Design of an Integrated Controller for a Sweeping Mechanism of a Low-Dust Almond Pickup Machine
Abstract
:1. Introduction
1.1. Background
1.2. Related Works
1.3. Objectives
2. Materials and Methods
2.1. Mathematical Modeling for Sweeping System
2.2. Sweeper Angular Velocity Controller Design
2.2.1. Sweeper Motor System Identification
2.2.2. Angular Velocity Control System
2.2.3. Linear Actuator Height Controller Design
2.2.4. Linear Actuator System Identification
2.2.5. Linear Actuator Control System
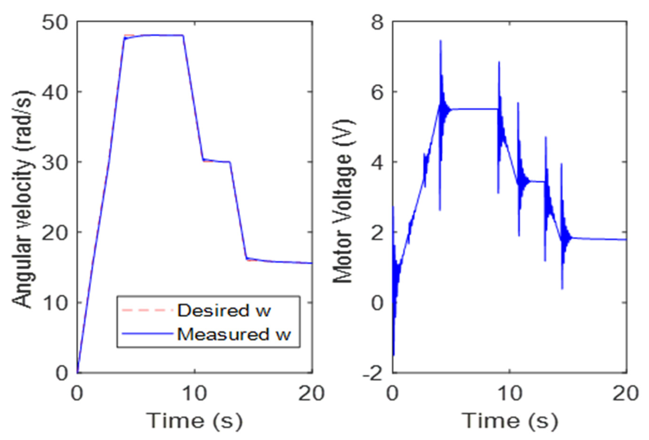
3. Performance Results
4. Conclusions
Author Contributions
Funding
Institutional Review Board Statement
Informed Consent Statement
Data Availability Statement
Conflicts of Interest
References
- “An Exciting New Standard in Low Dust Nut Harvesting”. 2018. Available online: https://exactcorp.com/products/conditioners/e-250-e-z-prep-conditioner/ (accessed on 4 February 2018).
- Flory. Flory Industries. 2019. Available online: https://www.goflory.com/index.php/products (accessed on 17 January 2019).
- Jackrabbit, “Lower Dust Cleaner Product Faster Speed”. 2019. Available online: https://jackrabbitequipment.com/harvester/ (accessed on 2 May 2019).
- Weiss McNair. 2018. Available online: https://www.weissmcnair.com/ (accessed on 27 June 2018).
- Xie, Y.; Alleyne, A. Two Degree of Freedom Control Synthesis with Applications to Agricultural Systems. J. Dyn. Syst. Meas. Control. 2014, 136, 1–11. [Google Scholar] [CrossRef]
- Yang, R.; Wang, Z.; Shang, S.; Zhang, J.; Qing, Y.; Zha, X. The Design and Experimentation of EVPIVS-PID Harvesters’ Header Height Control System Based on Sensor Ground Profiling Monitoring. Agriculture 2022, 12, 282. [Google Scholar] [CrossRef]
- Xie, Y.; Alleyne, A.; Greer, A.; Deneault, D. Header Height Control of A Combine Harvester System. In Proceedings of the ASME 2010 Dynamic Systems and Control Conference DSCC2010, Cambridge, MA, USA, 12–15 September 2010. [Google Scholar]
- Ni, Y.; Jin, C.; Chen, M.; Yuan, W.; Qian, Z.; Yang, T.; Cai, Z. Computational model and adjustment system of header height of soybean harvesters based on soil-machine system. Comput. Electron. Agric. 2021, 183, 105907. [Google Scholar] [CrossRef]
- Xie, Y.; Alleyne, A.; Greer, A.; Deneault, D. Fundamental Limits in Combine Harvester Header Height Control. J. Dyn. Syst. Meas. Control 2013, 135, 0345031–0345038. [Google Scholar] [CrossRef] [PubMed]
- Al Sawafi, W.M.S.; Hassan Ali, K. A Fuzzy Adaptive PID Controller Design for Header Height Tracking Control of Agricultural Combine Harvester. J. Mech. Eng. Res. 2021, 44, 227–238. [Google Scholar]
- Tulpule, P.; Kelkar, A. Integrated Robust Optimal Design (IROD) of Header Height Control System for Combine Harvester. In Proceedings of the American Control Conference (ACC), Portland, OR, USA, 4–6 June 2014. [Google Scholar]
- Zhao, L.; Zhang, J.; Jiao, S.; Zheng, T.; Li, J.; Zhao, T. Ground surface detection method using ground penetrating radar signal for sugarcane harvester base-cutter control. Biosyst. Eng. 2022, 219, 103–123. [Google Scholar] [CrossRef]
- Xie, X.; Alleyne, A. A Robust Two Degree-Of-Freedom Controller for Systems with Delay. In Proceedings of the American Control Conference (ACC), Washington, DC, USA, 17–19 June 2013. [Google Scholar]
- Lei, X.; Wang, S.; Lv, X.; Chang, Y.; Zhang, M.; Herbst, A. Optimal design of one-rotor orchard inter-row rake 220 based on tines trajectory analysis. Int. Agric. Eng. J. 2019, 28, 4. [Google Scholar]
- Almond Conference. Available online: https://www.almonds.com/sites/default/files/content/attachments/Almond%20Orchard%202025%20Reducing%20Dust%20at%20Harvest.pdf (accessed on 6 December 2018).









| Manufacturer | Model | Drive | Technology Notes |
|---|---|---|---|
| Harvest pickup equipment | |||
| Exact Corporation (Modesto, CA, USA) | E-3800 | Pull-behind PTO | Features a water misting and brush system at the separation fan. Reduced discharge airspeed |
| E-4000 | Pull-behind PTO | ||
| E-7000SP | |||
| Flory Industries (Salida, CA, USA) | 860 XL | Pull-behind PTO | Reduce fan speed, longer cleaning chain length, and changes to the location of dust discharge. Reduced discharge airspeed |
| 8600 XL | Self-Propelled | ||
| 8770 XL | Self-Propelled | ||
| Jackrabbit (Ripon, CA, USA) | Harvester | Pull-behind PTO | Disk-based cleaning section, With twin-rod out load chain. Adjustable fan speed and damper |
| Weiss-McNair (Chico, CA, USA) | 9800 California Special | Pull-behind PTO | Reduced fan speed, fan location, enlarged vacuum and separation chambers, and cleaning chain design. It reduced discharge airspeed |
| Magnum X | Self-Propelled | ||
| Shaker/Sweeper combination unit | |||
| Tenias (Turlock, CA, USA) | Almond Harvester | Self-Propelled | Shaker drops nuts onto a plate and funnels them into windrows. Eliminates the need for the sweeping process(sweeper/shaker in one combined unit) |
| Average (Lab Test) | Average (Field Test) | Improvement | Average (Lab Test) | Average (Field Test) | Improvement |
|---|---|---|---|---|---|
| 44 | 700 | 94% | 80 | 1015 | 92% |
Disclaimer/Publisher’s Note: The statements, opinions and data contained in all publications are solely those of the individual author(s) and contributor(s) and not of MDPI and/or the editor(s). MDPI and/or the editor(s) disclaim responsibility for any injury to people or property resulting from any ideas, methods, instructions or products referred to in the content. |
© 2023 by the authors. Licensee MDPI, Basel, Switzerland. This article is an open access article distributed under the terms and conditions of the Creative Commons Attribution (CC BY) license (https://creativecommons.org/licenses/by/4.0/).
Share and Cite
Serajian, R.; Sun, J.-Q.; Ehsani, R. Design of an Integrated Controller for a Sweeping Mechanism of a Low-Dust Almond Pickup Machine. Sensors 2023, 23, 2046. https://doi.org/10.3390/s23042046
Serajian R, Sun J-Q, Ehsani R. Design of an Integrated Controller for a Sweeping Mechanism of a Low-Dust Almond Pickup Machine. Sensors. 2023; 23(4):2046. https://doi.org/10.3390/s23042046
Chicago/Turabian StyleSerajian, Reza, Jian-Qiao Sun, and Reza Ehsani. 2023. "Design of an Integrated Controller for a Sweeping Mechanism of a Low-Dust Almond Pickup Machine" Sensors 23, no. 4: 2046. https://doi.org/10.3390/s23042046
APA StyleSerajian, R., Sun, J.-Q., & Ehsani, R. (2023). Design of an Integrated Controller for a Sweeping Mechanism of a Low-Dust Almond Pickup Machine. Sensors, 23(4), 2046. https://doi.org/10.3390/s23042046

