Contactless Rotor Ground Fault Detection Method for Brushless Synchronous Machines Based on an AC/DC Rotating Current Sensor
Abstract
:1. Introduction
- It allows for the detection of a first ground fault in BSMs before a short-circuit appears, avoiding a high level of damage in the machine and providing an early diagnostic of the machine.
- It does not need any brush to measure the ground fault current in the rotor, so possible sparking problems are avoided.
- It can discern if the fault is taking place in the armature winding of the exciter or in the field winding of the main SM attending to the frequency components of the sensor’s measured voltage.
2. Operation Principles of the Rotor Ground Fault Detection Method
2.1. Inductive AC/DC Rotating Current Sensor Brief Description
2.2. Ground Fault Detection Method Description
2.2.1. AC Side: Armature Winding of the Exciter GF Detection
2.2.2. DC Side: Field Winding of the Main Machine GF Detection
3. Experimental Setup
4. Experimental Results
4.1. Healthy Conditions Tests
4.2. Rotor DC Side Ground Faults: Main Machine Excitation Winding
4.3. Rotor AC Side Ground Faults: Armature Exciter Winding
5. Discussion
6. Conclusions
7. Patents
Author Contributions
Funding
Institutional Review Board Statement
Informed Consent Statement
Data Availability Statement
Conflicts of Interest
Appendix A
| Parameter | Magnitude | Units |
|---|---|---|
| Machine type | Brushless Synchronous Machine | |
| Rated power | 12.5 | kVA |
| Rated speed | 1500 | rpm |
| Rated voltage | 400 | V |
| Rated power factor | 0.8 | |
| Rated current | 18 | A |
| Phases | 3 | |
| Rated frequency | 50 | Hz |
| Isolation class | F | |
| Parameter | Magnitude | Units |
|---|---|---|
| Machine type | Synchronous brushless | |
| Rated speed | 1500 | rpm |
| Rated excitation voltage | 15 | V |
| Rated excitation current | 1.5 | A |
| No-load excitation voltage | 4.25 | V |
| No-load excitation current | 0.5 | A |
| Phases | 3 | |
| Number of poles | 12 | |
| Isolation class | F | |
| Parameter | Magnitude | Units |
|---|---|---|
| Machine type | Prototype sensor | |
| Number of field poles | 2 | |
| Number of armature poles | 2 | |
| Number of turns of field winding | 1000 | |
| Number of turns of armature winding | 3000 | |
| Wires section | 0.096 | mm2 |
| Rated speed | 1500 | rpm |
| Rotor diameter | 122.5 | mm |
| Air gap | 0.5 | mm |
References
- Hao, L.; Chang, J.; Hu, L.; Wang, X.; Zong, W.; Gui, L. Analysis of the Interturn Short Circuits of Stator Field Windings in Multiphase Angular Brushless Exciter at Nuclear Power Plant. IEEE Trans. Energy Convers. 2019, 34, 2126–2136. [Google Scholar] [CrossRef]
- Hao, L.; Chen, J.; He, L.; Duan, X.; He, P.; Wang, G. Modeling, Analysis, and Identification of Armature Winding Interturn Fault in Multiphase Brushless Exciters. IEEE Trans. Power Electron. 2022, 38, 1119–1131. [Google Scholar] [CrossRef]
- Yan, Y.; Bukhari, S.S.H.; Ro, J.-S. Novel Hybrid Consequent-Pole Brushless Wound Rotor Synchronous Machine for Improving Torque Characteristics. IEEE Access 2022, 10, 35953–35964. [Google Scholar] [CrossRef]
- Juan, Y.; Haiyi, X.; Zhangang, Y. An Active Control Excitation Method of Three-Stage Brushless Synchronous Starter/Generator in Electric Starting Mode for MEA. IEEE Access 2021, 9, 109763–109774. [Google Scholar] [CrossRef]
- Zhu, S.; Hu, Y.; Li, J.; Liu, C.; Wang, K. Magnetic Field Analysis and Operating Characteristics of a Brushless Electrical Excitation Synchronous Generator with DC Excitation. IEEE Trans. Magn. 2022, 58, 8106007. [Google Scholar] [CrossRef]
- Pardo-Vicente, M.A.; Platero, C.A.; Sánchez-Fernández, J.; Blázquez, F. AC/DC Current Sensor for Rotating Applications. Sensors 2020, 20, 6811. [Google Scholar] [CrossRef] [PubMed]
- Shareef, H.; Asna, M.; Errouissi, R.; Prasanthi, A. Rule-Based Non-Intrusive Load Monitoring Using Steady-State Current Waveform Features. Sensors 2023, 23, 6926. [Google Scholar] [CrossRef] [PubMed]
- Zhong, C.; Zhang, Z.; Zhu, A.; Liang, B. An Adaptive Virtual Impedance Method for Grid-Connected Current Quality Improvement of a Single-Phase Virtual Synchronous Generator under Distorted Grid Voltage. Sensors 2023, 23, 6857. [Google Scholar] [CrossRef]
- Ge, J.; Yin, Y.; Wang, W. Lightning Current Measurement Form and Arrangement Scheme of Transmission Line Based on Point-Type Optical Current Transducer. Sensors 2023, 23, 7467. [Google Scholar] [CrossRef]
- Gyftakis, K.N.; Cardoso, A.J.M. Reliable Detection of Stator Interturn Faults of Very Low Severity Level in Induction Motors. IEEE Trans. Ind. Electron. 2020, 68, 3475–3484. [Google Scholar] [CrossRef]
- Pang, J.; Liu, W.; Wei, Z.; Sun, C.; Jiao, N.; Han, X. Online Diode Fault Detection in Rotating Rectifier of the Brushless Synchronous Starter Generator. IEEE Trans. Ind. Inform. 2020, 16, 6943–6951. [Google Scholar] [CrossRef]
- Kim, H.; Shaikh, M.F.; Bin Lee, S.; Platero, C.A.; Kim, T. Alternative Test Methods for Monitoring the Condition of Brushless Exciters in Synchronous Machines. IEEE Trans. Energy Convers. 2022, 37, 2009–2018. [Google Scholar] [CrossRef]
- C37.102-2006; IEEE Guide for AC Generator Protection. IEEE: New York, NY, USA, 2007; pp. 1–177.
- IEEE Std 1129-2014; IEEE Guide for Online Monitoring of Large Synchronous Generators (10 MVA and Above). IEEE: New York, NY, USA, 2014; pp. 1–62.
- Pardo, M.; Mahtani, K.; Platero, C.A.; Fernández, J.A.S. On-Line Rotor Ground Fault Location Method for Brushless Synchronous Machines. IEEE Trans. Ind. Appl. 2023, 59, 3067–3076. [Google Scholar] [CrossRef]
- Shahzad, U.; Kahrobaee, S.; Asgarpoor, S. Protection of Distributed Generation: Challenges and Solutions. Energy Power Eng. 2017, 9, 614–653. [Google Scholar] [CrossRef]
- Fischer, N.; Finney, D.; Taylor, D. How to determine the effectiveness of generator differential protection. In Proceedings of the 2014 67th Annual Conference for Protective Relay Engineers, College Station, TX, USA, 31 March–3 April 2014; pp. 408–420. [Google Scholar] [CrossRef]
- Pillai, P.; Bailey, B.G.; Bowen, J.; Dalke, G.; Douglas, B.G.; Fischer, J.; Jones, J.R.; Love, D.J.; Mozina, C.J.; Nichols, N.; et al. Grounding and Ground Fault Protection of Multiple Generator Installations on Medium-Voltage Industrial and Commercial Power Systems-Part 3: Protection Methods Working Group Report. IEEE Trans. Ind. Appl. 2004, 40, 24–28. [Google Scholar] [CrossRef]
- Safari-Shad, N.; Franklin, R.; Negahdari, A.; Toliyat, H.A. Adaptive 100% Injection-Based Generator Stator Ground Fault Protection with Real-Time Fault Location Capability. IEEE Trans. Power Deliv. 2018, 33, 2364–2372. [Google Scholar] [CrossRef]
- Hartmann, W. Advanced Generator Ground Fault Protections—A Revisit with New Information. In Proceedings of the 2019 72nd Conference for Protective Relay Engineers (CPRE), College Station, TX, USA, 25–28 March 2019; pp. 1–23. [Google Scholar] [CrossRef]
- Al Jaafari, K.; Negahdari, A.; Toliyat, H.A.; Safari-Shad, N.; Franklin, R. Modeling and Experimental Verification of a 100% Stator Ground Fault Protection Based on Adaptive Third-Harmonic Differential Voltage Scheme for Synchronous Generators. IEEE Trans. Ind. Appl. 2017, 53, 3379–3386. [Google Scholar] [CrossRef]
- Qiao, J.; Qiao, J.; Yin, X.; Yin, X.; Wang, Y.; Wang, Y.; Lu, Q.; Lu, Q.; Tan, L.; Tan, L.; et al. A Rotor Ground Fault Protection Method Based on Injection Principle for Variable Speed Pumped Storage Generator-Motor. IEEE Trans. Power Deliv. 2022, 38, 1159–1168. [Google Scholar] [CrossRef]
- Gaona, C.A.P.; Blázquez, F.; Frías, P.; Redondo, M. A Novel Rotor Ground-Fault-Detection Technique for Synchronous Machines with Static Excitation. IEEE Trans. Energy Convers. 2010, 25, 965–973. [Google Scholar] [CrossRef]
- Platero, C.A.; Blázquez, F.; Frías, P.; Pardo, M. New On-Line Rotor Ground Fault Location Method for Synchronous Machines with Static Excitation. IEEE Trans. Energy Convers. 2011, 26, 572–580. [Google Scholar] [CrossRef]
- Shaikh, M.F.; Kim, H.-J.; Bin Lee, S.; Lim, C. Online Airgap Flux Based Diagnosis of Rotor Eccentricity and Field Winding Turn Insulation Faults in Synchronous Generators. IEEE Trans. Energy Convers. 2021, 37, 359–366. [Google Scholar] [CrossRef]
- Ehya, H.; Nysveen, A. Pattern Recognition of Interturn Short Circuit Fault in a Synchronous Generator Using Magnetic Flux. IEEE Trans. Ind. Appl. 2021, 57, 3573–3581. [Google Scholar] [CrossRef]














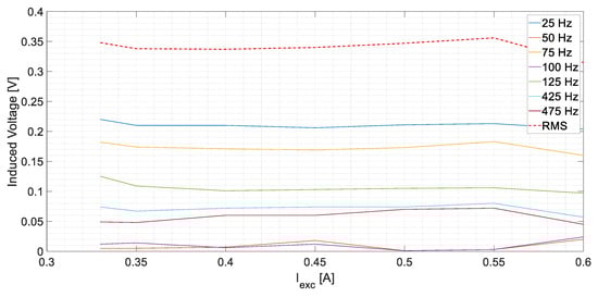
| Operation Conditions | Current Sensor-Induced Voltage US [V] | |||||||||
|---|---|---|---|---|---|---|---|---|---|---|
| Iexc [A] | Vstator [V] | Istator [A] | 25 [Hz] | 50 [Hz] | 75 [Hz] | 100 [Hz] | 125 [Hz] | 425 [Hz] | 475 [Hz] | RMS [V] |
| 0.33 | 384 | 0.0 | 0.220 | 0.005 | 0.182 | 0.012 | 0.125 | 0.074 | 0.049 | 0.348 |
| 0.35 | 274 | 5.9 | 0.210 | 0.005 | 0.174 | 0.014 | 0.109 | 0.067 | 0.048 | 0.338 |
| 0.40 | 296 | 6.4 | 0.210 | 0.007 | 0.171 | 0.006 | 0.101 | 0.072 | 0.060 | 0.337 |
| 0.45 | 320 | 6.8 | 0.206 | 0.018 | 0.169 | 0.012 | 0.103 | 0.074 | 0.060 | 0.340 |
| 0.50 | 340 | 7.3 | 0.211 | 0.001 | 0.173 | 0.001 | 0.105 | 0.074 | 0.070 | 0.347 |
| 0.55 | 362 | 7.7 | 0.213 | 0.003 | 0.183 | 0.003 | 0.106 | 0.080 | 0.072 | 0.356 |
| 0.60 | 382 | 8.1 | 0.204 | 0.020 | 0.160 | 0.024 | 0.097 | 0.057 | 0.045 | 0.315 |
Disclaimer/Publisher’s Note: The statements, opinions and data contained in all publications are solely those of the individual author(s) and contributor(s) and not of MDPI and/or the editor(s). MDPI and/or the editor(s) disclaim responsibility for any injury to people or property resulting from any ideas, methods, instructions or products referred to in the content. |
© 2023 by the authors. Licensee MDPI, Basel, Switzerland. This article is an open access article distributed under the terms and conditions of the Creative Commons Attribution (CC BY) license (https://creativecommons.org/licenses/by/4.0/).
Share and Cite
Pardo-Vicente, M.A.; Guerrero, J.M.; Platero, C.A.; Sánchez-Férnandez, J.A. Contactless Rotor Ground Fault Detection Method for Brushless Synchronous Machines Based on an AC/DC Rotating Current Sensor. Sensors 2023, 23, 9065. https://doi.org/10.3390/s23229065
Pardo-Vicente MA, Guerrero JM, Platero CA, Sánchez-Férnandez JA. Contactless Rotor Ground Fault Detection Method for Brushless Synchronous Machines Based on an AC/DC Rotating Current Sensor. Sensors. 2023; 23(22):9065. https://doi.org/10.3390/s23229065
Chicago/Turabian StylePardo-Vicente, Miguel A., José M. Guerrero, Carlos A. Platero, and José A. Sánchez-Férnandez. 2023. "Contactless Rotor Ground Fault Detection Method for Brushless Synchronous Machines Based on an AC/DC Rotating Current Sensor" Sensors 23, no. 22: 9065. https://doi.org/10.3390/s23229065
APA StylePardo-Vicente, M. A., Guerrero, J. M., Platero, C. A., & Sánchez-Férnandez, J. A. (2023). Contactless Rotor Ground Fault Detection Method for Brushless Synchronous Machines Based on an AC/DC Rotating Current Sensor. Sensors, 23(22), 9065. https://doi.org/10.3390/s23229065

