Optimized Design of Distributed Quasi-Cyclic LDPC Coded Spatial Modulation
Abstract
1. Introduction
- The D-QC-LDPCC-SM scheme is proposed, in which two different QC-LDPC codes are separately used at the source and relay. At the relay, the information bits are selected from the decoded source information bits, and the selected bits are further encoded. By combining the two LDPC codewords generated at the source and relay, the destination constructs a channel code corresponding to each information selection.
- For making the destination construct the best code, an optimal information bit selection algorithm by exhaustive search is proposed at the relay to appropriately select partial source information bits. In the exhaustive-based search algorithm, the best pattern is chosen from all selection patterns, during which we consider all source information bit sequences.
- Since all the source information bit sequences and all the selection patterns are considered, the complexity of the optimal algorithm is relatively high when the QC-LDPC codes have large block length. Based on this, another partial-based search information bit selection algorithm is proposed with partial source information bit sequences and partial selection patterns being taken into account.
- At the destination, the joint iterative decoding algorithm based on the three-layer Tanner graph is proposed to effectively recover the source information by the use of the equivalent parity-check matrix.
2. Distributed QC-LDPC Coded SM Scheme by Selection in the Relay
2.1. 5G LDPC Codes
2.1.1. Preliminaries of QC-LDPC Codes
2.1.2. Characteristics and Encoding of 5G LDPC Codes
- (1)
- For : .
- (2)
- For : if K > 640; if ; if . if ;
| Exponent Matrices | Lifting Size Sets |
|---|---|
2.2. System Model in Cooperative Communications
3. Optimized Information Bit Selection Algorithms at the Relay
3.1. Exhaustive-Based Search Optimal Information Bit Selection Algorithm
| Algorithm 1: Optimal Algorithm. |
|
3.2. Partial-Based Search Low-Complexity Information Bit Selection Algorithm
| Algorithm 2: Low-complexity Algorithm. |
|
3.3. Complexity Analysis of the Two Optimized Selection Algorithms
4. Joint Iterative Decoding Algorithm Based on the Three-Layer Tanner Graph
4.1. Steps of Joint Iterative Decoding Algorithm
4.2. Computational Complexity of Joint Iterative Decoding Algorithm
5. Simulation Results
5.1. Comparisons under Different Information Selection Algorithms
5.2. Performance of the Proposed Scheme and Non-Cooperative System
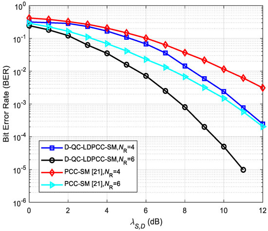
5.3. Comparisons between the Proposed Scheme and the Existing System
5.4. Performance of the Proposed Scheme under Various Receive Antenna Numbers and Different Decoding Algorithms
6. Conclusions
Author Contributions
Funding
Institutional Review Board Statement
Informed Consent Statement
Data Availability Statement
Conflicts of Interest
References
- Hai, H.; Li, C.; Peng, Y.; Hou, J.; Jiang, X. Space-Time Block Coded Cooperative MIMO Systems. Sensors 2021, 21, 109. [Google Scholar] [CrossRef]
- Huang, K.; Xiao, Y.; Liu, L.; Li, Y.; Song, Z.; Wang, B.; Li, X. Integrated Spatial Modulation and STBC-VBLAST Design Toward Efficient MIMO Transmission. Sensors 2022, 22, 4719. [Google Scholar] [CrossRef] [PubMed]
- Mesleh, R.Y.; Haas, H.; Sinanovic, S.; Ahn, C.W.; Yun, S. Spatial Modulation. IEEE Trans. Veh. Technol. 2008, 57, 2228–2241. [Google Scholar] [CrossRef]
- Govender, R.; Pillay, N.; Xu, H. Soft-Output Space-Time Block Coded Spatial Modulation. IET Commun. 2014, 8, 2786–2796. [Google Scholar] [CrossRef]
- Feng, D.; Xu, H.; Zheng, J.; Bai, B. Nonbinary LDPC-Coded Spatial Modulation. IEEE Trans. Wirel. Commun. 2018, 17, 2786–2799. [Google Scholar] [CrossRef]
- Van Der Meulen, E.C. Three-Terminal Communication Channels. Adv. Appl. Probab. 1971, 3, 120–154. [Google Scholar] [CrossRef]
- Zhao, C.; Yang, F.; Umar, R.; Mughal, S. Two-Source Asymmetric Turbo-Coded Cooperative Spatial Modulation Scheme with Code Matched Interleaver. Electronics 2020, 9, 169. [Google Scholar] [CrossRef]
- Zhao, C.; Yang, F.; Waweru, D.K. Reed-Solomon Coded Cooperative Spatial Modulation Based on Nested Construction for Wireless Communication. Radioengineering 2021, 30, 172–183. [Google Scholar] [CrossRef]
- Sendonaris, A.; Erkip, E.; Aazhang, B. User cooperation diversity. Part I. System description. IEEE Trans. Commun. 2003, 51, 1927–1938. [Google Scholar] [CrossRef]
- Sendonaris, A.; Erkip, E.; Aazhang, B. User cooperation diversity. Part II. Implementation Aspects and Performance Analysis. IEEE Trans. Commun. 2003, 51, 1939–1948. [Google Scholar] [CrossRef]
- Liang, H.; Liu, A.; Liu, X.; Cheng, F. Construction and Optimization for Adaptive Polar Coded Cooperation. IEEE Wirel. Commun. Lett. 2021, 9, 1187–1190. [Google Scholar] [CrossRef]
- Amirzade, F.; Sadeghi, M.R.; Panario, D. QC-LDPC Codes with Large Column Weight and Free of Small Size ETSs. IEEE Commun. Lett. 2022, 26, 500–504. [Google Scholar] [CrossRef]
- Hu, J.; Duman, T.M. Low Density Parity Check Codes over Half-duplex Relay Channels. In Proceedings of the 2006 IEEE International Symposium on Information Theory, Seattle, DC, USA, 9–14 July 2006; pp. 972–976. [Google Scholar]
- Fang, Y.; Liew, S.C.; Wang, T. Design of Distributed Protograph LDPC Codes for Multi-Relay Coded-Cooperative Networks. IEEE Trans. Wirel. Commun. 2017, 16, 7235–7251. [Google Scholar] [CrossRef]
- Wang, H.; Chen, Q. LDPC based Network Coded Cooperation Design for Multi-way Relay Networks. IEEE Access 2019, 7, 62300–62311. [Google Scholar] [CrossRef]
- Berceanu, M.G.; Voicu, C.; Halunga, S. Uplink Massive MU-MIMO OFDM-Based System with LDPC Coding-Simulation and Performances. In Proceedings of the Advanced Topics in Optoelectronics, Microelectronics and Nanotechnologies IX, Constanta, Romania, 23–26 August 2018; Volume 10977. [Google Scholar]
- Berceanu, M.G.; Voicu, C.; Halunga, S. The performance of an Uplink Massive MIMO OFDM-Based Multiuser System with LDPC Coding when Using Relays. In Proceedings of the 2019 IEEE 25th International Symposium for Design and Technology in Electronic Packaging (SIITME), Cluj-Napoca, Romania, 23–26 October 2019; pp. 339–342. [Google Scholar]
- Tao, X.; Chen, X.; Wang, B. On the Construction of QC-LDPC Codes Based on Integer Sequence with Low Error Floor. IEEE Commun. Lett. 2022, 26, 2267–2271. [Google Scholar] [CrossRef]
- Li, H.; Bai, B.; Xu, H.; Chen, C. Construction of Algebraic-Based Variable-Rate QC-LDPC Codes. In Proceedings of the 2021 IEEE International Symposium on Information Theory (ISIT), Melbourne, VIC, Australia, 12–20 July 2021; pp. 374–379. [Google Scholar]
- Amirzade, F.; Sadeghi, M.R.; Panario, D. Quasi-Cyclic Protograph-Based Raptor-Like LDPC Codes with Girth 6 and Shortest Length. In Proceedings of the 2021 IEEE International Symposium on Information Theory (ISIT), Melbourne, VIC, Australia, 12–20 July 2021; pp. 368–373. [Google Scholar]
- Mughal, S.; Yang, F.; Xu, H.; Umar, R. Coded Cooperative Spatial Modulation Based on Multi-Level Construction of Polar Code. Telecommun. Syst. 2018, 70, 435–446. [Google Scholar] [CrossRef]
- Chen, J.; Dholakia, A.; Eleftheriou, E.; Fossorier, M.P.C.; Hu, X.Y. Reduced-Complexity Decoding of LDPC Codes. IEEE Trans. Commun. 2005, 53, 1288–1299. [Google Scholar] [CrossRef]
















| Parameters | Specification |
|---|---|
| Source coding | (64, 42) QC-LDPC1 code, (84, 53) QC-LDPC1 code, (120, 80) QC-LDPC1 code |
| Relay coding | (64, 40) QC-LDPC2 code, (84, 48) QC-LDPC2 code, (120, 75) QC-LDPC2 code |
| Channel model | Slow Rayleigh fading channel |
| SM configuration | , 5, 6 |
| SM Detection method | Maximum-likelihood detection |
| Joint iterative decoding algorithm | BP decoding algorithm, MS decoding algorithm |
| Iteration Number | 50 |
| No. | Selection Approaches | Selection Patterns |
|---|---|---|
| 1 | Algorithm 1 | [1, 2, 3, 4, 5, 6, 7, 8, 9, 10, 11, 12, 13, 14, 15, 16, 17, 18, 19, 20, 21, 22, 23, 24, 25, 26, 27, 28, 29, 30, 31, 32, 33, 34, 35, 36, 37, 38, 39, 40] |
| Algorithm 2 | [1, 2, 3, 4, 5, 6, 7, 8, 9, 10, 11, 12, 13, 14, 15, 16, 17, 18, 19, 20, 21, 22, 24, 25, 26, 27, 28, 29, 30, 31, 32, 33, 34, 35, 36, 37, 38, 39, 40, 41] | |
| Random | [2, 3, 4, 5, 6, 7, 8, 9, 10, 11, 12, 13, 14, 15, 16, 17, 18, 19, 20, 21, 22, 23, 24, 26, 27, 28, 29, 30, 31, 32, 33, 34, 35, 36, 37, 38, 39, 40, 41, 42] | |
| 2 | Algorithm 2 | [1, 2, 3, 4, 5, 6, 7, 8, 9, 10, 12, 13, 14, 15, 16, 17, 18, 19, 20, 21, 22, 23, 25, 26, 27, 28, 29, 30, 31, 32, 33, 34, 35, 36, 37, 38, 39, 40, 42, 43, 44, 45, 46, 47, 48, 49, 50, 51] |
| Random | [1, 2, 3, 4, 5, 6, 7, 8, 9, 10, 11, 12, 13, 14, 15, 16, 17, 18, 19, 20, 21, 22, 23, 24, 25, 26, 27, 28, 29, 30, 31, 32, 33, 34, 35, 36, 37, 38, 39, 40, 41, 42, 43, 44, 45, 46, 47, 48] | |
| 3 | Algorithm 2 | [1, 2, 3, 4, 5, 6, 7, 8, 10, 12, 13, 14, 15, 16, 17, 18, 19, 20, 21, 23, 24, 25, 26, 27, 28, 29, 30, 31, 32, 33, 34, 35, 36, 37, 38, 39, 40, 41, 42, 43, 44, 45, 46, 47, 48, 49, 51, 52, 53, 54, 55, 56, 57, 58, 59, 60, 61, 62, 63, 64, 65, 66, 67, 68, 69, 70, 71, 72, 73, 74, 75, 77, 78, 79, 80] |
| Random | [1, 2, 3, 4, 5, 6, 7, 8, 10, 12, 13, 14, 15, 16, 17, 18, 19, 20, 21, 23, 24, 25, 26, 27, 28, 29, 30, 31, 32, 33, 34, 35, 36, 37, 38, 39, 40, 41, 42, 43, 44, 45, 46, 47, 48, 49, 50, 51, 52, 53, 54, 55, 56, 57, 58, 59, 60, 61, 62, 63, 64, 65, 66, 67, 68, 69, 70, 71, 72, 73, 74, 75, 76, 77, 78] |
Disclaimer/Publisher’s Note: The statements, opinions and data contained in all publications are solely those of the individual author(s) and contributor(s) and not of MDPI and/or the editor(s). MDPI and/or the editor(s) disclaim responsibility for any injury to people or property resulting from any ideas, methods, instructions or products referred to in the content. |
© 2023 by the authors. Licensee MDPI, Basel, Switzerland. This article is an open access article distributed under the terms and conditions of the Creative Commons Attribution (CC BY) license (https://creativecommons.org/licenses/by/4.0/).
Share and Cite
Zhao, C.; Yang, F.; Waweru, D.K.; Chen, C.; Xu, H. Optimized Design of Distributed Quasi-Cyclic LDPC Coded Spatial Modulation. Sensors 2023, 23, 3626. https://doi.org/10.3390/s23073626
Zhao C, Yang F, Waweru DK, Chen C, Xu H. Optimized Design of Distributed Quasi-Cyclic LDPC Coded Spatial Modulation. Sensors. 2023; 23(7):3626. https://doi.org/10.3390/s23073626
Chicago/Turabian StyleZhao, Chunli, Fengfan Yang, Daniel Kariuki Waweru, Chen Chen, and Hongjun Xu. 2023. "Optimized Design of Distributed Quasi-Cyclic LDPC Coded Spatial Modulation" Sensors 23, no. 7: 3626. https://doi.org/10.3390/s23073626
APA StyleZhao, C., Yang, F., Waweru, D. K., Chen, C., & Xu, H. (2023). Optimized Design of Distributed Quasi-Cyclic LDPC Coded Spatial Modulation. Sensors, 23(7), 3626. https://doi.org/10.3390/s23073626

