Single-Sensor Engine Multi-Type Fault Detection
Abstract
:1. Introduction
- (1)
- A new overall K and α optimization method based on spectral energy distribution and SNR is proposed for VMD, avoiding IMF screening and unifying the feature dimension to prepare for quick diagnosis.
- (2)
- The center frequencies are preset based on spectral energy distribution, which reduces the number of VMD iterations and mode aliasing.
- (3)
- A feature set was designed for IVMD-RF to achieve single-sensor fault diagnosis. Further filtering of features by feature importance ranking improves efficiency. Different single-sensor datasets demonstrate the effectiveness of the method.
2. Theories
2.1. Variational Mode Decomposition
| Algorithm 1: VMD |
| Input: A signal f, mode number K and quadratic penalty α. Output: A set of IMFs Initialize , n ← 0 repeat for k ← 1 to K do Update for all by (3) Update by (4) end for Dual ascent for all : until convergence: . |
2.2. Random Forests
- (1)
- Suppose the original sample is , where and represent feature values and labels, respectively. T training samples are extracted from the original dataset X by bootstrap sampling with return, and and X have the same number of samples.
- (2)
- Build a decision tree for each training sample , where i =1, 2, …T, k =1, 2, …. The decision tree model used in the paper is shown in (5) and (6).
3. Diesel Engine Faults Simulation Experiment
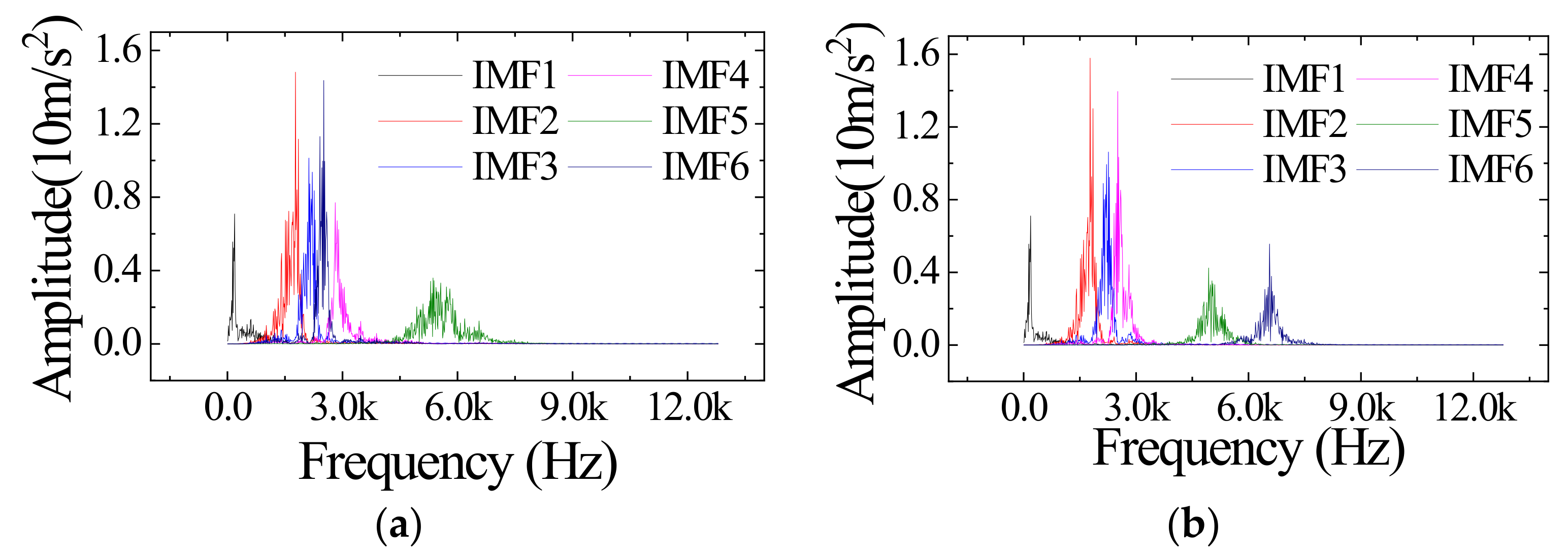
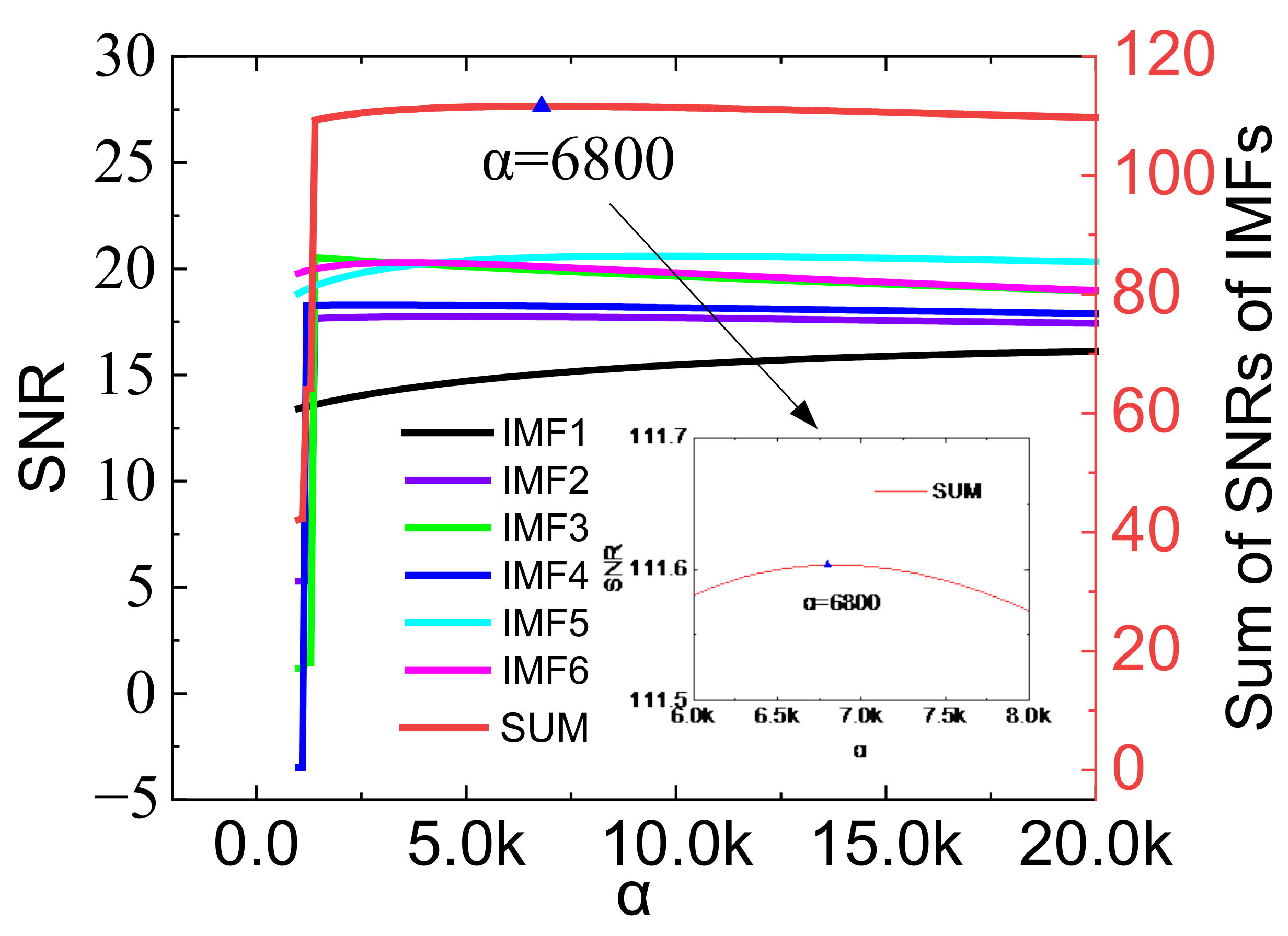
4. Optimization of Variational Mode Decomposition
| Algorithm 2: ARVMD |
| Input: A signal f0, Sampling frequency Fs and quadratic penalty α. Output: A set of IMFs. f = f0; IMFs = []; Eu = []; i = 0; while Eui > Eth do i = i + 1; Pf←Power spectral density (f); (Pmax, Fmax) ←Maximum, corresponding frequency (Pf); Npeak ←Numbers of maxima points in [Fmax ± 0.027 × Fs]; {F1, F2, …, Fn}← Corresponding frequencies of maxima points; {u1, u2,…, uKi} ← VMD (f, Ki, α, {F1, F2, …, FKi}); {Eu1, Eu2, …, EuKi}← Unit bandwidth energy ({u1, u2,…, uKi}); IMFs ←IMFs ∪{u1, u2,…, uKi}; Eu ←Eu ∪{Eu1, Eu2, …, EuKi}; f = f ; end while IMFs ←Selection by Eui > Eth (IMFs) return IMFs |
5. VMD-RF Fault Detection Method
5.1. Case 1: Diesel Engine Fault Diagnosis
- (1)
- SVM: The RBF kernel is chosen, and the penalty term C is set to 1. The inverse of the radius of influence of the support vector gamma is set to 0.1.
- (2)
- MLP: Two hidden layers are used, both with 30 neurons. The momentum is 0.2, and the learning rate is 0.3.
- (3)
- 1DCNN: The network consists of two convolutional layers (kernel size = 5), two maximum pooling layers (kernel size = 2), and a linear layer. The activation function is ReLU, and the optimizer is Adam.
- (4)
- LSTM-RNN: The network contains two LSTM layers with 64 nodes in each layer.
- (5)
- ResNet: The network uses the 18-layer ResNet model, as described in Ref. [38].

| Methods | 1H-2000 rpm | 1H-2300 rpm | 1B-2300 rpm | 3H-2300 rpm | 1H-Multi-Speed |
|---|---|---|---|---|---|
| SMO-SVM | 99.06 | 97.50 | 93.75 | 92.91 | 92.59 |
| MLP | 97.81 | 98.13 | 92.36 | 92.71 | 96.79 |
| 1DCNN | 94.06 | 99.06 | 92.89 | 94.06 | 96.56 |
| LSTM-RNN | 59.06 | 75.16 | 78.12 | 68.75 | 56.23 |
| ResNet | 91.09 | 96.88 | 88.28 | 86.72 | 92.19 |
| IVMD-RF | 98.75 | 99.38 | 92.91 | 93.54 | 97.32 |
5.2. Case 2: Gasoline Engine Fault Diagnosis
6. Conclusions and Discussion
Author Contributions
Funding
Institutional Review Board Statement
Informed Consent Statement
Data Availability Statement
Conflicts of Interest
References
- Zhong, J.H.; Wong, P.K.; Yang, Z.X. Fault diagnosis of rotating machinery based on multiple probabilistic classifiers. Mech. Syst. Signal Process. 2018, 108, 99–114. [Google Scholar] [CrossRef]
- Delvecchio, S.; Bonfiglio, P.; Pompoli, F. Vibro-acoustic condition monitoring of Internal Combustion Engines: A critical review of existing techniques. Mech. Syst. Signal Process. 2018, 99, 661–683. [Google Scholar] [CrossRef]
- Goyal, D.; Pabla, B.S. The Vibration Monitoring Methods and Signal Processing Techniques for Structural Health Monitoring: A Review. Arch. Comput. Methods Eng. 2016, 23, 585–594. [Google Scholar] [CrossRef]
- Ma, Y.L.; Cheng, J.S.; Wang, P.; Wang, J.; Yang, Y. A novel Lanczos quaternion singular spectrum analysis method and its application to bevel gear fault diagnosis with multi-channel signals. Mech. Syst. Signal Process. 2022, 168, 108679. [Google Scholar] [CrossRef]
- Ribeiro, R.F.; Areias, I.A.D.; Campos, M.M.; Teixeira, C.E.; da Silva, L.E.B.; Gomes, G.F. Fault detection and diagnosis in electric motors using 1d convolutional neural networks with multi-channel vibration signals. Measurement 2022, 190, 110759. [Google Scholar]
- Bhowmik, B.; Panda, S.; Hazra, B.; Pakrashi, V. Feedback-driven error-corrected single-sensor analytics for real-time condition monitoring. Int. J. Mech. Sci. 2022, 214, 106898. [Google Scholar] [CrossRef]
- Ayati, M.; Shirazi, F.A.; Ansari-Rad, S.; Zabihihesari, A. Classification-Based Fuel Injection Fault Detection of a Trainset Diesel Engine Using Vibration Signature Analysis. J. Dyn. Syst. Meas. Control 2020, 142, 051003. [Google Scholar] [CrossRef]
- Wang, H.F.; Jiang, W.; Deng, X.Y.; Geng, J. A new method for fault detection of aero-engine based on isolation forest. Measurement 2021, 185, 110064. [Google Scholar] [CrossRef]
- Ellefsen, A.L.; Han, P.H.; Cheng, X.; Holmeset, F.T.; Æsøy, V.; Zhang, H.X. Online Fault Detection in Autonomous Ferries: Using Fault-Type Independent Spectral Anomaly Detection. IEEE Trans. Instrum. Meas. 2020, 69, 8216–8225. [Google Scholar] [CrossRef]
- Liu, J.X.; Yang, L.D.; Xu, M.J.; Zhang, Q.; Yan, R.Q.; Chen, X.F. Model-based detection of soft faults using the smoothed residual for a control system. Meas. Sci. Technol. 2021, 32, 015107. [Google Scholar] [CrossRef]
- Wang, Z.J.; Zhang, J.J.; Jiang, Z.N.; Mao, Z.W.; Chang, K.; Wang, C.G. Quantitative misalignment detection method for diesel engine based on the average of shaft vibration and shaft shape characteristics. Measurement 2021, 181, 109527. [Google Scholar] [CrossRef]
- Naderi, E.; Khorasani, K. Data-driven fault detection, isolation and estimation of aircraft gas turbine engine actuator and sensors. Mech. Syst. Signal Process. 2018, 100, 415–438. [Google Scholar] [CrossRef]
- Chao, M.A.; Adey, B.T.; Fink, O. Implicit supervision for fault detection and segmentation of emerging fault types with Deep Variational Autoencoders. Neurocomputing 2021, 454, 324–338. [Google Scholar] [CrossRef]
- Elmasry, W.; Wadi, M. EDLA-EFDS: A Novel Ensemble Deep Learning Approach for Electrical Fault Detection Systems. Electr. Power Syst. Res. 2022, 207, 107834. [Google Scholar] [CrossRef]
- Feng, Y.; Liu, Z.J.; Chen, J.L.; Lv, H.X.; Wang, J.; Zhang, X.W. Unsupervised Multimodal Anomaly Detection with Missing Sources for Liquid Rocket Engine. IEEE Trans. Neural Netw. Learn. Syst. 2022. [Google Scholar] [CrossRef]
- Bi, F.R.; Ma, T.; Wang, X. Development of a novel knock characteristic detection method for gasoline engines based on wavelet-denoising and EMD decomposition. Mech. Syst. Signal Process. 2019, 117, 517–536. [Google Scholar]
- Wang, X.; Cai, Y.P.; Li, A.H.; Zhang, W.; Yue, Y.J.; Ming, A.B. Intelligent fault diagnosis of diesel engine via adaptive VMD-Rihaczek distribution and graph regularized bi-directional NMF. Measurement 2021, 172, 108823. [Google Scholar] [CrossRef]
- Dragomiretskiy, K.; Zosso, D. Variational Mode Decomposition. IEEE Trans. Signal Process. 2014, 62, 531–544. [Google Scholar] [CrossRef]
- Huang, S.L.; Sun, H.Y.; Wang, S.; Qu, K.F.; Zhao, W.; Peng, L.S. SSWT and VMD Linked Mode Identification and Time-of-Flight Extraction of Denoised SH Guided Waves. IEEE Sens. J. 2021, 21, 14709–14717. [Google Scholar] [CrossRef]
- Miao, Y.H.; Zhao, M.; Lin, J. Identification of mechanical compound-fault based on the improved parameter-adaptive variational mode decomposition. ISA Trans. 2019, 84, 82–95. [Google Scholar] [CrossRef]
- Nazari, M.; Sakhaei, S.M. Successive variational mode decomposition. Signal Process. 2020, 174, 107610. [Google Scholar] [CrossRef]
- Lian, J.J.; Liu, Z.; Wang, H.J.; Dong, X.F. Adaptive variational mode decomposition method for signal processing based on mode characteristic. Mech. Syst. Signal Process. 2018, 107, 53–77. [Google Scholar] [CrossRef]
- Mei, L.; Li, S.Y.; Zhang, C.; Han, M.X. Adaptive Signal Enhancement Based on Improved VMD-SVD for Leak Location in Water-Supply Pipeline. IEEE Sens. J. 2021, 21, 24601–24612. [Google Scholar] [CrossRef]
- Li, J.M.; Wang, H.; Zhang, J.F.; Yao, X.F.; Zhang, Y.G. Impact fault detection of gearbox based on variational mode decomposition and coupled underdamped stochastic resonance. ISA Trans. 2019, 95, 320–329. [Google Scholar] [CrossRef]
- Diao, X.; Jiang, J.C.; Shen, G.D.; Chi, Z.Z.; Wang, Z.R.; Ni, L.; Mebarki, A.; Bian, H.T.; Hao, Y.M. An improved variational mode decomposition method based on particle swarm optimization for leak detection of liquid pipelines. Mech. Syst. Signal Process. 2020, 143, 106787. [Google Scholar] [CrossRef]
- Sahani, M.; Dash, P.K. Deep Convolutional Stack Autoencoder of Process Adaptive VMD Data with Robust Multikernel RVFLN for Power Quality Events Recognition. IEEE Trans. Instrum. Meas. 2021, 70, 9001912. [Google Scholar] [CrossRef]
- Luo, X.J.; Fong, K.F.; Sun, Y.J.; Leung, M.K.H. Development of clustering-based sensor fault detection and diagnosis strategy for chilled water system. Energy Build. 2019, 186, 17–36. [Google Scholar] [CrossRef]
- Ni, Y.R.; Zeng, X.J.; Liu, Z.L.; Yu, K.; Xu, P.B.; Wang, Z.; Zhuo, C.; Huang, Y. Faulty feeder detection of single phase-to-ground fault for distribution networks based on improved K-means power angle clustering analysis. Int. J. Electr. Power Energy Syst. 2022, 142, 108252. [Google Scholar] [CrossRef]
- Shahid, S.M.; Ko, S.; Kwon, S. Real-time abnormality detection and classification in diesel engine operations with convolutional neural network. Expert Syst. Appl. 2022, 192, 116233. [Google Scholar] [CrossRef]
- Zhang, B.; Zhang, S.H.; Li, W.H. Bearing performance degradation assessment using long short-term memory recurrent network. Comput. Ind. 2019, 106, 14–29. [Google Scholar] [CrossRef]
- Lee, J.; Lee, Y.C.; Kim, J.T. Fault detection based on one-class deep learning for manufacturing applications limited to an imbalanced database. J. Manuf. Syst. 2020, 57, 357–366. [Google Scholar] [CrossRef]
- Li, H.F.; Hu, G.Z.; Li, J.Q.; Zhou, M.C. Intelligent Fault Diagnosis for Large-Scale Rotating Machines Using Binarized Deep Neural Networks and Random Forests. IEEE Trans. Autom. Sci. Eng. 2022, 19, 1109–1119. [Google Scholar] [CrossRef]
- Breiman, L. Random forests. Mach. Learn. 2001, 45, 5–32. [Google Scholar] [CrossRef]
- Nahim, H.M.; Younes, R.; Shraim, H.; Ouladsine, M. Oriented review to potential simulator for faults modeling in diesel engine. J. Mar. Sci. Technol. 2016, 21, 533–551. [Google Scholar] [CrossRef]
- Yu, S.W.; Ma, J.W. Complex Variational Mode Decomposition for Slop-Preserving Denoising. IEEE Trans. Geosci. Remote Sens. 2018, 56, 586–597. [Google Scholar] [CrossRef]
- Tang, D.J.; Bi, F.R.; Lin, J.W.; Li, X.; Yang, X.; Bi, X.Y. Adaptive Recursive Variational Mode Decomposition for Multiple Engine Faults Detection. IEEE Trans. Instrum. Meas. 2022, 71, 3513111. [Google Scholar] [CrossRef]
- The Bearing Data Source. Available online: https://csegroups.case.edu/bearingdatacenter (accessed on 10 April 2018).
- He, K.M.; Zhang, X.Y.; Ren, S.Q.; Sun, J. Deep Residual Learning for Image Recognition. In Proceedings of the IEEE Conference on Computer Vision and Pattern Recognition, Seattle, WA, USA, 27–30 June 2016; pp. 770–778. [Google Scholar]














| Items | Parameters |
|---|---|
| Displacement | 7.14 L |
| Rated power/Rated speed | 220 kW/2300 rpm |
| Maximum torque/Speed range | 1250 Nm/1200–1600 rpm |
| Intake/Exhaust valve clearance | 0.30 m/0.50 m |
| Instruments | Parameters |
|---|---|
| Dynamic dynamometer | CAC380, Xiangyi Power |
| Vibration acceleration sensor | 621B40, PCB |
| Photoelectric pulse speed sensor | SPSR-115/230, Monarch |
| Data acquisition front end | SCADAS05, LMS |
| Speed (rpm) | Valve Clearance-Intake, Exhaust (mm) | Fuel Supply (mg/cyc) | Rail Pressure (bar) | Injection Advance Angle (°CA) |
|---|---|---|---|---|
| 700 | (0.30, 0.50) | 60.0 | 405 | - |
| 1300 | (0.30, 0.50) | 117.0 | 1250 | 9.49 |
| 1600 | (0.30, 0.50) | 117.0 | 1350 | 12.98 |
| 2000 | (0.30, 0.50) | 117.0 | 1500 | 15.00 |
| 2300 | (0.30, 0.50) | 112.5 | 1550 | 18.45 |
| Mark | Valve Clearance (Intake, Exhaust)/mm | Fuel Supply | Rail Pressure/bar | Injection Advance Angle/°CA |
|---|---|---|---|---|
| I | (0.30, 0.50) | 100% | 1550 | 18.45 |
| II | (0.20, 0.40) | 100% | 1550 | 18.45 |
| III | (0.35, 0.55) | 100% | 1550 | 18.45 |
| IV | (0.40, 0.60) | 100% | 1550 | 18.45 |
| V | (0.30, 0.50) | 75% | 1550 | 18.45 |
| VI | (0.30, 0.50) | 25% | 1550 | 18.45 |
| VII | (0.30, 0.50) | 100% | 1350 | 18.45 |
| VIII | (0.30, 0.50) | 100% | 1150 | 18.45 |
| IX | (0.30, 0.50) | 100% | 1550 | 17.45 |
| X | (0.30, 0.50) | 100% | 1550 | 16.45 |
| XI | (0.30, 0.50) | 100% | 1550 | 19.45 |
| XII | (0.30, 0.50) | 100% | 1550 | 20.45 |
| Attribute Name | Symbols |
|---|---|
| Maximum singular value | S_1, S_2, S_3, S_4, S_5, S_6 |
| Energy | E_1, E_2, E_3, E_4, E_5, E_6 |
| Unit bandwidth energy | Eu_1, Eu_2, Eu_3, Eu_4, Eu_5, Eu_6 |
| Kurtosis | K_1, K_2, K_3, K_4, K_5, K_6 |
| Variance | V_1, V_2, V_3, V_4, V_5, V_6 |
| Root mean square | R_1, R_2, R_3, R_4, R_5, R_6 |
| Center frequency | C_1, C_2, C_3, C_4, C_5, C_6 |
| Original signal attributes | S, E, R, V |
| Methods | 1H-2000 rpm | 1H-2300 rpm | 1B-2300 rpm | 3H-2300 rpm | 1H-Multi-Speed |
|---|---|---|---|---|---|
| SMO-SVM | 0.05 | 0.06 | 0.05 | 0.07 | 2.84 |
| MLP | 9.60 | 9.91 | 9.55 | 9.53 | 274.21 |
| 1DCNN | 13.02 | 14.10 | 14.65 | 14.87 | 167.38 |
| LSTM-RNN | 17.85 | 18.21 | 20.26 | 20.48 | 224.95 |
| ResNet | 49.32 | 47.66 | 54.53 | 51.66 | 446.92 |
| IVMD-RF | 0.26 | 0.28 | 0.31 | 0.29 | 4.30 |
| / | Methods | SMO-SVM | MLP | 1DCNN | LSTM-RNN | ResNet | IVMD-RF |
|---|---|---|---|---|---|---|---|
| First cylinder head Y-direction (1H) | Accuracy | 0.81 | 0.92 | 0.93 | 0.68 | 0.87 | 0.97 |
| Precision | 0.82 | 0.92 | 0.94 | 0.65 | 0.89 | 0.97 | |
| Recall | 0.81 | 0.92 | 0.92 | 0.63 | 0.88 | 0.96 | |
| F1-score | 0.82 | 0.92 | 0.92 | 0.62 | 0.88 | 0.97 | |
| Time (s) | 0.99 | 70.19 | 130.02 | 189.29 | 219.77 | 2.20 | |
| First cylinder block Y-direction (1B) | Accuracy | 0.81 | 0.89 | 0.93 | 0.67 | 0.86 | 0.92 |
| Precision | 0.81 | 0.89 | 0.94 | 0.75 | 0.87 | 0.92 | |
| Recall | 0.80 | 0.89 | 0.91 | 0.72 | 0.85 | 0.92 | |
| F1-score | 0.80 | 0.89 | 0.91 | 0.72 | 0.86 | 0.92 | |
| Time (s) | 1.13 | 70.69 | 145.99 | 192.59 | 224.21 | 2.74 | |
| Third cylinder head Y-direction (3H) | Accuracy | 0.65 | 0.75 | 0.83 | 0.47 | 0.78 | 0.94 |
| Precision | 0.66 | 0.76 | 0.83 | 0.42 | 0.72 | 0.93 | |
| Recall | 0.65 | 0.76 | 0.80 | 0.42 | 0.71 | 0.94 | |
| F1-score | 0.65 | 0.76 | 0.81 | 0.40 | 0.71 | 0.93 | |
| Time (s) | 1.03 | 70.28 | 143.31 | 203.47 | 221.34 | 2.92 |
| Items | Parameters |
|---|---|
| Displacement | 0.294 L |
| Rated power/Rated speed | 35.5 kW/8500 rpm |
| Maximum torque/Speed range | 44.5 Nm/7000 rpm |
| Mark | Injection Advance Angle | Air/Fuel Ratio | Misfire Rate |
|---|---|---|---|
| I | 10 °CA | 1 | 0 |
| II | 5 °CA | 1 | 0 |
| III | 15 °CA | 1 | 0 |
| IV | 10 °CA | 1.1 | 0 |
| V | 10 °CA | 1.2 | 0 |
| VI | 10 °CA | 1 | 0.05 |
| VII | 10 °CA | 1 | 0.1 |
| Methods | SMO-SVM | MLP | 1DCNN | LSTM-RNN | ResNet | IVMD-RF | |
|---|---|---|---|---|---|---|---|
| First cylinder head Y-direction (1Y) | Accuracy | 0.67 | 0.75 | 0.82 | 0.52 | 0.78 | 0.85 |
| Precision | 0.68 | 0.77 | 0.81 | 0.69 | 0.78 | 0.85 | |
| Recall | 0.67 | 0.75 | 0.82 | 0.51 | 0.79 | 0.84 | |
| F1-score | 0.67 | 0.72 | 0.82 | 0.52 | 0.78 | 0.84 | |
| Time (s) | 0.33 | 15.83 | 9.45 | 6.44 | 11.02 | 1.16 | |
| Second cylinder head X-direction (2X) | Accuracy | 0.72 | 0.74 | 0.82 | 0.59 | 0.79 | 0.79 |
| Precision | 0.72 | 0.74 | 0.82 | 0.58 | 0.77 | 0.78 | |
| Recall | 0.72 | 0.74 | 0.81 | 0.58 | 0.76 | 0.79 | |
| F1-score | 0.72 | 0.74 | 0.82 | 0.58 | 0.74 | 0.79 | |
| Time (s) | 0.25 | 15.80 | 9.61 | 6.51 | 11.05 | 1.12 |
Disclaimer/Publisher’s Note: The statements, opinions and data contained in all publications are solely those of the individual author(s) and contributor(s) and not of MDPI and/or the editor(s). MDPI and/or the editor(s) disclaim responsibility for any injury to people or property resulting from any ideas, methods, instructions or products referred to in the content. |
© 2023 by the authors. Licensee MDPI, Basel, Switzerland. This article is an open access article distributed under the terms and conditions of the Creative Commons Attribution (CC BY) license (https://creativecommons.org/licenses/by/4.0/).
Share and Cite
Tang, D.; Bi, F.; Cheng, J.; Yang, X.; Shen, P.; Bi, X. Single-Sensor Engine Multi-Type Fault Detection. Sensors 2023, 23, 1642. https://doi.org/10.3390/s23031642
Tang D, Bi F, Cheng J, Yang X, Shen P, Bi X. Single-Sensor Engine Multi-Type Fault Detection. Sensors. 2023; 23(3):1642. https://doi.org/10.3390/s23031642
Chicago/Turabian StyleTang, Daijie, Fengrong Bi, Jiangang Cheng, Xiao Yang, Pengfei Shen, and Xiaoyang Bi. 2023. "Single-Sensor Engine Multi-Type Fault Detection" Sensors 23, no. 3: 1642. https://doi.org/10.3390/s23031642
APA StyleTang, D., Bi, F., Cheng, J., Yang, X., Shen, P., & Bi, X. (2023). Single-Sensor Engine Multi-Type Fault Detection. Sensors, 23(3), 1642. https://doi.org/10.3390/s23031642

