Pred-SF: A Precipitation Prediction Model Based on Deep Neural Networks
Abstract
1. Introduction
2. Data
2.1. Analysis of Meteorological Data
2.2. Dataset and Study Area
3. Preliminaries
3.1. Spatio-Temporal Prediction and Precipitation Prediction
3.2. Spatio-Temporal Prediction Model PredRNN and PredRNN-V2
4. Methods
4.1. Overview
4.2. Spatio-Temporal Prediction of Multimodal Data
4.3. Spatial Information Fusion
4.4. Training
5. Results
5.1. Compare Models and Evaluation Indicators
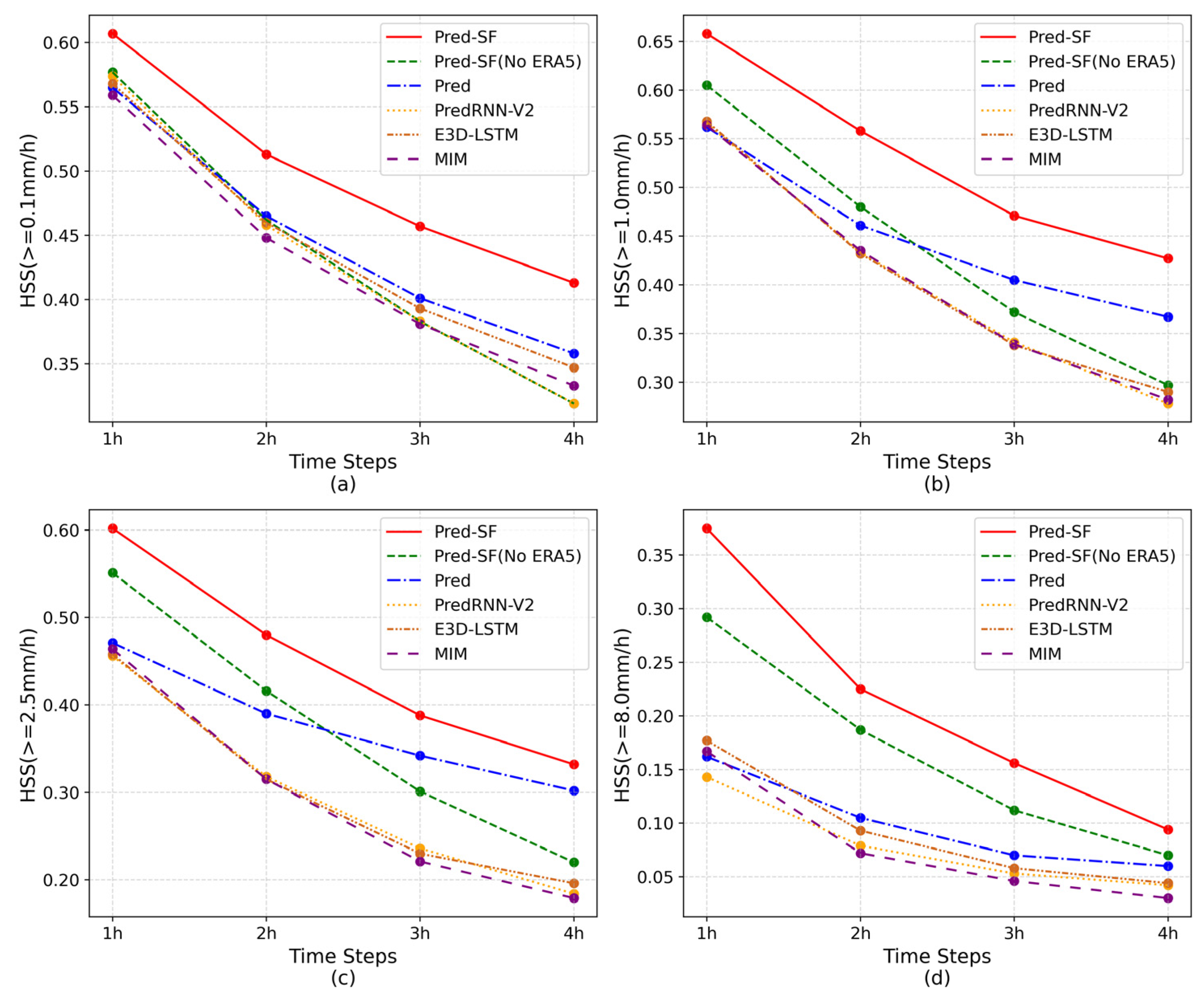
5.2. Qualitative Evaluation
5.3. Visualization and Analysis of Prediction Results
6. Conclusions
Author Contributions
Funding
Institutional Review Board Statement
Informed Consent Statement
Data Availability Statement
Conflicts of Interest
References
- Bauer, P.; Thorpe, A.; Brunet, G.J.N. The quiet revolution of numerical weather prediction. Nature 2015, 525, 47–55. [Google Scholar] [CrossRef] [PubMed]
- Shi, E.; Li, Q.; Gu, D.; Zhao, Z. A method of weather radar echo extrapolation based on convolutional neural networks. In Proceedings of the International Conference on Multimedia Modeling, Bangkok, Thailand, 5–7 February 2018; pp. 16–28. [Google Scholar]
- Tuttle, J.D.; Foote, G.B. Determination of the boundary layer airflow from a single Doppler radar. J. Atmos. Ocean. Technol. 1990, 7, 218–232. [Google Scholar] [CrossRef]
- Johnson, J.; MacKeen, P.L.; Witt, A.; Mitchell, E.D.W.; Stumpf, G.J.; Eilts, M.D.; Thomas, K.W.J.W. The storm cell identification and tracking algorithm: An enhanced WSR-88D algorithm. Weather Forecast 1998, 13, 263–276. [Google Scholar] [CrossRef]
- Bowler, N.E.; Pierce, C.E.; Seed, A.J.J.o.H. Development of a precipitation nowcasting algorithm based upon optical flow techniques. J. Hydrol. 2004, 288, 74–91. [Google Scholar] [CrossRef]
- Chong, K.L.; Lai, S.H.; Yao, Y.; Ahmed, A.N.; Jaafar, W.Z.W.; El-Shafie, A.J.W.R.M. Performance enhancement model for rainfall forecasting utilizing integrated wavelet-convolutional neural network. Water Resour. Manag. 2020, 34, 2371–2387. [Google Scholar] [CrossRef]
- Zhou, K.; Zheng, Y.; Li, B.; Dong, W.; Zhang, X. Forecasting Different Types of Convective Weather: A Deep Learning Approach. J. Meteorol. Res. 2019, 33, 797–809. [Google Scholar] [CrossRef]
- Boonyuen, K.; Kaewprapha, P.; Srivihok, P. Daily rainfall forecast model from satellite image using convolution neural network. In Proceedings of the 2018 International Conference on Information Technology (InCIT), Bhubaneswar, India, 20–22 December 2018; pp. 1–7. [Google Scholar]
- Kim, T.; Yang, T.; Zhang, L.; Hong, Y.J.A.R. Near real-time hurricane rainfall forecasting using convolutional neural network models with Integrated Multi-satellitE Retrievals for GPM (IMERG) product. Atmos. Res. 2022, 270, 106037. [Google Scholar] [CrossRef]
- Patel, M.; Patel, A.; Ghosh, D. Precipitation nowcasting: Leveraging bidirectional lstm and 1d cnn. arXiv 2018, arXiv:1810.10485. [Google Scholar]
- Akbari Asanjan, A.; Yang, T.; Hsu, K.; Sorooshian, S.; Lin, J.; Peng, Q.J.J.o.G.R.A. Short-term precipitation forecast based on the PERSIANN system and LSTM recurrent neural networks. J. Geophys. Res. Atmos. 2018, 123, 12,543–512,563. [Google Scholar] [CrossRef]
- Poornima, S.; Pushpalatha, M.J.A. Prediction of rainfall using intensified LSTM based recurrent neural network with weighted linear units. Atmosphere 2019, 10, 668. [Google Scholar] [CrossRef]
- Xie, H.; Wu, L.; Xie, W.; Lin, Q.; Liu, M.; Lin, Y.J.A.R. Improving ECMWF short-term intensive rainfall forecasts using generative adversarial nets and deep belief networks. Atmos. Res. 2021, 249, 105281. [Google Scholar] [CrossRef]
- Meng, F.; Song, T.; Xu, D. TCR-GAN: Predicting tropical cyclone passive microwave rainfall using infrared imagery via generative adversarial networks. arXiv 2022, arXiv:2201.07000. [Google Scholar]
- Shi, X.; Chen, Z.; Wang, H.; Yeung, D.-Y.; Wong, W.-K.; Woo, W.-C. Convolutional LSTM network: A machine learning approach for precipitation nowcasting. Adv. Neural Inf. Process. Syst. 2015, 28. [Google Scholar]
- Shi, X.; Gao, Z.; Lausen, L.; Wang, H.; Yeung, D.-Y.; Wong, W.-C. Deep learning for precipitation nowcasting: A benchmark and a new model. Adv. Neural Inf. Process. Syst. 2017, 30. [Google Scholar]
- Wang, Y.; Long, M.; Wang, J.; Gao, Z.; Yu, P.S. Predrnn: Recurrent neural networks for predictive learning using spatiotemporal lstms. Adv. Neural Inf. Process. Syst. 2017, 30. [Google Scholar]
- Wang, Y.; Gao, Z.; Long, M.; Wang, J.; Philip, S.Y. Predrnn++: Towards a resolution of the deep-in-time dilemma in spatiotemporal predictive learning. In Proceedings of the International Conference on Machine Learning, Stockholm, Sweden, 10–15 July 2018; pp. 5123–5132. [Google Scholar]
- Wang, Y.; Zhang, J.; Zhu, H.; Long, M.; Wang, J.; Yu, P.S. Memory in memory: A predictive neural network for learning higher-order non-stationarity from spatiotemporal dynamics. In Proceedings of the IEEE Conference on Computer Vision and Pattern Recognition, Long Beach, CA, USA, 16–20 June 2019; pp. 9154–9162. [Google Scholar] [CrossRef]
- Wang, Y.; Jiang, L.; Yang, M.-H.; Li, L.-J.; Long, M.; Fei-Fei, L. Eidetic 3D LSTM: A model for video prediction and beyond. In Proceedings of the International Conference on Learning Representations, Vancouver, BC, Canada, 30 April–3 May 2018. [Google Scholar]
- Wang, Y.; Wu, H.; Zhang, J.; Gao, Z.; Wang, J.; Yu, P.; Long, M.; Intelligence, M. Predrnn: A recurrent neural network for spatiotemporal predictive learning. IEEE Trans. Pattern Anal. Mach. Intell 2022, 45, 2208–2225. [Google Scholar] [CrossRef] [PubMed]
- Guen, V.L.; Thome, N. Disentangling physical dynamics from unknown factors for unsupervised video prediction. In Proceedings of the IEEE/CVF Conference on Computer Vision and Pattern Recognition, Seattle, WA, USA, 13–19 June 2020; pp. 11474–11484. [Google Scholar]
- Zhang, X.; Jin, Q.; Yu, T.; Xiang, S.; Kuang, Q.; Prinet, V.; Pan, C.J.I.J.o.P.; Sensing, R. Multi-modal spatio-temporal meteorological forecasting with deep neural network. ISPRS J. Photogramm. Remote Sens. 2022, 188, 380–393. [Google Scholar] [CrossRef]
- Huffman, G.J.; Bolvin, D.T.; Braithwaite, D.; Hsu, K.; Joyce, R.; Xie, P.; Yoo, S.H. NASA global precipitation measurement (GPM) integrated multi-satellite retrievals for GPM (IMERG). Algorithm Theor. Basis Doc. (ATBD) 2015, 4. [Google Scholar]
- Hersbach, H.; Bell, B.; Berrisford, P.; Hirahara, S.; Horányi, A.; Muñoz-Sabater, J.; Nicolas, J.; Peubey, C.; Radu, R.; Schepers, D.; et al. The ERA5 global reanalysis. Q. J. R. Meteorol. Soc. 2020, 146, 1999–2049. [Google Scholar] [CrossRef]
- Dosovitskiy, A.; Beyer, L.; Kolesnikov, A.; Weissenborn, D.; Zhai, X.; Unterthiner, T.; Dehghani, M.; Minderer, M.; Heigold, G.; Gelly, S.; et al. An image is worth 16x16 words: Transformers for image recognition at scale. arXiv 2020, arXiv:2010.11929. [Google Scholar]
- Liu, Z.; Lin, Y.; Cao, Y.; Hu, H.; Wei, Y.; Zhang, Z.; Lin, S.; Guo, B. Swin transformer: Hierarchical vision transformer using shifted windows. In Proceedings of the IEEE/CVF International Conference on Computer Vision, Montreal, BC, Canada, 11–17 October 2021; pp. 10012–10022. [Google Scholar]








| Data Type | Specific | Vertical Level | Spatial Resolution | Temporal Resolution |
|---|---|---|---|---|
| GPM | Precipitation | Surface | 0.1° × 0.1° | 0.5 h |
| ERA5 | Temperature U wind V wind Vertical wind Specific humidity Cloud cover Percentage of cloud liquid water content | 1000 hpa 950 hpa 850 hpa 700 hpa 500 hpa | 0.25° × 0.25° | 1 h |
| Model | CSI (4 h Average) | ||
|---|---|---|---|
| ≥0.1 mm/h | ≥2.5 mm/h | ≥8 mm/h | |
| Pred-SF | 0.451 | 0.297 | 0.134 |
| Pred-SF (No ERA5) | 0.393 | 0.262 | 0.113 |
| Pred | 0.411 | 0.282 | 0.082 |
| PredRNN-V2 | 0.402 | 0.256 | 0.072 |
| E3D-LSTM | 0.406 | 0.249 | 0.083 |
| MIM | 0.398 | 0.246 | 0.073 |
| Model | POD (4 h Average) | ||
|---|---|---|---|
| ≥0.1 mm/h | ≥2.5 mm/h | ≥8 mm/h | |
| Pred-SF | 0.518 | 0.465 | 0.216 |
| Pred-SF (No ERA5) | 0.456 | 0.382 | 0.168 |
| Pred | 0.466 | 0.386 | 0.101 |
| PredRNN-V2 | 0.449 | 0.303 | 0.080 |
| E3D-LSTM | 0.461 | 0.305 | 0.094 |
| MIM | 0.447 | 0.301 | 0.079 |
| Model | HSS (4 h Average) | ||
|---|---|---|---|
| ≥0.1 mm/h | ≥2.5 mm/h | ≥8 mm/h | |
| Pred-SF | 0.498 | 0.451 | 0.213 |
| Pred-SF (No ERA5) | 0.435 | 0.372 | 0.165 |
| Pred | 0.448 | 0.376 | 0.099 |
| PredRNN-V2 | 0.433 | 0.299 | 0.079 |
| E3D-LSTM | 0.442 | 0.300 | 0.093 |
| MIM | 0.430 | 0.295 | 0.079 |
Disclaimer/Publisher’s Note: The statements, opinions and data contained in all publications are solely those of the individual author(s) and contributor(s) and not of MDPI and/or the editor(s). MDPI and/or the editor(s) disclaim responsibility for any injury to people or property resulting from any ideas, methods, instructions or products referred to in the content. |
© 2023 by the authors. Licensee MDPI, Basel, Switzerland. This article is an open access article distributed under the terms and conditions of the Creative Commons Attribution (CC BY) license (https://creativecommons.org/licenses/by/4.0/).
Share and Cite
Tang, R.; Zhang, P.; Wu, J.; Chen, Y.; Dong, L.; Tang, S.; Li, C. Pred-SF: A Precipitation Prediction Model Based on Deep Neural Networks. Sensors 2023, 23, 2609. https://doi.org/10.3390/s23052609
Tang R, Zhang P, Wu J, Chen Y, Dong L, Tang S, Li C. Pred-SF: A Precipitation Prediction Model Based on Deep Neural Networks. Sensors. 2023; 23(5):2609. https://doi.org/10.3390/s23052609
Chicago/Turabian StyleTang, Rongnian, Pu Zhang, Jingjin Wu, Youlong Chen, Lingyu Dong, Song Tang, and Chuang Li. 2023. "Pred-SF: A Precipitation Prediction Model Based on Deep Neural Networks" Sensors 23, no. 5: 2609. https://doi.org/10.3390/s23052609
APA StyleTang, R., Zhang, P., Wu, J., Chen, Y., Dong, L., Tang, S., & Li, C. (2023). Pred-SF: A Precipitation Prediction Model Based on Deep Neural Networks. Sensors, 23(5), 2609. https://doi.org/10.3390/s23052609

