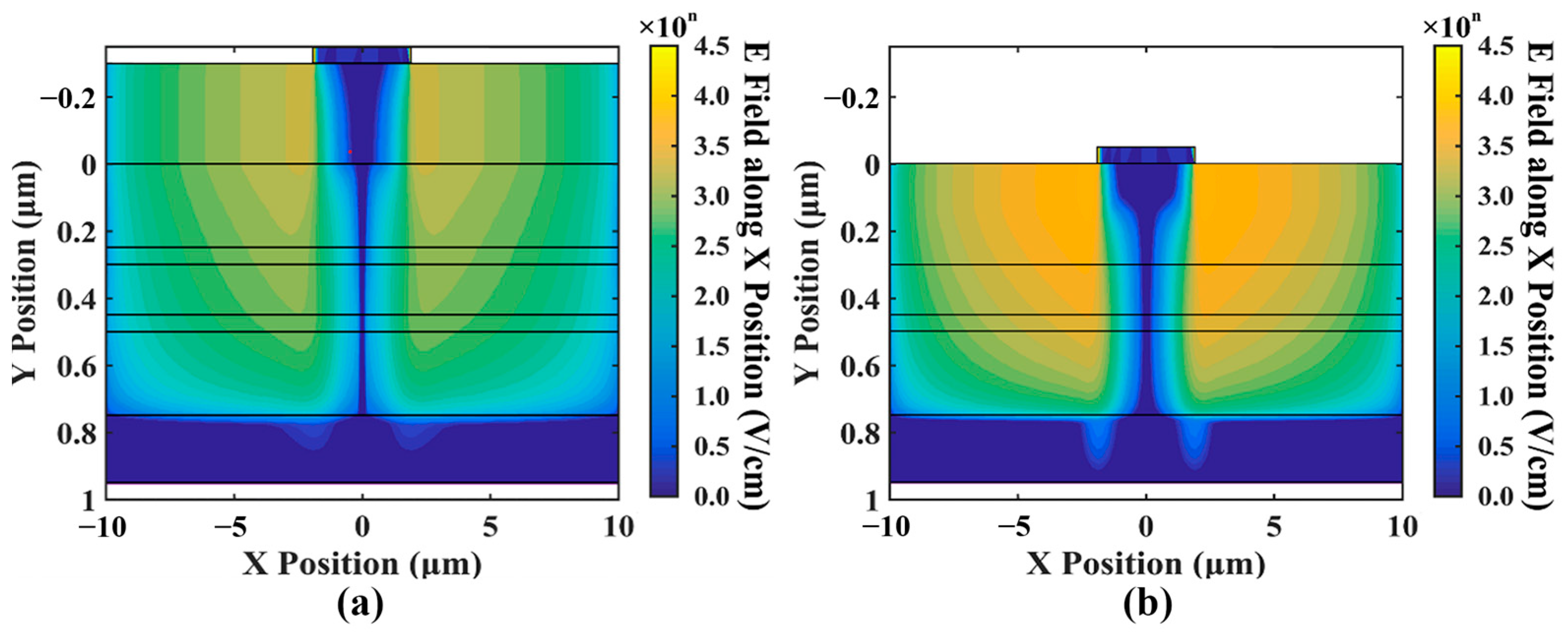
3.2. What Causes the Electrode Size Effect
3.3. A Model for Interpretation
3.4. Verification on Ring Electrodes
3.5. Improved Design
4. Conclusions
Author Contributions
Funding
Institutional Review Board Statement
Informed Consent Statement
Data Availability Statement
Acknowledgments
Conflicts of Interest
Appendix A
| Parameters (GaN) | Units | Electron | Hole |
|---|---|---|---|
| 3.4 | 3.4 | ||
| 9.5 | 9.5 | ||
| Density of states N | |||
| 400 | 8 | ||
| 0.222 | 0.989 | ||
| s | |||
| 2 | 2 | ||
References
- Mu, Y.; Wang, C.; Ren, J.; Zhu, Y. Evaluation and experimental comparisons of different photodetector receivers for visible light communication systems under typical scenarios. Opt. Eng. 2021, 60, 096101. [Google Scholar] [CrossRef]
- Sato, K.; Hosoda, T.; Watanabe, Y.; Wada, S.; Iriguchi, Y.; Makita, K.; Shono, A.; Shimizu, J.; Sakamoto, K.; Watanabe, I.; et al. Record highest sensitivity of 28.0 dBm at 10 Gb/s achieved by newly developed extremely-compact superlattice-APD module with TIA-IC. In Proceedings of the Optical Fiber Communication Conference and Exhibit, Anaheim, CA, USA, 17–22 March 2002. [Google Scholar]
- Hoon, J.; Minkyu, C.; Xu, Z.; Frank, M.; Nepomuk, O.; Shen, S.; Theeradetch, D.; Dupuis, R. Ion-implanted Al0.6Ga0.4N deep-ultraviolet avalanche photodiodes. Appl. Phys. Lett. 2023, 12, 123. [Google Scholar]
- Lee, H.H.; Doo, K.-H.; Mun, S.-G.; Kim, K.; Lee, J.H.; Kang, S.-K.; Park, H.; Park, N.; Park, H.; Chung, H.S. Real-time demonstration of QoS guaranteed 25-Gb/s PON prototype with Ethernet-PON MAC/PHY and cost-effective APD receivers for 100-Gb/s access networks. Opt. Express 2016, 24, 13984–13991. [Google Scholar] [CrossRef]
- Milovančev, D.; Brandl, P.; Jukić, T.; Steindl, B. Optical wireless APD receivers in 0.35 µm HV CMOS technology with large detection area. Opt. Express 2019, 27, 11930–11945. [Google Scholar] [CrossRef] [PubMed]
- Gnauck, A.; Iannone, P.; van Veen, D.; Houtsma, V. 4 × 40-Gb/s TWDM PON downstream transmission over 42 km and 64-way power split using optical duobinary signals and an APD-based receiver. Opt. Express 2015, 23, 24133–24139. [Google Scholar] [CrossRef] [PubMed]
- Sun, W.; Fu, Y.; Lu, Z.; Campbell, J. Study of bandwidth enhancement and non-linear behavior in avalanche photodiodes under high power condition. J. Appl. Phys. 2013, 113, 044509. [Google Scholar] [CrossRef]
- Nada, M.; Hoshi, T.; Yamazaki, H.; Hashimoto, T.; Matsuzaki, H. Linearity improvement of high-speed avalanche photodiodes using thin depleted absorber operating with higher order modulation format. Opt. Express 2015, 23, 27715–27723. [Google Scholar] [CrossRef]
- Lee, C.; Lin, Y.; Lin, W. Analysis of temperature dependence of linearity for SiGe HBTs in the avalanche region using Volterra series. Microelectron. Reliab. 2016, 60, 20–24. [Google Scholar] [CrossRef]
- Wang, Y.; Yu, J.; Chi, N.; Chang, G. Experimental demonstration of 120-Gb/s nyquist PAM8-SCFDE for short-reach optical communication. IEEE Photon. J. 2015, 7, 7201805. [Google Scholar] [CrossRef]
- Haško, D.; Kováč, J.; Uherek, F.; Škriniarová, J.; Jakabovič, J.; Peternai, L. Avalanche photodiode with sectional InGaAsP/InP charge layer. Microelectron. J. 2006, 37, 483–486. [Google Scholar] [CrossRef]
- Beckerwerth, T.; Behrends, R.; Ganzer, F.; Runge, P.; Schell, M. Linearity Characteristics of Avalanche Photodiodes For InP Based PICs. IEEE J. Sel. Top. Quantum Electron. 2022, 28, 3803408. [Google Scholar] [CrossRef]
- Akiba, M.; Fujiwara, M.; Sasaki, M. Ultrahigh-sensitivity high-linearity photodetection system using a low-gain avalanche photodiode with an ultralow-noise readout circuit. Opt. Lett. 2005, 30, 123–125. [Google Scholar] [CrossRef] [PubMed]
- Wu, C.; Zhang, G.; Jia, J.; Hu, H.; Wu, F.; Wang, S.; Guo, D. Highly Polarization-Deep-Ultraviolet-Sensitive β-Ga2O3 Epitaxial Films by Disrupting Rotational Symmetry and Encrypted Solar-Blind Optical Communication Application. J. Phys. Chem. Lett. 2024, 15, 3828–3834. [Google Scholar] [CrossRef] [PubMed]
- Xie, F.; Yang, G.; Zhou, D.; Lu, H.; Wang, G. Frequency response and design consideration of GaN SAM avalanche photodiodes. Appl. Phys. A 2016, 122, 989. [Google Scholar] [CrossRef]
- Nada, Y.Y.M.; Matsuzaki, H. A high-linearity avalanche photodiodes with a dual-carrier injection structure. IEEE Photonics Technol. Lett. 2017, 29, 1828–1831. [Google Scholar] [CrossRef]
- Xing, H.; Zhang, J.; Liu, A.; Yang, Y. Design of high linearity InGaAs/InP avalanche photodiode with a hybrid absorption layer structure. Infrared Phys. Technol. 2019, 102, 103018. [Google Scholar] [CrossRef]
- Li, Y.; Yuan, W.; Li, K.; Duan, X.; Liu, K.; Huang, Y. InGaAs/InAlAs SAGCMCT avalanche photodiode with high linearity and wide dynamic range. Chin. Opt. Lett. 2022, 20, 022503. [Google Scholar] [CrossRef]
- Jiang, Y.; Chen, J. Optimization of the Linearity of InGaAs/InAlAs SAGCM APDs. J. Light. Technol. 2019, 37, 3459–3464. [Google Scholar] [CrossRef]
- Yang, S.; Zhou, D.; Xu, W.; Cai, X.; Lu, H.; Chen, D.; Ren, F.; Zhang, R.; Zheng, Y. 4H-SiC Ultraviolet Avalanche Photodiodes with Small Gain Slope and Enhanced Fill Factor. IEEE Photonics J. 2017, 9, 6801508. [Google Scholar] [CrossRef]
- Lee, S.; Jin, X.; Jung, H.; Lewis, H.; Liu, Y.; Guo, B.; Kodati, S.H.; Schwartz, M.; Grein, C.; Ronningen, T.J.; et al. High gain, low noise 1550 nm GaAsSb/AlGaAsSb avalanche photodiodes. Optica 2016, 10, 147–154. [Google Scholar] [CrossRef]
- Guo, S.; Zhao, X.; He, Y.; Pan, Z.; Yang, M.; Cai, Y.; Fu, X.; Zhang, L. High-Temperature Performance of the 4H-SiC n-p-n Bipolar UV Phototransistor. IEEE Sens. J. 2022, 22, 21613–21618. [Google Scholar] [CrossRef]
- Wu, L.; Zhao, D.; Deng, Y.; Jiang, D.; Zhu, J.; Wang, H.; Liu, Z.; Zhang, S.; Zhang, B.; Yang, H. Distribution of electric field and design of devices in GaN avalanche photodiodes. Sci. China Phys. Mech. Astron. 2012, 55, 619–624. [Google Scholar] [CrossRef]
- Wang, X.; Hu, W.; Pan, M.; Hou, L.; Xu, W.X.; Li, X.; Chen, X.; Lu, W. Study of gain and photoresponse characteristics for back-illuminated separate absorption and multiplication Gan avalanche photodiodes. J. Appl. Phys. 2014, 115, 013103. [Google Scholar] [CrossRef]
- Ji, D.; Chowdhury, S. On the Scope of GaN-Based Avalanche Photodiodes for Various Ultraviolet-Based Applications. Front. Mater. 2022, 9, 846418. [Google Scholar] [CrossRef]
- Wang, H.; Xia, H.; Liu, Y.; Chen, Y.; Xie, R.; Wang, Z.; Wang, P.; Miao, J.; Wang, F.; Li, T.; et al. Room-temperature low-threshold avalanche effect in stepwise van-der-Waals homojunction photodiodes. Nat. Commun. 2024, 15, 3639. [Google Scholar] [CrossRef]
- Carrano, J.C.; Lambert, D.J.H.; Eiting, C.J.; Collins, C.J.; Li, T.; Wang, S.; Yang, B.; Beck, A.L.; Dupuis, R.D.; Campbell, J.C. GaN avalanche photodiodes. Appl. Phys. Lett. 2000, 76, 924–926. [Google Scholar] [CrossRef]
- Pau, J.L.; McClintock, R.; Minder, K.; Bayram, C.; Kung, P.; Razeghi, M.; Muñoz, E.; Silversmith, D. Geiger-mode operation of back-illuminated GaN avalanche photodiodes. Appl. Phys. Lett. 2007, 91, 041104. [Google Scholar] [CrossRef]
- Shockley, W.; Read, W.T., Jr. Statistics of the Recombination of Holes and Electrons. Phys. Rev. 1952, 87, 835–842. [Google Scholar] [CrossRef]
- Joyce, W.B.; Dixon, R.W. Analytic Approximations for the Fermi Energy of an Ideal Fermi gas. Appl. Phys. Lett. 1977, 31, 354–356. [Google Scholar] [CrossRef]
- Klaassen, D.B.M.; Slotboom, J.; Graaff, H.D. Unified Apparent Bandgap Narrowing in n- and p-type Silicon. Solid-State Elect. 1992, 35, 125–129. [Google Scholar] [CrossRef]
- Hurkx, G.A.M.; Graaf, H.D.; Klosterman, W.; Knuvers, M. A Novel Compact Model Description of Reverse Biase Diode Characteristics including Tunneling. In Proceedings of the ESSDERC’90: 20th European Solid State Device Research Conference, Nottingham, UK, 10–13 September 1990; pp. 49–52. [Google Scholar]
- Overstraeten, V.; Deman, H. Measurement of the Ionization Rates in Diffused Silicon p-n Junctions. Solid-State Electron. 1970, 13, 583–608. [Google Scholar] [CrossRef]
- Keldysh, L.V. Kinetic theory of impact ionization in semiconductors. Sov. Phys. JETP 1960, 37, 509–518. [Google Scholar]
- Lina, C.; Jingshan, W.; Galen, H.; Hansheng, Y.; Roy, S.; Hoffman, A.J.; Patrick, F. Experimental characterization of impact ionization coefficients for electrons and holes in GaN grown on bulk GaN substrates. Appl. Phys. Lett. 2018, 112, 262103. [Google Scholar]













| Contact Layer | Multiplication Layer | Gap Layer | Absorption Layer | Contact Layer | |
|---|---|---|---|---|---|
| Thickness (μm) | 0.3 | 0.15 | 0.05 | 0.25 | 0.2 |
| Doping (cm−3) | 1 | 5 | 2 | 5 | 5 |
Disclaimer/Publisher’s Note: The statements, opinions and data contained in all publications are solely those of the individual author(s) and contributor(s) and not of MDPI and/or the editor(s). MDPI and/or the editor(s) disclaim responsibility for any injury to people or property resulting from any ideas, methods, instructions or products referred to in the content. |
© 2024 by the authors. Licensee MDPI, Basel, Switzerland. This article is an open access article distributed under the terms and conditions of the Creative Commons Attribution (CC BY) license (https://creativecommons.org/licenses/by/4.0/).
Share and Cite
Gan, H.; Yu, J.; Wang, X. Enhancing Linearity of Light Response in Avalanche Photodiodes by Suppressing Electrode Size Effect. Sensors 2024, 24, 3366. https://doi.org/10.3390/s24113366
Gan H, Yu J, Wang X. Enhancing Linearity of Light Response in Avalanche Photodiodes by Suppressing Electrode Size Effect. Sensors. 2024; 24(11):3366. https://doi.org/10.3390/s24113366
Chicago/Turabian StyleGan, Hongyi, Junwen Yu, and Xiangfu Wang. 2024. "Enhancing Linearity of Light Response in Avalanche Photodiodes by Suppressing Electrode Size Effect" Sensors 24, no. 11: 3366. https://doi.org/10.3390/s24113366
APA StyleGan, H., Yu, J., & Wang, X. (2024). Enhancing Linearity of Light Response in Avalanche Photodiodes by Suppressing Electrode Size Effect. Sensors, 24(11), 3366. https://doi.org/10.3390/s24113366

