The Impact of Sex, Body Mass Index, Age, Exercise Type and Exercise Duration on Interstitial Glucose Levels during Exercise
Abstract
:1. Introduction
2. Methods
2.1. Study Design and Participants
2.2. Statistical Analysis
3. Results
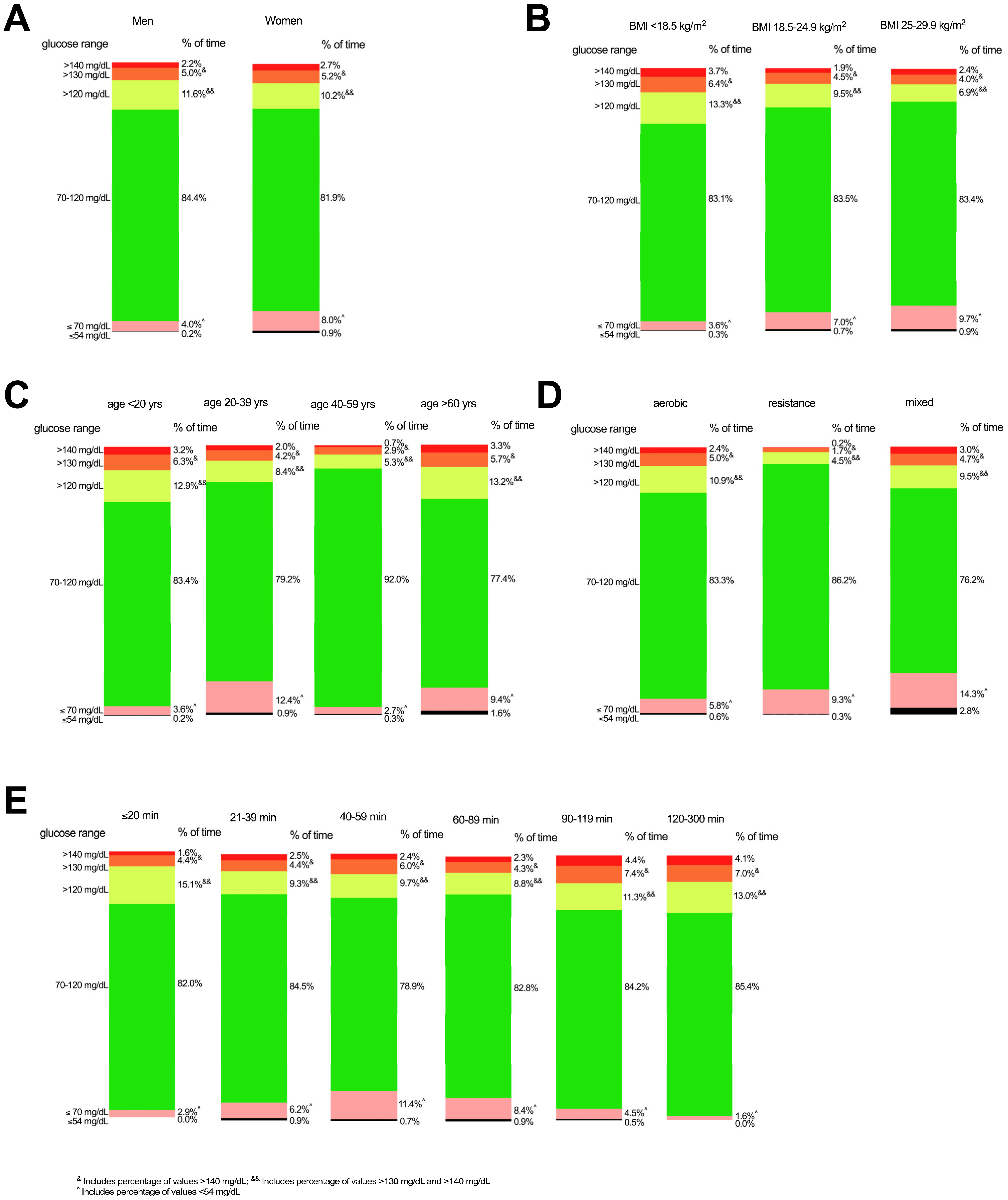
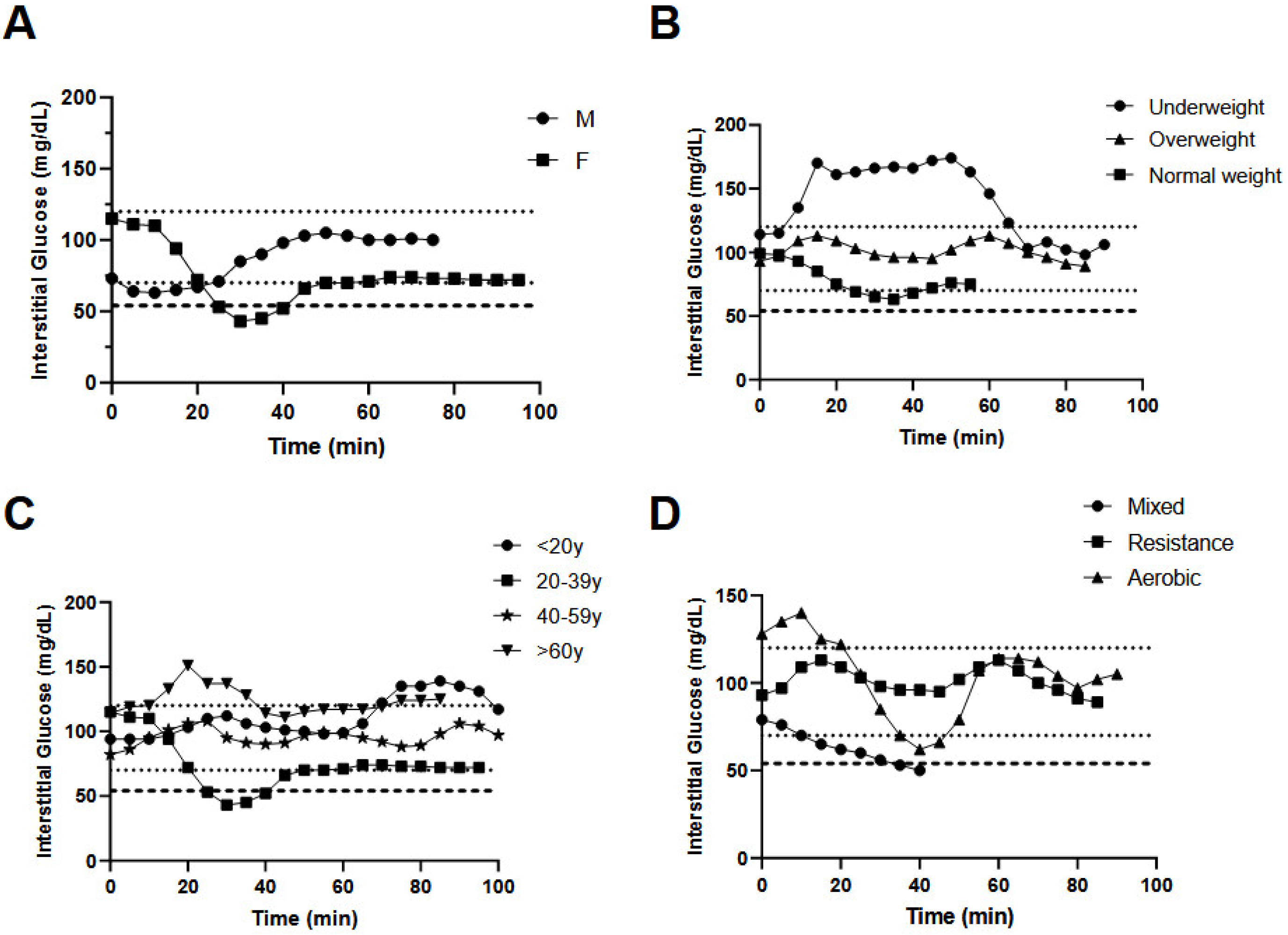
3.1. Summary of Descriptive Statistics
3.2. Effects of Exercise and Individual Characteristics on CGM Data Distribution
3.3. Effects of Exercise and Individual Characteristics on Acute Glycemic Change Using GEE Analyses
3.3.1. Sex
3.3.2. Age
3.3.3. BMI
3.3.4. Exercise Type
3.3.5. Exercise Duration
4. Discussion
Supplementary Materials
Author Contributions
Funding
Informed Consent Statement
Data Availability Statement
Acknowledgments
Conflicts of Interest
References
- Brooks, G.A. The Precious Few Grams of Glucose during Exercise. Int. J. Mol. Sci. 2020, 21, 5733. [Google Scholar] [CrossRef]
- Scuffi, C. Interstitium versus Blood Equilibrium in Glucose Concentration and its Impact on Subcutaneous Continuous Glucose Monitoring Systems. Eur. Endocrinol. 2014, 10, 36–42. [Google Scholar] [CrossRef]
- Wasserman, D.H. Four grams of glucose. Am. J. Physiol. Endocrinol. Metab. 2009, 296, E11–E21. [Google Scholar] [CrossRef] [PubMed]
- Horton, T.J.; Grunwald, G.K.; Lavely, J.; Donahoo, W.T. Glucose kinetics differ between women and men, during and after exercise. J. Appl. Physiol. 2006, 100, 1883–1894. [Google Scholar] [CrossRef] [PubMed]
- Kuipers, H.; Fransen, E.J.; Keizer, H.A. Pre-exercise ingestion of carbohydrate and transient hypoglycemia during exercise. Int. J. Sports Med. 1999, 20, 227–231. [Google Scholar] [CrossRef] [PubMed]
- Jentjens, R.L.P.G.; Jeukendrup, A.E. Prevalence of hypoglycemia following pre-exercise carbohydrate ingestion is not accompanied By higher insulin sensitivity. Int. J. Sports Nutr. Exerc. Metab. 2002, 12, 398–413. [Google Scholar] [CrossRef]
- French, J.K.; Frengley, P.A. Hypoglycemia induced seizures following a marathon. N. Z. Med. J. 1983, 96, 407. [Google Scholar] [PubMed]
- Gordon, B.; Kohn, L.A.; Levine, S.A.; Matton, M.; Scriver, W.D.M.; Whiting, W.B. Sugar content of the blood in runners following a marathon race: With especial reference to the prevention of hypoglycemia: Further observations. J. Am. Med. Assoc. 1925, 85, 508–509. [Google Scholar] [CrossRef]
- Coggan, A.R.; Coyle, E.F. Carbohydrate ingestion during prolonged exercise: Effects on metabolism and performance. Exerc. Sport. Sci. Rev. 1991, 19, 1–40. [Google Scholar] [CrossRef] [PubMed]
- Achten, J.; Halson, S.L.; Moseley, L.; Rayson, M.P.; Casey, A.; Jeukendrup, A.E. Higher dietary carbohydrate content during intensified running training results in better maintenance of performance and mood state. J. Appl. Physiol. 2004, 96, 1331–1340. [Google Scholar] [CrossRef]
- Andrews, J.L.; Sedlock, D.A.; Flynn, M.G.; Navalta, J.W.; Ji, H. Carbohydrate loading and supplementation in endurance-trained women runners. J. Appl. Physiol. 2003, 95, 584–590. [Google Scholar] [CrossRef]
- Sigal, R.J.; Purdon, C.; Bilinski, D.; Vranic, M.; Halter, J.B.; Marliss, E.B. Glucoregulation during and after intense exercise: Effects of beta-blockade. J. Clin. Endocrinol. Metab. 1994, 78, 359–366. [Google Scholar]
- Tarnopolsky, L.J.; MacDougall, J.D.; Atkinson, S.A.; Tarnopolsky, M.A.; Sutton, J.R. Gender differences in substrate for endurance exercise. J. Appl. Physiol. 1990, 68, 302–308. [Google Scholar] [CrossRef]
- Ruby, B.C.; Coggan, A.R.; Zderic, T.W. Gender differences in glucose kinetics and substrate oxidation during exercise near the lactate threshold. J. Appl. Physiol. 2002, 92, 1125–1132. [Google Scholar] [CrossRef]
- M’Kaouar, H.; Péronnet, F.; Massicotte, D.; Lavoie, C. Gender difference in the metabolic response to prolonged exercise with [13C]glucose ingestion. Eur. J. Appl. Physiol. 2004, 92, 462–469. [Google Scholar] [CrossRef]
- Tremblay, J.; Peronnet, F.; Massicotte, D.; Lavoie, C. Carbohydrate supplementation and sex differences in fuel selection during exercise. Med. Sci. Sports Exerc. 2010, 42, 1314–1323. [Google Scholar] [CrossRef]
- Yardley, J.E.; Brockman, N.K.; Bracken, R.M. Could Age, Sex and Physical Fitness Affect Blood Glucose Responses to Exercise in Type 1 Diabetes? Front. Endocrinol. 2018, 9, 674. [Google Scholar] [CrossRef] [PubMed]
- Jaklevic, M.C. Start-ups Tout Continuous Glucose Monitoring for People Without Diabetes. JAMA 2021, 325, 2140–2142. [Google Scholar] [CrossRef]
- Klonoff, D.C.; Ahn, D.; Drincic, A. Continuous glucose monitoring: A review of the technology and clinical use. Diabetes Res. Clin. Pract. 2017, 133, 178–192. [Google Scholar] [CrossRef]
- Juvenile Diabetes Research Foundation Continuous Glucose Monitoring Study Group; Fox, L.A.; Beck, R.W.; Xing, D. Variation of interstitial glucose measurements assessed by continuous glucose monitors in healthy, nondiabetic individuals. Diabetes Care 2010, 33, 1297–1299. [Google Scholar]
- Jin, Z.; Thackray, A.E.; King, J.A.; Deighton, K.; Davies, M.J.; Stensel, D.J. Analytical Performance of the Factory-Calibrated Flash Glucose Monitoring System FreeStyle Libre2TM in Healthy Women. Sensors 2023, 23, 7417. [Google Scholar] [CrossRef]
- Coates, A.M.; Cohen, J.N.; Burr, J.F. Investigating sensor location on the effectiveness of continuous glucose monitoring during exercise in a non-diabetic population. Eur. J. Sports Sci. 2023, 23, 2109–2117. [Google Scholar] [CrossRef]
- Freckmann, G.; Schauer, S.; Beltzer, A.; Waldenmaier, D.; Buck, S.; Baumstark, A.; Pleus, S. Continuous Glucose Profiles in Healthy People with Fixed Meal Times and under Everyday Life Conditions. J. Diabetes Sci. Technol. 2022. [Google Scholar] [CrossRef]
- Schierbauer, J.R.; Günther, S.; Haupt, S.; Zimmer, R.T.; Zunner, B.E.; Zimmermann, P.; Moser, O. Accuracy of Real Time Continuous Glucose Monitoring during Different Liquid Solution Challenges in Healthy Adults: A Randomized Controlled Cross-Over Trial. Sensors 2022, 22, 3104. [Google Scholar] [CrossRef] [PubMed]
- Shah, V.N.; DuBose, S.N.; Li, Z.; Beck, R.W.; Peters, A.L.; Weinstock, R.S.; Sherr, J. Continuous Glucose Monitoring Profiles in Healthy Nondiabetic Participants: A Multicenter Prospective Study. J. Clin. Endocrinol. Metab. 2019, 104, 4356–4364. [Google Scholar] [CrossRef] [PubMed]
- DuBose, S.N.; Li, Z.; Sherr, J.L.; Beck, R.W.; Tamborlane, W.V.; Shah, V.N. Effect of Exercise and Meals on Continuous Glucose Monitor Data in Healthy Individuals Without Diabetes. J. Diabetes Sci. Technol. 2021, 15, 593–599. [Google Scholar] [CrossRef] [PubMed]
- Bauhaus, H.; Erdogan, P.; Braun, H.; Thevis, M. Continuous Glucose Monitoring (CGM) in Sports-A Comparison between a CGM Device and Lab-Based Glucose Analyser under Resting and Exercising Conditions in Athletes. Int. J. Environ. Res. Public Health 2023, 20, 6440. [Google Scholar] [CrossRef]
- Muñoz Fabra, E.; Díez, J.-L.; Bondia, J.; Laguna Sanz, A.J. A Comprehensive Review of Continuous Glucose Monitoring Accuracy during Exercise Periods. Sensors 2021, 21, 479. [Google Scholar] [CrossRef]
- Holzer, R.; Bloch, W.; Brinkmann, C. Continuous Glucose Monitoring in Healthy Adults-Possible Applications in Health Care, Wellness, and Sports. Sensors 2022, 22, 2030. [Google Scholar] [CrossRef] [PubMed]
- Flockhart, M.; Larsen, F.J. Continuous Glucose Monitoring in Endurance Athletes: Interpretation and Relevance of Measurements for Improving Performance and Health. Sports Med. 2023. [Google Scholar] [CrossRef]
- International Hypoglycaemia Study Group. Glucose concentrations of less than 3.0 mmol/L (54 mg/dL) should be reported in clinical trials: A joint position statement of the American Diabetes Association and the European Association for the Study of Diabetes. Diabetologia 2017, 60, 3–6. [Google Scholar] [CrossRef]
- Mongraw-Chaffin, M.; Beavers, D.P.; McClain, D.A. Hypoglycemic symptoms in the absence of diabetes: Pilot evidence of clinical hypoglycemia in young women. J. Clin. Transl. Endocrinol. 2019, 18, 100202. [Google Scholar] [CrossRef]
- Mazze, R.S.; Strock, E.; Wesley, D.; Borgman, S.; Morgan, B.; Bergenstal, R.; Cuddihy, R. Characterizing glucose exposure for individuals with normal glucose tolerance using continuous glucose monitoring and ambulatory glucose profile analysis. Diabetes Technol. Ther. 2008, 10, 149–159. [Google Scholar] [CrossRef]
- Riddell, M.C.; Li, Z.; Gal, R.L.; Calhoun, P.; Jacobs, P.G.; Clements, M.A.; Rickels, M.R. Examining the Acute Glycemic Effects of Different Types of Structured Exercise Sessions in Type 1 Diabetes in a Real-World Setting: The Type 1 Diabetes and Exercise Initiative (T1DEXI). Diabetes Care 2023, 46, 704–713. [Google Scholar] [CrossRef]
- Battelino, T.; Danne, T.; Bergenstal, R.M.; Amiel, S.A.; Beck, R.; Biester, T.; Phillip, M. Clinical Targets for Continuous Glucose Monitoring Data Interpretation: Recommendations from the International Consensus on Time in Range. Diabetes Care 2019, 42, 1593–1603. [Google Scholar] [CrossRef]
- Liang, K.-Y.; Zeger, S.L. Longitudinal data analysis using generalized linear models. Biometrika 1986, 73, 13–22. [Google Scholar] [CrossRef]
- Danne, T.; Nimri, R.; Battelino, T.; Bergenstal, R.M.; Close, K.L.; DeVries, J.H.; Phillip, M. International Consensus on Use of Continuous Glucose Monitoring. Diabetes Care 2017, 40, 1631–1640. [Google Scholar] [CrossRef] [PubMed]
- Galassetti, P.; Mann, S.; Tate, D.; Neill, R.A.; Costa, F.; Wasserman, D.H.; Davis, S.N. Effects of antecedent prolonged exercise on subsequent counterregulatory responses to hypoglycemia. Am. J. Physiol. Endocrinol. Metab. 2001, 280, E908–E917. [Google Scholar] [CrossRef]
- Martens, T.W. Continuous glucose monitoring in primary care—Are we there? Curr. Opin. Endocrinol. Diabetes Obes. 2022, 29, 10–16. [Google Scholar] [CrossRef] [PubMed]
- Liao, Y.; Schembre, S. Acceptability of Continuous Glucose Monitoring in Free-Living Healthy Individuals: Implications for the Use of Wearable Biosensors in Diet and Physical Activity Research. JMIR MHealth UHealth 2018, 6, e11181. [Google Scholar] [CrossRef] [PubMed]
- Nutrisense—Smart Insights into Your Unique Body with CGMs & Personal Nutritionists. Available online: https://www.nutrisense.io/ (accessed on 24 October 2023).
- Levels—Unlock Your Metabolic HealthLevels. Available online: https://www.levelshealth.com/ (accessed on 24 October 2023).
- Supersapiens | Glucose Monitor for Metabolic Efficiency. Available online: https://www.supersapiens.com/en-EN/ (accessed on 24 October 2023).
- Stork, M.J.; Marcotte-Chénard, A.; Jung, M.E.; Little, J.P. Exercise in the workplace: Examining the receptivity of practical and time-efficient stair climbing “exercise snacks”. Appl. Physiol. Nutr. Metab. 2023. [Google Scholar] [CrossRef]
- Brockman, N.K.; Yardley, J.E. Sex-related differences in fuel utilization and hormonal response to exercise: Implications for individuals with type 1 diabetes. Appl. Physiol. Nutr. Metab. 2018, 43, 541–552. [Google Scholar] [CrossRef]
- Cano, A.; Ventura, L.; Martinez, G.; Cugusi, L.; Caria, M.; Deriu, F.; Manca, A. Analysis of sex-based differences in energy substrate utilization during moderate-intensity aerobic exercise. Eur. J. Appl. Physiol. 2022, 122, 29–70. [Google Scholar] [CrossRef]
- Hedrington, M.S.; Davis, S.N. Sexual Dimorphism in Glucose and Lipid Metabolism during Fasting, Hypoglycemia, and Exercise. Front. Endocrinol. 2015, 6, 61. [Google Scholar] [CrossRef]
- Foster, N.C.; Beck, R.W.; Miller, K.M.; Clements, M.A.; Rickels, M.R.; DiMeglio, L.A. State of Type 1 Diabetes Management and Outcomes from the T1D Exchange in 2016–2018. Diabetes Technol. Ther. 2019, 21, 66–72. [Google Scholar] [CrossRef] [PubMed]
- Patnode, C.D.; Lytle, L.A.; Erickson, D.J.; Sirard, J.R.; Barr-Anderson, D.J.; Story, M. Physical activity and sedentary activity patterns among children and adolescents: A latent class analysis approach. J. Phys. Act. Health 2011, 8, 457–467. [Google Scholar] [CrossRef]
- Riddell, M.C. The endocrine response and substrate utilization during exercise in children and adolescents. J. Appl. Physiol. 2008, 105, 725–733. [Google Scholar] [CrossRef]
- Sato, M.; Tamura, Y.; Nakagata, T.; Someya, Y.; Kaga, H.; Yamasaki, N.; Kiya, M.; Kadowaki, S.; Sugimoto, D.; Satoh, H.; et al. Prevalence and features of impaired glucose tolerance in young underweight Japanese women. J. Clin. Endocrinol. Metab. 2021, 106, e2053–e2062. [Google Scholar] [CrossRef]
- Sairenchi, T.; Iso, H.; Irie, F.; Fukasawa, N.; Ota, H.; Muto, T. Underweight as a predictor of diabetes in older adults: A large cohort study. Diabetes Care 2008, 31, 583–584. [Google Scholar] [CrossRef] [PubMed]
- Johnson, J.D. On the causal relationships between hyperinsulinaemia, insulin resistance, obesity and dysglycaemia in type 2 diabetes. Diabetologia 2021, 64, 2138–2146. [Google Scholar] [CrossRef] [PubMed]
- Rafiei, H.; Robinson, E.; Barry, J.; Jung, M.E.; Little, J.P. Short-term exercise training reduces glycaemic variability and lowers circulating endothelial microparticles in overweight and obese women at elevated risk of type 2 diabetes. Eur. J. Sports Sci. 2019, 19, 1140–1149. [Google Scholar] [CrossRef] [PubMed]
- Cui, J.; Bai, Y.; Li, M.; Xu, X.; Dai, Y.; Zhang, J. Effects of different intensity exercise on blood glucose, adolescent obesity rats insulin sensitivity and RBP4. Wei Sheng Yan Jiu 2014, 43, 535–540. [Google Scholar] [PubMed]
- Colberg, S.R.; Hernandez, M.J.; Shahzad, F. Blood glucose responses to type, intensity, duration, and timing of exercise. Diabetes Care 2013, 36, e177. [Google Scholar] [CrossRef] [PubMed]
- Friedel, J.E.; DeHart, W.B.; Foreman, A.M.; Andrew, M.E. A Monte Carlo method for comparing generalized estimating equations to conventional statistical techniques for discounting data. J. Exp. Anal. Behav. 2019, 111, 207–224. [Google Scholar] [CrossRef] [PubMed]


| Covariate | Categories | <54 mg/dL | <70 mg/dL | 70–120 mg/dL | >120 mg/dL | >130 mg/dL | >140 mg/dL |
|---|---|---|---|---|---|---|---|
| Sex | Males (n = 228) | 0.1 ± 1.7 | 3.4 ± 13.4 | 85.7 ± 26.6 | 10.8 ± 24.3 | 4.7 ± 15.2 | 2.0 ± 9.1 |
| Females (n = 435) | 0.8 ± 7.0 | 6.6 ± 18.0 | 83.8 ± 26.8 | 9.6 ± 22.6 | 5.1 ± 16.1 | 2.7 ± 11.2 | |
| Age (years) | 6–19 (n = 276) | 0.2 ± 1.9 | 2.9 ± 11.0 | 85.0 ± 25.2 | 12.1 ± 23.8 | 5.9 ± 16.8 | 2.9 ± 11.3 |
| 20–39 (n = 156) | 0.8 ± 5.3 | 10.3 ± 22.8 | 82.2 ± 28.3 | 7.6 ± 20.5 | 4.1 ± 13.1 | 2.1 ± 8.8 | |
| 40–59 (n = 110) | 0.2 ± 1.7 | 2.5 ± 10.8 | 91.9 ± 20.0 | 5.6 ± 17.6 | 2.6 ± 10.7 | 0.5 ± 3.6 | |
| 60–89 (n = 121) | 1.4 ± 9.4 | 8.1 ± 20.3 | 79.5 ± 31.8 | 12.4 ± 28.2 | 6.2 ± 19.8 | 3.6 ± 13.9 | |
| BMI (kg/m2) | <18.6 (n = 173) | 0.3 ± 2.3 | 3.1 ± 12.0 | 84.0 ± 26.3 | 13.0 ± 24.2 | 6.2 ± 17.4 | 3.5 ± 12.8 |
| 18.6–24.9 (n = 327) | 0.6 ± 5.9 | 5.8 ± 16.7 | 85.4 ± 25.7 | 8.8 ± 21.9 | 4.3 ± 14.2 | 1.8 ± 8.5 | |
| 25–29.9 (n = 139) | 0.8 ± 5.4 | 8.0 ± 21.1 | 85.3 ± 26.8 | 6.7 ± 19.5 | 3.7 ± 13.6 | 2.4 ± 10.7 | |
| Exercise type | Aerobic (n = 534) | 0.5 ± 4.0 | 4.9 ± 15.3 | 84.9 ± 25.8 | 10.2 ± 22.8 | 4.9 ± 15.3 | 2.3 ± 10.0 |
| Resistance (n = 51) | 0.3 ± 2.0 | 7.7 ± 21.4 | 88.2 ± 24.9 | 4.1 ± 15.1 | 1.2 ± 5.3 | 0.2 ± 1.6 | |
| Mixed (n = 39) | 2.7 ± 13.9 | 12.2 ± 26.6 | 77.9 ± 34.0 | 9.8 ± 25.2 | 4.3 ± 14.0 | 2.9 ± 10.4 | |
| Exercise duration (minutes) | 10–20 (n = 105) | 0.0 ± 0.0 | 2.8 ± 11.5 | 84.3 ± 30.3 | 12.9 ± 29.3 | 5.1 ± 17.6 | 1.4 ± 8.7 |
| 21–39 (n = 179) | 0.8 ± 6.2 | 5.1 ± 17.5 | 85.9 ± 27.4 | 9.0 ± 22.8 | 4.5 ± 16.8 | 2.6 ± 12.3 | |
| 40–59 (n = 117) | 0.5 ± 3.0 | 9.4 ± 20.1 | 81.0 ± 27.4 | 9.6 ± 22.3 | 5.3 ± 16.1 | 2.3 ± 10.2 | |
| 60–89 (n = 161) | 0.9 ± 7.1 | 7.2 ± 19.2 | 84.4 ± 26.6 | 8.4 ± 21.2 | 4.2 ± 13.6 | 2.3 ± 9.3 | |
| 90–120 (n = 46) | 0.4 ± 2.9 | 3.2 ± 8.5 | 85.6 ± 19.5 | 11.1 ± 19.2 | 6.5 ± 14.3 | 2.2 ± 8.0 | |
| 120–300 (n = 55) | 0.0 ± 0.0 | 1.2 ± 4.4 | 86.3 ± 21.7 | 12.5 ± 21.7 | 6.7 ± 15.9 | 4.1 ± 12.9 |
| Covariate | Categories | ≤54 mg/dL | ≤70 mg/dL | 71–119 mg/dL | ≥120 mg/dL | ≥130 mg/dL | ≥140 mg/dL |
|---|---|---|---|---|---|---|---|
| Sex | Females | 0.3, 0.26 | 2, 0.15 | −5, 0.06 | 2, 0.34 | 2, 0.22 | 1, 0.25 |
| Age (years) | 20–39 | 0.6, 0.04 | 8, 0.002 | −3, 0.51 | −5, 0.18 | −3, 0.19 | −1, 0.37 |
| 40–59 | −0.2, 0.60 | −3, 0.29 | 11, 0.003 | −8, 0.02 | −5, 0.05 | −3, 0.02 | |
| 60–89 | 2, 0.29 | 6, 0.16 | 2, 0.66 | −8, 0.03 | −6, 0.03 | −2, 0.38 | |
| BMI | Underweight | 0.3, 0.17 | 1, 0.57 | −1, 0.79 | −0.1, 0.97 | −1, 0.75 | 1, 0.64 |
| Overweight | 0.4, 0.60 | 3, 0.41 | −3, 0.35 | 0.5, 0.87 | 1, 0.51 | 2, 0.22 | |
| Exercise type | Resistance | −0.8, 0.04 | 0.4, 0.92 | 4, 0.41 | −4, 0.17 | −2, 0.12 | −2, 0.04 |
| Mixed | 2, 0.32 | 7, 0.20 | −8, 0.12 | 1, 0.78 | 0.2, 0.93 | 1, 0.58 | |
| Exercise duration (minutes) | 21–39 | 0.8, 0.11 | 3, 0.17 | −1, 0.72 | −1, 0.69 | 2, 0.33 | 1, 0.23 |
| 40–59 | 0.3, 0.56 | 5, 0.06 | −6, 0.21 | 1, 0.89 | 4, 0.05 | 1, 0.29 | |
| 60–89 | 0.6, 0.05 | 4, 0.13 | −3, 0.44 | −1, 0.88 | 3, 0.14 | 2, 0.13 | |
| 90–120 | 0.1, 0.89 | 0.2, 0.96 | −0.4, 0.93 | 0.2, 0.96 | 5, 0.05 | 3, 0.05 | |
| 120–300 | 0.1, 0.44 | −1, 0.65 | −1, 0.76 | 2, 0.63 | 5, 0.10 | 3, 0.13 |
| Covariate | Categories | Pre | Average | Nadir | Peak | Post | ΔPre–Nadir | ΔPre–Peak | ΔPeak–Nadir | ΔPre–Post |
|---|---|---|---|---|---|---|---|---|---|---|
| Sex | Males (42/227) | 99 ± 18 | 99 ± 15 | 89 ± 15 | 109 ± 20 | 100 ± 20 | 10 ± 16 | −10 ± 17 | 20 ± 19 | −1 ± 20 |
| Females (77/436) | 98 ± 19 | 95 ± 17 | 85 ± 16 | 105 ± 21 | 92 ± 19 | 14 ± 18 | −6 ± 14 | 20 ± 17 | 6 ± 20 | |
| Age (years) | 1–19 (276) | 101 ± 19 | 100 ± 16 | 89 ± 15 | 111 ± 21 | 100 ± 19 | 12 ± 19 | −10 ± 16 | 22 ± 19 | 1 ± 21 |
| 20–39 (155) | 96 ± 17 | 93 ± 16 | 83 ± 16 | 103 ± 21 | 91 ± 21 | 14 ± 18 | −6 ± 16 | 20 ± 19 | 6 ± 22 | |
| 40–59 (109) | 95 ± 14 | 93 ± 12 | 85 ± 12 | 102 ± 15 | 92 ± 14 | 10 ± 12 | −7 ± 12 | 17 ± 12 | 3 ± 16 | |
| 60–89 (120) | 99 ± 21 | 94 ± 19 | 85 ± 20 | 104 ± 21 | 92 ± 21 | 14 ± 16 | −5 ± 12 | 19 ± 15 | 8 ± 19 | |
| BMI | Underweight (173) | 104 ± 20 | 101 ± 16 | 90 ± 15 | 113 ± 22 | 100 ± 19 | 14 ± 21 | −9 ± 17 | 23 ± 21 | 3 ± 23 |
| Normal weight (349) | 97 ± 17 | 95 ± 16 | 85 ± 15 | 105 ± 19 | 94 ± 19 | 12 ± 16 | −8 ± 14 | 20 ± 15 | 4 ± 20 | |
| Overweight (138) | 96 ± 17 | 93 ± 15 | 84 ± 15 | 102 ± 20 | 90 ± 19 | 12 ± 15 | −5 ± 14 | 18 ± 17 | 6 ± 20 | |
| Exercise type | Aerobic (534) | 99 ± 18 | 97 ± 16 | 87 ± 16 | 107 ± 21 | 96 ± 19 | 12 ± 18 | -8 ± 15 | 20 ± 18 | 3 ± 21 |
| Resistance (51) | 93 ± 13 | 93 ± 13 | 85 ± 14 | 101 ± 16 | 92 ± 18 | 7 ± 12 | −8 ± 14 | 15 ± 13 | .5 ± 16 | |
| Mixed (38) | 100 ± 17 | 93 ± 18 | 81 ± 18 | 105 ± 21 | 87 ± 22 | 20 ± 17 | −2 ± 12 | 24 ± 17 | 15 ± 20 | |
| Exercise duration (minutes) | 10–20 (105) | 99 ± 17 | 100 ± 16 | 97 ± 16 | 103 ± 17 | 100 ± 17 | 3 ± 9 | −4 ± 10 | 7 ± 7 | −1 ± 12 |
| 21–39 (178) | 97 ± 19 | 95 ± 16 | 87 ± 16 | 102 ± 19 | 93 ± 18 | 9 ± 16 | −5 ± 13 | 15 ± 13 | 4 ± 21 | |
| 40–59 (116) | 100 ± 19 | 94 ± 16 | 83 ± 16 | 106 ± 20 | 91 ± 19 | 17 ± 18 | −6 ± 12 | 23 ± 16 | 10 ± 21 | |
| 60–89 (160) | 97 ± 19 | 94 ± 16 | 82 ± 15 | 106 ± 22 | 94 ± 21 | 16 ± 18 | −8 ± 16 | 24 ± 17 | 5 ± 21 | |
| 90–120 (45) | 99 ± 14 | 98 ± 15 | 84 ± 14 | 115 ± 23 | 97 ± 22 | 15 ± 18 | −15 ± 22 | 31 ± 21 | 1 ± 24 | |
| 120–300 (54) | 102 ± 20 | 102 ± 14 | 85 ± 11 | 121 ± 21 | 102 ± 17 | 17 ± 20 | −21 ± 20 | 36 ± 21 | −0.02 ± 25 |
| Covariate | Categories | Pre | Average | Nadir | Peak | Post | Δ Pre–Nadir | Δ Pre–Peak | Δ Peak–Nadir | Δ Pre–Post |
|---|---|---|---|---|---|---|---|---|---|---|
| Sex | Females | 2; 0.45 | −1; 0.74 | −3; 0.10 | 0; 0.86 | −4; 0.04 | 5; 0.009 | 1, 0.43 | 3, 0.06 | 7; 0.001 |
| Age (years) | 20–39 | −3; 0.19 | −6; 0.03 | −6; 0.02 | −6; 0.08 | −6; 0.05 | 3; 0.26 | 3, 0.09 | 0, 0.99 | 4; 0.14 |
| 40–59 | −4; 0.09 | −5; 0.04 | −3; 0.22 | −6; 0.04 | −5; 0.10 | −2; 0.43 | 2, 0.46 | −3, 0.12 | 0.3; 0.94 | |
| 60–89 | −2; 0.52 | −7; 0.03 | −5; 0.09 | −8; 0.04 | −10; 0.009 | 2; 0.47 | 6, 0.02 | −3, 0.27 | 7; 0.06 | |
| BMI | Underweight | 6; 0.02 | 2; 0.35 | 0.6; 0.77 | 4; 0.21 | −0.04; 0.99 | 5; 0.05 | 2, 0.32 | 3, 0.17 | 5; 0.03 |
| Overweight | 2; 0.47 | 0; 0.91 | 0; 0.89 | 1; 0.83 | −2; 0.56 | 1; 0.58 | 1, 0.68 | 0, 0.85 | 3; 0.29 | |
| Exercise type | Resistance | −4; 0.04 | −1; 0.57 | 1; 0.64 | −4; 0.22 | −1; 0.70 | −6; 0.005 | −1, 0.68 | −5, 0.008 | −3; 0.28 |
| Mixed | 3; 0.36 | −1; 0.86 | −2; 0.50 | 0; 0.95 | −6; 0.10 | 6; 0.03 | 6, 0.008 | 2, 0.45 | 11; <0.001 | |
| Exercise duration (minutes) | 21–39 | −2; 0.42 | −4; 0.09 | −8; <0.001 | 0; 0.95 | −6; 0.02 | 6; <0.001 | −2, 0.22 | 8, <0.001 | 3; 0.07 |
| 40–59 | 5; 0.09 | −2; 0.36 | −11; <0.001 | 6; 0.03 | −6; 0.02 | 15; <0.001 | −2, 0.19 | 17, <0.001 | 11; <0.001 | |
| 60–89 | 0; 0.95 | −3; 0.20 | −12; <0.001 | 6; 0.03 | −3; 0.32 | 13; <0.001 | −5, 0.004 | 18, <0.001 | 4; 0.13 | |
| 90–120 | 1; 0.61 | 0; 0.98 | −12; <0.001 | 12; 0.001 | −1; 0.88 | 13; <0.001 | −10, 0.004 | 24, <0.001 | 2; 0.66 | |
| 120–300 | 5; 0.23 | 3; 0.29 | −10; <0.001 | 18; <0.001 | 1; 0.68 | 16; <0.001 | −16, <0.001 | 29, <0.001 | 3; 0.49 |
Disclaimer/Publisher’s Note: The statements, opinions and data contained in all publications are solely those of the individual author(s) and contributor(s) and not of MDPI and/or the editor(s). MDPI and/or the editor(s) disclaim responsibility for any injury to people or property resulting from any ideas, methods, instructions or products referred to in the content. |
© 2023 by the authors. Licensee MDPI, Basel, Switzerland. This article is an open access article distributed under the terms and conditions of the Creative Commons Attribution (CC BY) license (https://creativecommons.org/licenses/by/4.0/).
Share and Cite
D’Souza, N.C.; Kesibi, D.; Yeung, C.; Shakeri, D.; D’Souza, A.I.; Macpherson, A.K.; Riddell, M.C. The Impact of Sex, Body Mass Index, Age, Exercise Type and Exercise Duration on Interstitial Glucose Levels during Exercise. Sensors 2023, 23, 9059. https://doi.org/10.3390/s23229059
D’Souza NC, Kesibi D, Yeung C, Shakeri D, D’Souza AI, Macpherson AK, Riddell MC. The Impact of Sex, Body Mass Index, Age, Exercise Type and Exercise Duration on Interstitial Glucose Levels during Exercise. Sensors. 2023; 23(22):9059. https://doi.org/10.3390/s23229059
Chicago/Turabian StyleD’Souza, Ninoschka C., Durmalouk Kesibi, Christopher Yeung, Dorsa Shakeri, Ashwin I. D’Souza, Alison K. Macpherson, and Michael C. Riddell. 2023. "The Impact of Sex, Body Mass Index, Age, Exercise Type and Exercise Duration on Interstitial Glucose Levels during Exercise" Sensors 23, no. 22: 9059. https://doi.org/10.3390/s23229059
APA StyleD’Souza, N. C., Kesibi, D., Yeung, C., Shakeri, D., D’Souza, A. I., Macpherson, A. K., & Riddell, M. C. (2023). The Impact of Sex, Body Mass Index, Age, Exercise Type and Exercise Duration on Interstitial Glucose Levels during Exercise. Sensors, 23(22), 9059. https://doi.org/10.3390/s23229059

