Research on the Modulation Transfer Function Detection Method of a Bayer Filter Color Camera
Abstract
1. Introduction
2. Causes of the Image Quality Degradation of Bayer Filter Color Cameras
3. Improvement of the Slanted-Edge Method
3.1. Detection of Slanted-Edge
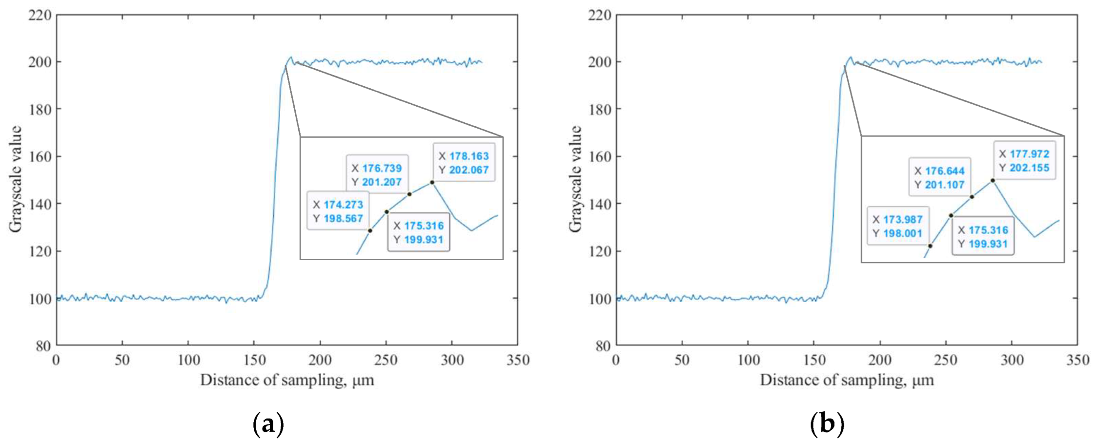
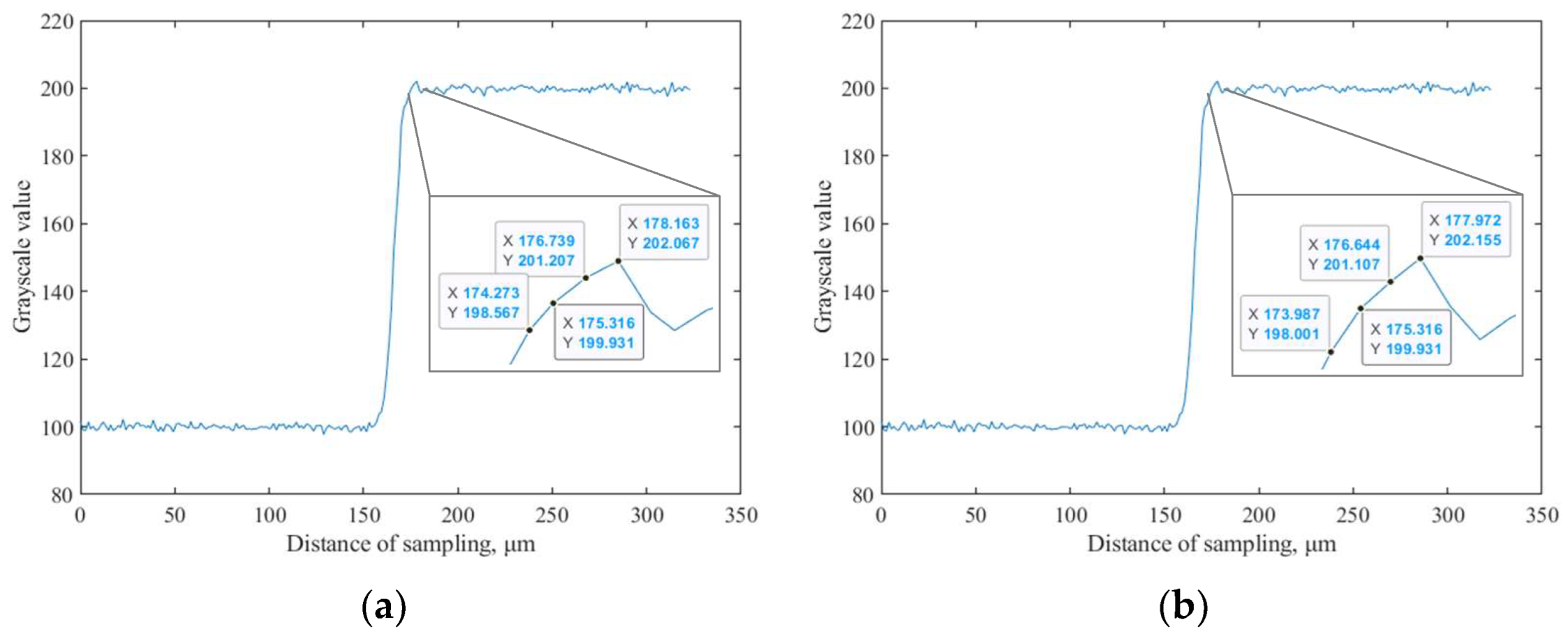
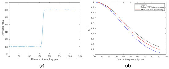
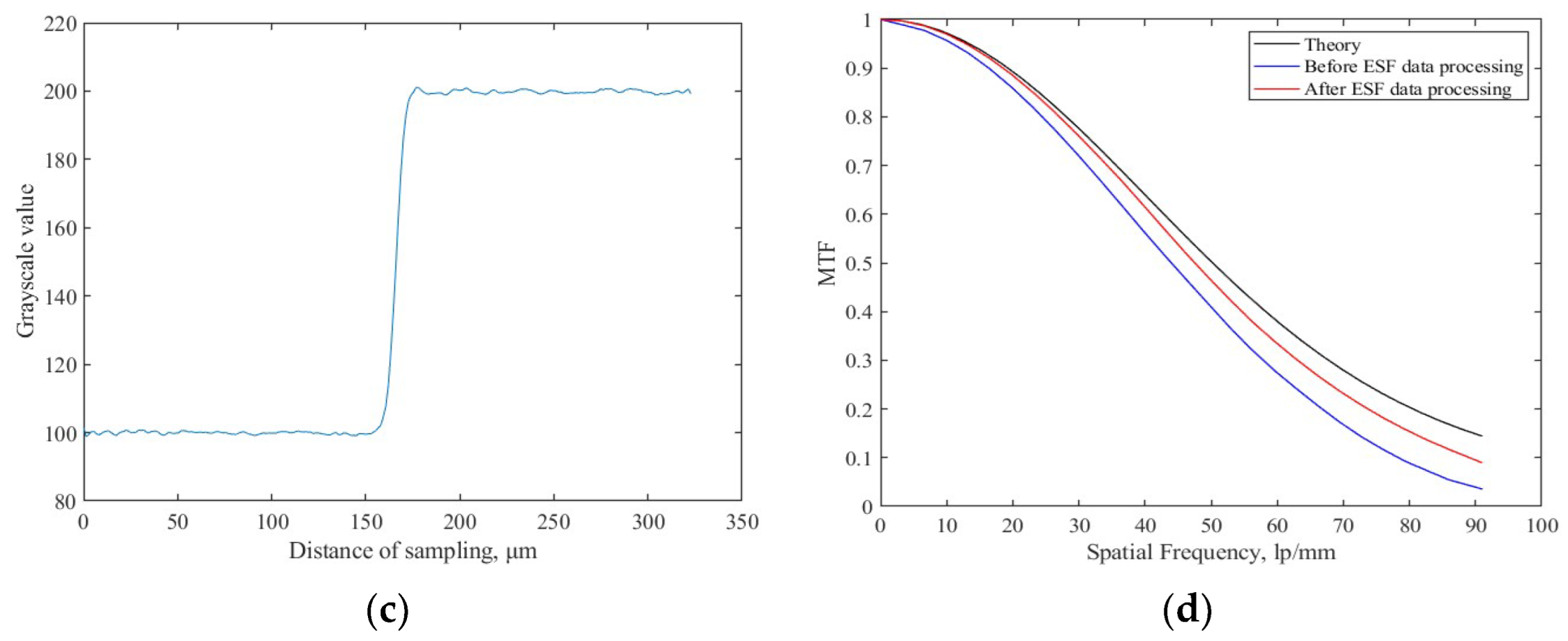
3.2. Acquisition and Processing of ESF
3.3. Acquisition and Processing of LSF
3.4. Process of the Improved Algorithm
- After the image is taken by the Bayer filter color camera, the image with the slanted edge in the appropriate position is selected;
- The method combining the improved Canny operator and the Hough transform is used to complete the detection of the slanted edge and to fit the equation of the slanted edge;
- Based on the information of the detected slanted edge, ESF data are obtained by using the projection method;
- The method of combining cubic spline interpolation and SG filtering is used to complete the uniformization and smoothing of ESF data;
- The difference operation is performed on the ESF to obtain the LSF, and the Gaussian function is fitted to the LSF to derive the smoothed LSF;
- LSF is Fourier transformed to derive the MTF.
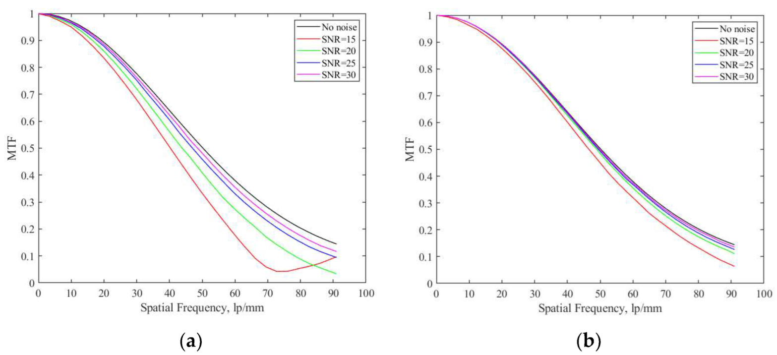
3.5. Accuracy Analysis of the Improved Algorithm
4. Experiments
4.1. Calibration of Weighting Factors of RGB Three Primary Colors
4.2. Measurement of MTF
5. Conclusions
Author Contributions
Funding
Institutional Review Board Statement
Informed Consent Statement
Data Availability Statement
Conflicts of Interest
References
- Bayer, B.E. Color Imaging Array. U.S. Patent No. 3971065, 1976. [Google Scholar]
- Bae, T.W. Image-quality metric system for color filter array evaluation. PLoS ONE 2020, 15, e0232583. [Google Scholar] [CrossRef] [PubMed]
- Feltz, J.C.; Karim, M.A. Modulation transfer function of charge-coupled devices. Appl. Opt. 1990, 29, 717–722. [Google Scholar] [CrossRef]
- Kabir, S.; Leigh, L.; Helder, D. Vicarious Methodologies to Assess and Improve the Quality of the Optical Remote Sensing Images: A Critical Review. Remote Sens. 2020, 12, 4029. [Google Scholar] [CrossRef]
- Xu, L.; Yan, C.; Gu, Z.; Li, M.; Li, C. Analysis of Dynamic Modulation Transfer Function for Complex Image Motion. Appl. Sci. 2019, 9, 5142. [Google Scholar] [CrossRef]
- Metz, C.E.; Strubler, K.A.; Rossmann, K. Choice of line spread function sampling distance for computing the MTF of radiographic screen-film systems. Phys. Med. Biol. 1972, 17, 638–647. [Google Scholar] [CrossRef] [PubMed]
- Morishita, J.; Doi, K.; Bollen, R.; Bunch, P.C.; Hoeschen, D.; Sirand-rey, G.; Sukenobu, Y. Comparison of two methods for accurate measurement of modulation transfer functions of screen-film systems. Med. Phys. 1998, 22, 193–200. [Google Scholar] [CrossRef] [PubMed]
- Sitter, D.N.; Goddard, J.S.; Ferrell, R.K. Method for the measurement of the modulation transfer function of sampled imaging systems from bar-target patterns. Appl. Opt. 1995, 34, 746–751. [Google Scholar] [CrossRef]
- Yamazaki, T.; Nokita, M.; Hayashida, S.; Inoue, H. A method to measure the presampling MTF using a novel edge test device and algorithm. Proc. SPIE Int. Soc. Opt. Eng. 2004, 5368, 696–704. [Google Scholar]
- Duan, Y.-X.; Liu, S.-K.; Chen, Y.-Q.; Xue, X.; Zhao, J.-K.; Gao, L.-M. A method to measure the modulation transfer function of Bayer filter color camera. Acta Phys. Sin. 2017, 66, 074204. [Google Scholar] [CrossRef]
- Zhang, S.; Wang, F.; Wu, X.; Gao, K. MTF Measurement by Slanted-Edge Method Based on Improved Zernike Moments. Sensors 2023, 23, 509. [Google Scholar] [CrossRef]
- ISO 12233: 2000; Photography-Electronic Still-Picture Cameras-Resolution Measurements. International Organization for Standardization: Geneva, Switzerland, 2000.
- Canny, J. A Computational Approach to Edge Detection. IEEE Trans. Pattern Anal. Mach. Intell. 1986, 8, 679–698. [Google Scholar] [CrossRef] [PubMed]
- Mcilhagga, W. The Canny Edge Detector Revisited. Int. J. Comput. Vis. 2011, 91, 251–261. [Google Scholar] [CrossRef]
- Otsu, N. A Threshold Selection Method from Gray-Level Histograms. IEEE Trans. Syst. Man Cybern. 1979, 9, 62–69. [Google Scholar] [CrossRef]
- Hough, P.V.C. General purpose visual input for a computer*. Ann. N. Y. Acad. Sci. 1962, 99, 323–334. [Google Scholar] [CrossRef] [PubMed]
- Duda, R.O.; Hart, P.E. Use of the Hough transformation to detect lines and curves in pictures. Commun. ACM 1972, 15, 11–15. [Google Scholar] [CrossRef]
- Dongfeng, R.; Qiubing, W.; Fujun, S. A fast and effective algorithm based on improved hough transform. J. Indian Soc. Remote Sens. 2016, 44, 465–469. [Google Scholar] [CrossRef]
- Righini, A. Modulation Transfer Function for Solar Telescopes and Atmosphere Turbulence. Sol. Phys. 1972, 25, 242–251. [Google Scholar] [CrossRef]
- Yotam, E.; Ephi, P.; Ami, Y. MTF for Bayer Pattern Color Detector. In Signal Processing, Sensor Fusion, and Target Recognition XVI; SPIE: Orlando, FL, USA, 2007; Volume 6567. [Google Scholar]
- Volyar, A.V.; Egorov, Y.A.; Rubass, A.F.; Fadeeva, T.A. Fine Structure of “White” Optical Vortices in Crystals. Tech. Phys. Lett. 2004, 30, 701–704. [Google Scholar] [CrossRef]
- Wang, C.; Liu, C.; Zhang, Y.; Hu, H.; Liu, S. Image blur analysis and elimination algorithm for an MTF test target of a space camera. Appl. Opt. 2022, 61, 1440–1449. [Google Scholar] [CrossRef]
- Li, L.; Li, Z.; Wang, Z.; Jiang, Y.; Shen, X.; Wu, J. On-Orbit Relative Radiometric Calibration of the Bayer Pattern Push-Broom Sensor for Zhuhai-1 Video Satellites. Remote Sens. 2023, 15, 377. [Google Scholar] [CrossRef]
- Xia, M.; Wang, C.; Ge, W. Weights-Based Image Demosaicking Using Posteriori Gradients and the Correlation of R–B Channels in High Frequency. Symmetry 2019, 11, 600. [Google Scholar] [CrossRef]
- Cok, D.R. Signal Processing Method and Apparatus for Producing Interpolated Chrominance Values in a Sampled Color Image Signal. U.S. Patent No. 4642678, 1987. [Google Scholar]
- Hibbard, R.H. Apparatus and Method for Adaptively Interpolating a Full Color Image Utilizing Luminance Gradients. U.S. Patent No. 5382976, 1995. [Google Scholar]



















| Methods | ISO 12233 Method | Adaptive Filtering + ISO 12233 | Fermi Function Method | Improved Method | |
|---|---|---|---|---|---|
| SNR/dB | |||||
| 15 | 0.0384 | 0.0144 | 0.0132 | 0.0061 | |
| 20 | 0.0228 | 0.0085 | 0.0063 | 0.0010 | |
| 25 | 0.0022 | 0.0013 | 0.0009 | 0.0006 | |
| 30 | 0.0008 | 0.0005 | 0.0004 | 0.0003 | |
| Parameters | Values |
|---|---|
| Size of image | 120 × 60 pixels |
| Size of pixel | 5.5 μm |
| Angle of slanted-edge | 15° |
| DN * value of the bright side | 200 |
| DN value of the dark side | 100 |
| Variance of the Gaussian function as a low-pass filter | 2 |
| Methods | ISO 12233 Method | After ESF Data Processing | |
|---|---|---|---|
| SNR/dB | |||
| 15 | — | 0.010296 | |
| 20 | 0.006592 | 0.001212 | |
| 25 | 0.001387 | 0.000182 | |
| 30 | 0.000376 | 0.000085 | |
| Methods | ISO 12233 Method | Improved Method | |
|---|---|---|---|
| SNR/dB | |||
| 15 | — | 0.002452 | |
| 20 | 0.007035 | 0.000675 | |
| 25 | 0.001465 | 0.000101 | |
| 30 | 0.000399 | 0.000027 | |
| Test Devices | Parameters | Type/Model |
|---|---|---|
| Integrating sphere | Spherical diameter: 200 mm | LY-FP-JFQ200 |
| Diameter of light outlet: 50 mm | ||
| Slanted-edge target | Diameter: 25 mm | Self-developed |
| Thickness: 3 mm | ||
| Collimator | Focal length: 15,000 mm | Self-developed |
| Aperture: 400 mm | ||
| Bayer filter detector | Spectral range: 380~780 nm | GMAX1205 |
| Pixel size: 5.5 μm × 5.5 μm | ||
| Optical lens | Focal length: 1850 mm | Self-developed |
| Aperture: 210 mm |
| Methods | Detection Result of θ | MTF of fN/2 | MTF of fN |
|---|---|---|---|
| ISO 12233 method | 19.7961 | 0.0501 | — |
| Improved method | 19.9594 | 0.1017 | 0.0310 |
Disclaimer/Publisher’s Note: The statements, opinions and data contained in all publications are solely those of the individual author(s) and contributor(s) and not of MDPI and/or the editor(s). MDPI and/or the editor(s) disclaim responsibility for any injury to people or property resulting from any ideas, methods, instructions or products referred to in the content. |
© 2023 by the authors. Licensee MDPI, Basel, Switzerland. This article is an open access article distributed under the terms and conditions of the Creative Commons Attribution (CC BY) license (https://creativecommons.org/licenses/by/4.0/).
Share and Cite
Fan, Y.-P.; Wei, L.; Li, L.; Yang, L.; Hu, Z.-Q.; Zheng, Y.-H.; Wang, Y.-H. Research on the Modulation Transfer Function Detection Method of a Bayer Filter Color Camera. Sensors 2023, 23, 4446. https://doi.org/10.3390/s23094446
Fan Y-P, Wei L, Li L, Yang L, Hu Z-Q, Zheng Y-H, Wang Y-H. Research on the Modulation Transfer Function Detection Method of a Bayer Filter Color Camera. Sensors. 2023; 23(9):4446. https://doi.org/10.3390/s23094446
Chicago/Turabian StyleFan, Yuan-Peng, Lei Wei, Lin Li, Lin Yang, Zi-Qiang Hu, Yuan-Hao Zheng, and Yu-Hao Wang. 2023. "Research on the Modulation Transfer Function Detection Method of a Bayer Filter Color Camera" Sensors 23, no. 9: 4446. https://doi.org/10.3390/s23094446
APA StyleFan, Y.-P., Wei, L., Li, L., Yang, L., Hu, Z.-Q., Zheng, Y.-H., & Wang, Y.-H. (2023). Research on the Modulation Transfer Function Detection Method of a Bayer Filter Color Camera. Sensors, 23(9), 4446. https://doi.org/10.3390/s23094446

