Development of a Particle Filter-Based Path Tracking Algorithm of Autonomous Trucks with a Single Steering and Driving Module Using a Monocular Camera
Abstract
1. Introduction
Literature Review
2. Particle-Filter-Based Path Tracking Algorithm
2.1. Particle-Filter-Based Path Tracking Error Derivation Using Monocular Camera
2.2. Steering and Driving Control Algorithm for Path Tracking
2.3. Autonomous Truck with Single Driving Module
3. Performance Evaluation
3.1. Path Tracking Scenario: Ellipse Path Tracking
3.2. Path Tracking Scenario: S-Curved Path Tracking
3.3. Path Tracking Scenario: Lane-Change
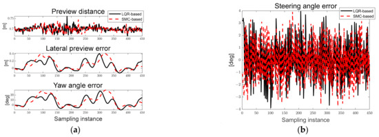
3.4. Comparison of LQR- and SMC-Based Path Tracking Performance
4. Summary and Conclusions
4.1. Summary
- The proposed path tracking method is an attempt to develop particle-filter-based target RGB tracking using a monocular camera.
- An autonomous truck with a single steering and driving module was developed, and its path tracking performance was evaluated.
4.2. Conclusions
Supplementary Materials
Author Contributions
Funding
Institutional Review Board Statement
Informed Consent Statement
Data Availability Statement
Conflicts of Interest
References
- Than, L.; Yan, F.; Zou, B.; Wang, K.; Lv, C. An Improved Kinematic Model Predictive Control for High-Speed Path Tracking of Autonomous Vehicles. IEEE Access 2020, 8, 51400–51413. [Google Scholar]
- Lee, K.; Jeon, S.; Kim, H.; Kum, D. Optimal Path Tracking Control of Autonomous Vehicle: Adaptive Full-State Linear Quadratic Gaussian (LQG) Control. IEEE Access 2019, 7, 109120–109133. [Google Scholar] [CrossRef]
- Taghavifar, H.; Rakheja, S. Path Tracking of Autonomous Vehicles Using a Novel Adaptive Robust Exponential-Like-Sliding-Mode Fuzzy Type-2 Neural Network Controller. Mech Syst. Signal. Process. 2019, 130, 41–55. [Google Scholar] [CrossRef]
- Awad, N.; Lasheen, A.; Elnaggar, M.; Kamel, A. Model Predictive Control with Fuzzy Logic Switching for Path Tracking of Autonomous Vehicles. ISA Trans. 2022, 129, 193–205. [Google Scholar] [CrossRef] [PubMed]
- Mishra, P.; Agrawal, P.; Dhar, N.; Verma, N. On Adaptive Control for AGV with Vision Sensor as an Unknown Nonlinear System. Comput. Intell. Theor. Appl. Future Dir. 2019, 2, 265–277. [Google Scholar]
- Hang, P.; Chen, X. Path Tracking Control of 4-Wheel-Steering Autonomous Ground Vehicles based on Linear Parameter-Varying System with Experimental Verification. Proc. Inst. Mech. Eng. 2021, 3, 411–423. [Google Scholar] [CrossRef]
- Chen, S.; Xue, W.; Lin, Z.; Huang, Y. On Active Disturbance Rejection Control for Path Following of Automated Guided Vehicle with Uncertain Velocities. In Proceedings of the 2019 American Control Conference (ACC), Philadelphia, PA, USA, 10–12 July 2019; pp. 2446–2451. [Google Scholar]
- Enrique, J.; Santos, M. Combining Reinforcement Learning and Conventional Control to Improve Automatic Guided Vehicles Tracking of Complex Trajectories. Wiley Online Libr. Expert Syst. 2022, e13076. [Google Scholar] [CrossRef]
- Chen, Y.; Cheng, C.; Zhang, Y.; Li, X.; Sun, L. A Neural Network-Based Navigation Approach for Autonomous Mobile Robot Systems. Appl. Sci. 2022, 12, 7796. [Google Scholar] [CrossRef]
- Drews, P.; Willians, G.; Goldfain, B.; Theodorou, E.; Rehg, J. Vision-Based High Speed Driving with a Deep Dynamics Observer. IEEE Robot. Autom. Lett. 2019, 4, 1564–1571. [Google Scholar] [CrossRef]
- Zeng, N.; Wang, Z.; Zhang, H.; Kim, K.; Li, Y.; Liu, X. An Improved Particle Filter With a Novel Hybrid Proposal Distribution for Quantitative Analysis of Gold Immunochromatographic Straips. IEEE Trans. Nanotech. 2019, 18, 819–829. [Google Scholar] [CrossRef]
- Dimitrievski, M.; Veelaert, P.; Philips, W. Behavioral Pedestrian Tracking Using a Camera and LiDAR Sensors on a Moving Vehicle. Sensors 2019, 19, 391. [Google Scholar] [CrossRef] [PubMed]
- Sun, W.; Liu, J. Design of Robust Cubature Fission Particle Filter Algorithm in Multi-Source Cooperative Navigation. Sci. Rep. 2022, 12, 4210. [Google Scholar] [CrossRef] [PubMed]
- Petrillo, A.; Picariello, A.; Santini, S.; Scarciello, B.; Sperlí, G. Model-Based Vehicular Prognostics Framework Using Big Data Architecture. Comput. Ind. 2020, 115, 103177. [Google Scholar] [CrossRef]
- Ding, J.; Chen, J.; Lin, J.; Wan, L. Particle Filtering Based Parameter Estimation For Systems With Output-Error Type Model Structures. J. Frankl. Inst. 2019, 356, 5521–5540. [Google Scholar] [CrossRef]
- Berntorp, K.; Hoang, T.; Di, S. Motion Planning of Autonomous Road Vehicles by Particle Filtering. IEEE Trans. Intell. Veh. 2019, 4, 197–210. [Google Scholar] [CrossRef]
- Oh, H.; Kim, S. Persistent Standoff Tracking Guidance Using Constrained Particle Filter for Multiple UAVs. Aerosp. Sci. Technol. 2019, 84, 257–264. [Google Scholar] [CrossRef]
- Liang, Y.; Li, Y.; Yu, Y.; Zheng, L. Integrated Lateral Control for 4WID/4WIS Vehicle in High-speed Condition Considering The Magnitude of Steering. Veh. Syst. Dyn. 2019, 58, 1711–1735. [Google Scholar] [CrossRef]
- Song, Y.; Shu, H.; Chen, X. Chassis Integrated Control For 4WIS Distributed Drive EVs With Model Predictive Control Based On The UKF Observer. Sci. China Technol. Sci. 2020, 63, 397–409. [Google Scholar] [CrossRef]
- Cheng, S.; Li, L.; Guo, H.Q.; Chen, Z.G.; Song, P. Longitudinal Collision Avoidance And Lateral Stability Adaptive Control System Based On MPC of Autonomous Vehicles. IEEE Trans. Intell. Transp. Syst. 2020, 21, 2376–2385. [Google Scholar] [CrossRef]
- Hang, P.; Xia, X.; Chen, G.; Chen, X. Active Safety Control of Automated Electric Vehicles at Driving Limits: A Tube-based MPC Approach. IEEE Trans. Transp. Electrific. 2021, 8, 1338–1349. [Google Scholar] [CrossRef]
- Wang, H.; Liu, B.; Ping, X.; An, Q. Path Tracking Control For Autonomous Vehicles Based On an Improved MPC. IEEE Access 2019, 7, 161064–161073. [Google Scholar] [CrossRef]
- Pereira, G.C.; Lima, P.F.; Wahlberg, B.; Pettersson, H.; Mårtensson, J. Nonlinear Curvature Modeling for MPC of Autonomous Vehicles. In Proceedings of the 2020 IEEE 23rd International Conference on Intelligent Transportation Systems, Rhodes, Greece, 20–23 September 2020. [Google Scholar] [CrossRef]
- Liu, X.; Wang, W.; Li, X.; Liu, F.; He, Z.; Yao, Y.; Zhang, T. MPC-based High-Speed Trajectory Tracking For 4WIS Robot. Elsevier ISA Trans. 2022, 123, 413–424. [Google Scholar] [CrossRef] [PubMed]
- Jeong, Y.; Yim, S. Path Tracking Control With Four-Wheel Independent Steering, Driving and Braking Systems for Autonomous Electric Vehicles. IEEE Access 2022, 10, 74733–74746. [Google Scholar] [CrossRef]
- Yang, J.; Ma, R.; Zhang, Y.; Zhao, C. Sliding Mode Control for Trajectory Tracking of Intelligent Vehicle. Phys. Procedia 2012, 33, 1160–1167. [Google Scholar] [CrossRef]




























| Parameter | Unit | Value |
|---|---|---|
| Mass (m) | kg | 38.6 |
| Height of truck (h) | m | 0.45 |
| Depth of truck (d) | m | 0.55 |
| Width of truck (w) | m | 0.45 |
| Wheel base (L) | m | 0.5 |
| Wheel tread () | m | 0.375 |
| Height of camera () | m | 0.6 |
| Angle of camera () | deg | −48 |
| Resolution of camera | pixel | 1280 × 720 |
| Parameter | Unit | Value |
|---|---|---|
| Standard deviation of RGB | - | 20 |
| Standard deviation of position | - | 20 |
| Standard deviation of velocity | - | 15 |
| The number of particles | - | 1000 |
| Target RGB () | - | (254, 252, 184) |
| Error of RGB data threshold () | - | 72 |
| ROI | - | |
| Error states weighting matrix | - | |
| Input weighting matrix | - | 650 |
| LQR gain | - |
| Number of Particles | Absolute Average | RMS |
|---|---|---|
| 200 | 0.1769 [s] | 0.1784 [s] |
| 500 | 0.1770 [s] | 0.1784 [s] |
| 1000 | 0.1745 [s] | 0.1757 [s] |
| 3000 | 0.1782 [s] | 0.1795 [s] |
| 5000 | 0.1855 [s] | 0.1868 [s] |
| 10,000 | 0.1912 [s] | 0.1929 [s] |
| Description | Lateral Preview Error | Steering Angle Error |
|---|---|---|
| Absolute average | 0.1159 [m] | 1.3 [deg] |
| RMS | 0.1505 [m] | 1.5857 [deg] |
| Standard deviation | 0.1258 [m] | 1.5873 [deg] |
| Description | Lateral Preview Error | Steering Angle Error |
|---|---|---|
| Absolute average | 0.1287 [m] | 1.3 [deg] |
| RMS | 0.1776 [m] | 1.5619 [deg] |
| Standard deviation | 0.1439 [m] | 1.561 [deg] |
Disclaimer/Publisher’s Note: The statements, opinions and data contained in all publications are solely those of the individual author(s) and contributor(s) and not of MDPI and/or the editor(s). MDPI and/or the editor(s) disclaim responsibility for any injury to people or property resulting from any ideas, methods, instructions or products referred to in the content. |
© 2023 by the authors. Licensee MDPI, Basel, Switzerland. This article is an open access article distributed under the terms and conditions of the Creative Commons Attribution (CC BY) license (https://creativecommons.org/licenses/by/4.0/).
Share and Cite
Kim, S.; Jang, M.; La, H.; Oh, K. Development of a Particle Filter-Based Path Tracking Algorithm of Autonomous Trucks with a Single Steering and Driving Module Using a Monocular Camera. Sensors 2023, 23, 3650. https://doi.org/10.3390/s23073650
Kim S, Jang M, La H, Oh K. Development of a Particle Filter-Based Path Tracking Algorithm of Autonomous Trucks with a Single Steering and Driving Module Using a Monocular Camera. Sensors. 2023; 23(7):3650. https://doi.org/10.3390/s23073650
Chicago/Turabian StyleKim, Sehwan, Munjung Jang, Hanbyeol La, and Kwangseok Oh. 2023. "Development of a Particle Filter-Based Path Tracking Algorithm of Autonomous Trucks with a Single Steering and Driving Module Using a Monocular Camera" Sensors 23, no. 7: 3650. https://doi.org/10.3390/s23073650
APA StyleKim, S., Jang, M., La, H., & Oh, K. (2023). Development of a Particle Filter-Based Path Tracking Algorithm of Autonomous Trucks with a Single Steering and Driving Module Using a Monocular Camera. Sensors, 23(7), 3650. https://doi.org/10.3390/s23073650

