A PCA-Based Approach for Very Early-Age Hydration Monitoring of Self-Compacting Concrete Using Embedded PZT Sensors
Abstract
1. Introduction
2. Methodology
2.1. EMI Technique
2.2. Fabrication of the PZT-Based Sensors
3. Experimental Program
3.1. Preparation of SCC Specimens
3.2. Experimental Setups
4. Results and Discussion
4.1. Hydration Monitoring Based on Penetration Resistance Tests
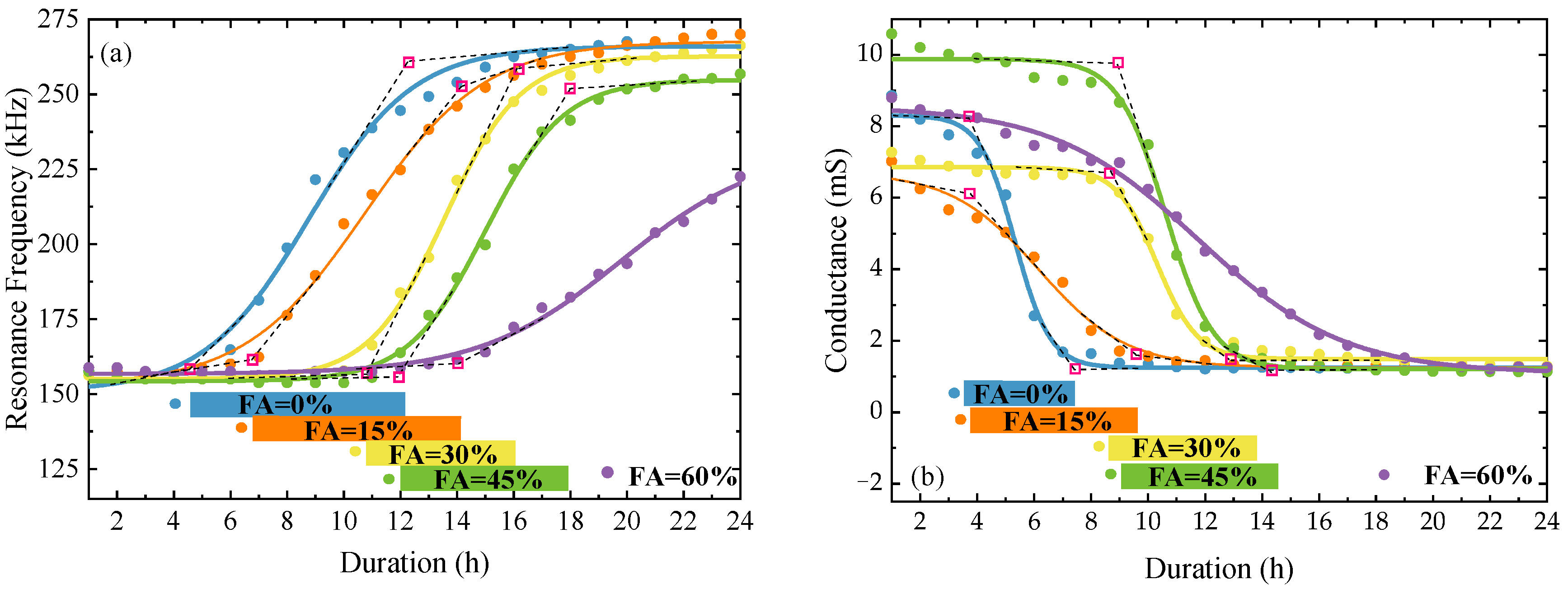
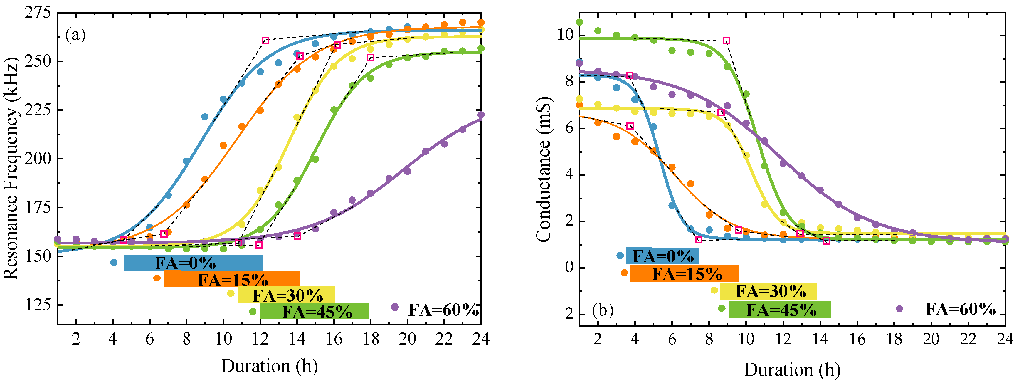
4.2. Hydration Monitoring Based on Predominant Resonance Shifts
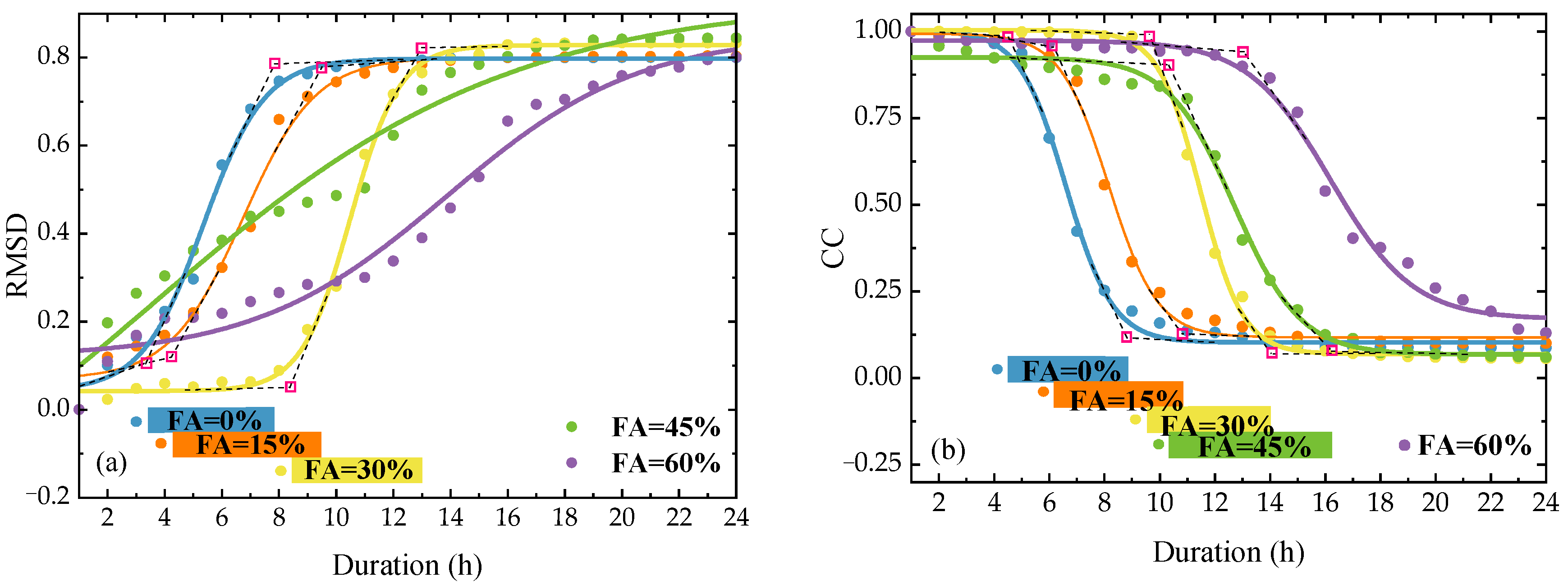
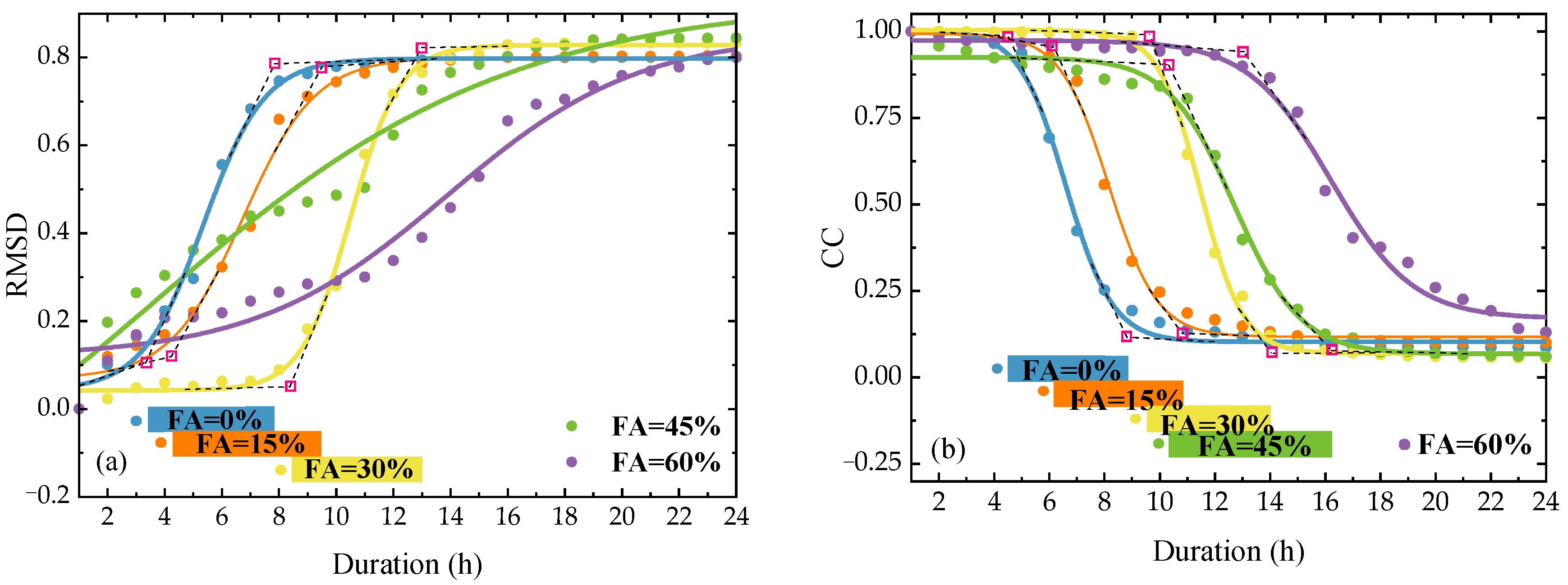
4.3. Quantitative Hydration Monitoring Based on the Statistical Indices
4.4. A PCA-Based Approach for Quantitative Hydration Monitoring in SCC
5. Conclusions
- (1)
- The initial and final setting times predicted by the statistical metrics and the CR1 are well consistent with those predicted by the penetration resistance test. However, using embedded PZT sensors for in-situ hydration monitoring is a further advantage of the EMI-based approaches.
- (2)
- Similar three-stage hydration processes of fresh SCC mixtures can be identified by the resonance shifts, the statistical metrics, and the CR1 based on the measured conductance signatures. All three EMI-based approaches can predict the retardation of setting times with FA replacement ratio in SCC specimens, but only the PCA approach can accurately estimate the duration elongation of the liquid-solid transition with FA replacement ratio during curing.
- (3)
- In the PCA approach, the CR1 can explicitly capture the dynamic stiffness changes in SCC specimens with curing duration, while the CR2 can implicitly reflect the boundary constraints on the PZT sensor induced by the shrinkage of the hardened SCCs. This approach can separate the mechanical impedance of the epoxy-packed PZT sensor from its host concrete, thus providing a robust method to monitor the very early-age hydration of SCC without requiring a baseline.
Author Contributions
Funding
Institutional Review Board Statement
Informed Consent Statement
Data Availability Statement
Conflicts of Interest
References
- Okamura, H.; Ouchi, M. Self-compacting concrete. Development, present use and future. In Proceedings of the International RILEM Symposium on Self-Compacting Concrete, Stockholm, Sweden, 13–14 September 1999; RILEM Publications: Cachan, France, 1999; pp. 3–14. [Google Scholar]
- De Weerdt, K.; Haha, M.B.; Le Saout, G.; Kjellsen, K.O.; Justnes, H.; Lothenbach, B. Hydration mechanisms of ternary Portland cements containing limestone powder and fly ash. Cem. Concr. Res. 2011, 41, 279–291. [Google Scholar] [CrossRef]
- DuránHerrera, A.; Juárez, C.A.; Valdez, P.H.; Bentz, D.P. Evaluation of Sustainable High-Volume Fly Ash Concretes. Cem. Concr. Compos. 2011, 33, 39–45. [Google Scholar] [CrossRef]
- Ylmén, R.; Jäglid, U.; Steenari, B.-M.; Panas, I. Early hydration and setting of Portland cement monitored by IR, SEM and Vicat techniques. Cem. Concr. Res. 2009, 39, 433–439. [Google Scholar] [CrossRef]
- Yang, Z.; Liu, S.; Yu, L.; Xu, L. A Comprehensive Study on the Hardening Features and Performance of Self-Compacting Concrete with High-Volume Fly Ash and Slag. Materials 2021, 14, 4286. [Google Scholar] [CrossRef] [PubMed]
- Park, G.; Cudney, H.H.; Inman, D.J. An Integrated Health Monitoring Technique Using Structural Impedance Sensors. J. Intell. Mater. Syst. Struct. 2000, 11, 448–455. [Google Scholar] [CrossRef]
- Zhang, S.; Zhang, Y.; Li, Z. Ultrasonic monitoring of setting and hardening of slag blended cement under different curing temperatures by using embedded piezoelectric transducers. Constr. Build. Mater. 2018, 159, 553–560. [Google Scholar] [CrossRef]
- Zheng, Y.; Chen, D.; Zhou, L.; Huo, L.; Ma, H.; Song, G. Evaluation of the Effect of Fly Ash on Hydration Characterization in Self-Compacting Concrete (SCC) at Very Early Ages Using Piezoceramic Transducers. Sensors 2018, 18, 2489. [Google Scholar] [CrossRef] [PubMed]
- Tang, Z.S.; Lim, Y.Y.; Smith, S.T.; Mostafa, A.; Lam, A.C.; Soh, C.K. Monitoring the curing process of in-situ concrete with piezoelectric-based techniques—A practical application. Struct. Health Monit. 2022, 22, 518–539. [Google Scholar] [CrossRef]
- Kong, Q.; Hou, S.; Ji, Q.; Mo, Y.; Song, G. Very early age concrete hydration characterization monitoring using piezoceramic based smart aggregates. Smart Mater. Struct. 2013, 22, 085025. [Google Scholar] [CrossRef]
- Ding, J.; Kang, J.; Zhu, J.S.; Chen, X. Damage Detection of Epoxied Joint Model in Precast Concrete Segmental Bridges Using PZT Technology. J. Aerosp. Eng. 2020, 33, 04020012. [Google Scholar] [CrossRef]
- Gu, H.; Song, G.; Dhonde, H.; Mo, Y.L.; Yan, S. Concrete early-age strength monitoring using embedded piezoelectric transducers. Smart Mater. Struct. 2006, 15, 1837. [Google Scholar] [CrossRef]
- Soh, C.; Bhalla, S. Calibration of Piezo-Impedance Transducers for Strength Prediction and Damage Assessment of Concrete. Smart Mater. Struct. 2005, 14, 671. [Google Scholar] [CrossRef]
- Shin, S.W.; Qureshi, A.R.; Lee, J.-Y.; Yun, C.B. Piezoelectric sensor based nondestructive active monitoring of strength gain in concrete. Smart Mater. Struct. 2008, 17, 055002. [Google Scholar] [CrossRef]
- Zhang, C.; Panda, G.P.; Yan, Q.; Zhang, W.; Vipulanandan, C.; Song, G. Monitoring early-age hydration and setting of portland cement paste by piezoelectric transducers via electromechanical impedance method. Constr. Build. Mater. 2020, 258, 120348. [Google Scholar] [CrossRef]
- Tawie, R.; Lee, H.K. Piezoelectric-based non-destructive monitoring of hydration of reinforced concrete as an indicator of bond development at the steel–concrete interface. Cem. Concr. Res. 2010, 40, 1697–1703. [Google Scholar] [CrossRef]
- Arun, N.; Kolluru, V.L.S. Early Age Monitoring of Cement Mortar Using Embedded Piezoelectric Sensors. In Proceedings of the Health Monitoring of Structural and Biological Systems, Las Vegas, NV, USA, 21–24 March 2016. [Google Scholar]
- Min, J.; Park, S.; Yun, C.-B. Impedance-based structural health monitoring using neural networks for autonomous frequency range selection. Smart Mater. Struct. 2010, 19, 125011. [Google Scholar] [CrossRef]
- Tawie, R.; Lee, H.K. Monitoring the strength development in concrete by EMI sensing technique. Constr. Build. Mater. 2010, 24, 1746–1753. [Google Scholar] [CrossRef]
- Wang, D.; Zhu, H. Monitoring of the strength gain of concrete using embedded PZT impedance transducer. Constr. Build. Mater. 2011, 25, 3703–3708. [Google Scholar] [CrossRef]
- Ghafari, E.; Yuan, Y.; Wu, C.; Nantung, T.; Lu, N. Evaluation the compressive strength of the cement paste blended with supplementary cementitious materials using a piezoelectric-based sensor. Constr. Build. Mater. 2018, 171, 504–510. [Google Scholar] [CrossRef]
- Bansal, T.; Talakokula, V.; Mathiyazhagan, K. Equivalent structural parameters based non-destructive prediction of sustainable concrete strength using machine learning models via piezo sensor. Measurement 2022, 187, 110202. [Google Scholar] [CrossRef]
- Ai, D.; Mo, F.; Han, Y.; Wen, J. Automated identification of compressive stress and damage in concrete specimen using convolutional neural network learned electromechanical admittance. Eng. Struct. 2022, 259, 114176. [Google Scholar] [CrossRef]
- Ai, D.; Mo, F.; Yang, F.; Zhu, H. Electromechanical impedance-based concrete structural damage detection using principal component analysis incorporated with neural network. J. Intell. Mater. Syst. Struct. 2022, 33, 2241–2256. [Google Scholar] [CrossRef]
- Park, S.; Lee, J.; Yun, C.; Inman, D.J. Electro-Mechanical Impedance-Based Wireless Structural Health Monitoring Using PCA-Data Compression and k-means Clustering Algorithms. J. Intell. Mater. Syst. Struct. 2007, 19, 509–520. [Google Scholar] [CrossRef]
- Jolliffe, I.T.; Cadima, J. Principal component analysis: A review and recent developments. Philos. Trans. R. Soc. A Math. Phys. Eng. Sci. 2016, 374, 20150202. [Google Scholar] [CrossRef] [PubMed]
- Liang, C.; Sun, F.P.; Rogers, C.A. Coupled Electro-Mechanical Analysis of Adaptive Material Systems-Determination of the Actuator Power Consumption and System Energy Transfer. J. Intell. Mater. Syst. Struct. 1997, 8, 335–343. [Google Scholar] [CrossRef]
- Xu, Y.G.; Liu, G. A Modified Electro-Mechanical Impedance Model of Piezoelectric Actuator-Sensors for Debonding Detection of Composite Patches. J. Intell. Mater. Syst. Struct. 2002, 13, 389–396. [Google Scholar] [CrossRef]
- Elvin, N.; Elvin, A.; Senderos, B.Z. Capacitance changes in thin piezoelectric transducers embedded in isotropic host materials. J. Intell. Mater. Syst. Struct. 2017, 29, 816–829. [Google Scholar] [CrossRef]
- Saravanan, T.J.; Balamonica, K.; Priya, C.B.; Reddy, A.L.; Gopalakrishnan, N. Comparative performance of various smart aggregates during strength gain and damage states of concrete. Smart Mater. Struct. 2015, 24, 085016. [Google Scholar] [CrossRef]
- Zhao, S.; Fan, S.; Yang, J.; Kitipornchai, S. Numerical and experimental investigation of electro-mechanical impedance based concrete quantitative damage assessment. Smart Mater. Struct. 2020, 29, 055025. [Google Scholar] [CrossRef]
- Song, G.; Gu, H.; Mo, Y.-L. Smart aggregates: Multi-functional sensors for concrete structures—A tutorial and a review. Smart Mater. Struct. 2008, 17, 033001. [Google Scholar] [CrossRef]
- JGJ/T283-2012; Technical Specification for Application of Self-Compacting Concrete. Chinese National Standard: Beijing, China, 2012.
- Zhu, J.; Tsai, Y.; Kee, S. Monitoring early age property of cement and concrete using piezoceramic bender elements. Smart Mater. Struct. 2011, 20, 115014. [Google Scholar] [CrossRef]
- Puthipad, N.; Ouchi, M.; Rath, S.; Attachaiyawuth, A. Enhancement in self-compactability and stability in volume of entrained air in self-compacting concrete with high volume fly ash. Constr. Build. Mater. 2016, 128, 349–360. [Google Scholar] [CrossRef]
- GB/T1346-2011; Test Methods for Water Requirement of Normal Consistency, Setting Time and Soundness of the Portland Cement. Chinese National Standard: Beijing, China, 2011.
- Bullard, J.W.; Jennings, H.M.; Livingston, R.A.; Nonat, A.; Scherer, G.W.; Schweitzer, J.S.; Scrivener, K.L.; Thomas, J.J. Mechanisms of cement hydration. Cem. Concr. Res. 2011, 41, 1208–1223. [Google Scholar] [CrossRef]
- Tseng, K.K.H.; Naidu, A.S.K. Non-parametric damage detection and characterization using smart piezoceramic material. Struct. Health Monit. 2002, 11, 317. [Google Scholar] [CrossRef]
- Lever, J.; Krzywinski, M.; Altman, N. Points of Significance: Principal component analysis. Nat. Methods 2017, 14, 641–642. [Google Scholar] [CrossRef]
- Dinakar, P.; Kartik Reddy, M.; Sharma, M. Behaviour of self compacting concrete using Portland pozzolana cement with different levels of fly ash. Mater. Des. 2013, 46, 609–616. [Google Scholar] [CrossRef]
- Mohamed, H.A. Effect of fly ash and silica fume on compressive strength of self-compacting concrete under different curing conditions. Ain Shams. Eng. J. 2011, 2, 79–86. [Google Scholar] [CrossRef]
- Szlachetka, O.; WitkowskaDobrev, J.; Dohojda, M.; Cała, A. Influence of compressive strength and maturity conditions on shrinkage of ordinary concrete. Adv. Mech. Eng. 2021, 13, 16878140211024434. [Google Scholar] [CrossRef]
- Heirman, G.H.K.; Vandewalle, L.; Gemert, D.V. Influence of mineral additions and chemical admixtures on setting and volumetric autogenous shrinkage of SCC-equivalent mortars. In Proceedings of the 5th International RILEM Symposium on Self-Compacting Concrete (SCC2007), Ghent, Belgium, 3–5 September 2007. [Google Scholar]











| PZT Sensor Specimens | Electrical Resistance | Electrical Capacitance | |||
|---|---|---|---|---|---|
| Before Packing | After Packing | Before Packing | After Packing | Reduction | |
| H1 | ∞ | ∞ | 2.29 | 2.10 | 8.30% |
| H2 | ∞ | ∞ | 2.22 | 2.03 | 8.56% |
| H3 | ∞ | ∞ | 2.31 | 2.12 | 8.23% |
| H4 | ∞ | ∞ | 2.35 | 2.01 | 14.47% |
| H5 | ∞ | ∞ | 2.33 | 2.00 | 14.16% |
| Specimens | Crushed Stone (kg/m3) | Sand (kg/m3) | Cement (kg/m3) | Fly Ash (kg/m3) | Limestone (kg/m3) | Water (kg/m3) | Water Reducing Agent (kg/m3) | Compressive Strength (MPa) |
|---|---|---|---|---|---|---|---|---|
| SCC-F0 | 784.0 | 756.9 | 497.7 | 0 | 21.7 | 191.5 | 5.2 | 39.14 |
| SCC-F15 | 784.0 | 756.9 | 419.1 | 77.6 | 21.7 | 191.5 | 5.2 | 36.04 |
| SCC-F30 | 784.0 | 756.9 | 341.5 | 155.2 | 21.7 | 191.5 | 5.2 | 42.12 |
| SCC-F45 | 784.0 | 756.9 | 263.9 | 232.9 | 21.7 | 191.5 | 5.2 | 28.03 |
| SCC-F60 | 784.0 | 756.9 | 186.2 | 310.5 | 21.7 | 191.5 | 5.2 | 22.14 |
| Replacement Ratio of FA to Binder | Initial Setting Time (h) | Final Setting Time (h) | Duration (h) |
|---|---|---|---|
| 0% | 4.8 | 9.4 | 4.6 |
| 15% | 7.1 | 12.2 | 5.1 |
| 30% | 10.7 | 15.6 | 4.9 |
| 45% | 13.8 | 18.9 | 5.1 |
| 60% | 16.7 | 22.0 | 5.3 |
| Specimens | SCC-F0 | SCC-F15 | SCC-F30 | SCC-F45 | SCC-F60 |
|---|---|---|---|---|---|
| Initial Setting | 0.570 | 0.590 | 0.555 | 0.560 | 0.570 |
| Final Setting | 0.766 | 0.764 | 0.753 | 0.759 | - |
| Specimen | Penetration Resistance Test (h) | Frequency Shift (h) | Amplitude Shift (h) | RMSD (h) | CC (h) | PCA (h) |
|---|---|---|---|---|---|---|
| SCC-F0 | 4.6 | 7.5 | 3.5 | 4.5 | 4.5 | 4.5 |
| SCC-F15 | 5.1 | 7.0 | 5.0 | 5.5 | 4.5 | 5.0 |
| SCC-F30 | 4.9 | 5.0 | 4.5 | 5.0 | 4.5 | 5.0 |
| SCC-F45 | 5.1 | 7.0 | 5.5 | - | 6.0 | 6.0 |
| SCC-F60 | 5.3 | - | - | - | - | - |
Disclaimer/Publisher’s Note: The statements, opinions and data contained in all publications are solely those of the individual author(s) and contributor(s) and not of MDPI and/or the editor(s). MDPI and/or the editor(s) disclaim responsibility for any injury to people or property resulting from any ideas, methods, instructions or products referred to in the content. |
© 2023 by the authors. Licensee MDPI, Basel, Switzerland. This article is an open access article distributed under the terms and conditions of the Creative Commons Attribution (CC BY) license (https://creativecommons.org/licenses/by/4.0/).
Share and Cite
Liu, Q.; Mu, Y.; Li, X.; Wu, X.; Ren, X. A PCA-Based Approach for Very Early-Age Hydration Monitoring of Self-Compacting Concrete Using Embedded PZT Sensors. Sensors 2023, 23, 3627. https://doi.org/10.3390/s23073627
Liu Q, Mu Y, Li X, Wu X, Ren X. A PCA-Based Approach for Very Early-Age Hydration Monitoring of Self-Compacting Concrete Using Embedded PZT Sensors. Sensors. 2023; 23(7):3627. https://doi.org/10.3390/s23073627
Chicago/Turabian StyleLiu, Qunfeng, Yifan Mu, Xiaoting Li, Xing Wu, and Xiang Ren. 2023. "A PCA-Based Approach for Very Early-Age Hydration Monitoring of Self-Compacting Concrete Using Embedded PZT Sensors" Sensors 23, no. 7: 3627. https://doi.org/10.3390/s23073627
APA StyleLiu, Q., Mu, Y., Li, X., Wu, X., & Ren, X. (2023). A PCA-Based Approach for Very Early-Age Hydration Monitoring of Self-Compacting Concrete Using Embedded PZT Sensors. Sensors, 23(7), 3627. https://doi.org/10.3390/s23073627

