A Universal Digital Lock-in Amplifier Design for Calibrating the Photo-Detector Responses with Standard Black-Bodies
Abstract
:1. Introduction
2. The Theory and Principle
2.1. Overview
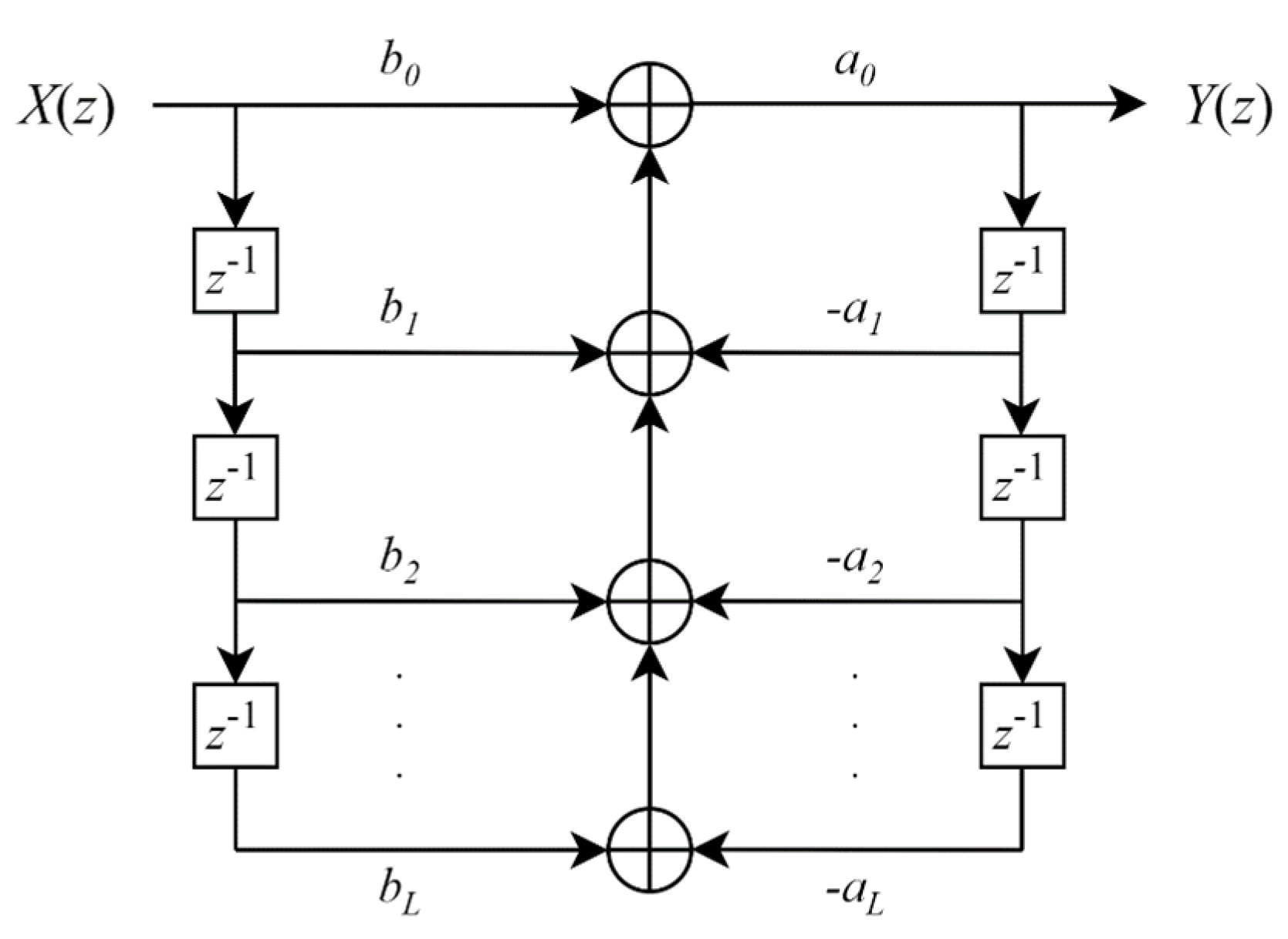
2.2. The Design of the Digital Lock-in Amplifier
2.3. Spectrum Response Capturing Setup
3. The Simulations and Experiments
3.1. Simulations for LIA Design
3.2. Experiments with LIA
3.3. Spectrum Response
4. Discussion
5. Conclusions
Author Contributions
Funding
Institutional Review Board Statement
Informed Consent Statement
Data Availability Statement
Conflicts of Interest
References
- Chen, X.; Wei, M.; Chen, K.; Li, S. Research on weak signal detection of integral average digital lock-in amplifier. Meas. Sci. Technol. 2021, 32, 105905. [Google Scholar] [CrossRef]
- Wang, L.; Wang, X.; Kang, J.; Yue, C.P. A 75-Mb/s RGB PAM-4 Visible Light Communication Transceiver System With Pre- and Post-Equalization. J. Light. Technol. 2021, 39, 1381–1390. Available online: http://jlt.osa.org/abstract.cfm?URI=jlt-39-5-1381 (accessed on 1 March 2021). [CrossRef]
- Sibley, P.G.; Ward, R.L.; Roberts, L.E.; Francis, S.P.; Shaddock, D.A. Crosstalk reduction for multi-channel optical phase metrology. Opt. Express 2020, 28, 10400–10424. [Google Scholar] [CrossRef] [PubMed]
- Graaf, G.D.; Wolffenbuttel, R.F. Lock-in amplifier techniques for low-frequency modulated sensor applications. In Proceedings of the Instrumentation and Measurement Technology Conference, Graz, Austria, 13–16 May 2012. [Google Scholar]
- Cao, H.T.; Brown, D.D.; Veitch, P.J.; Ottaway, D.J. Optical lock-in camera for gravitational wave detectors. Opt. Express 2020, 28, 14405–14413. [Google Scholar] [CrossRef] [PubMed]
- Shahverdi, A.; Sua, Y.M.; Tumeh, L.; Huang, Y.-P. Quantum parametric mode sorting: Beating the time-frequency filtering. Sci. Rep. 2017, 7, 6495. [Google Scholar] [CrossRef] [PubMed]
- Spaide, R.F.; Klancnik, J.M.; Cooney, M.J. Retinal Vascular Layers Imaged by Fluorescein Angiography and Optical Coherence Tomography Angiography. JAMA Ophthalmol. 2015, 133, 45–50. [Google Scholar] [CrossRef] [PubMed]
- Adami, A.; Habets, E.; Herre, J. Down-mixing using coherence suppression. In Proceedings of the 2014 IEEE International Conference on Acoustics, Speech and Signal Processing (ICASSP), Florence, Italy, 4–9 May 2014; pp. 2878–2882. [Google Scholar]
- Yao, Z.; Mauldin, T.; Xu, Z.; Hefferman, G.; Wei, T. Compact multifunction digital OFDR system without using an auxiliary interferometer. Appl. Opt. 2021, 60, 7523–7529. [Google Scholar] [CrossRef] [PubMed]
- Yao, Z.; Mauldin, T.; Hefferman, G.M.; Wei, T. Digitally integrated self-trained pre-distortion curve finder for passive sweep linearization of semiconductor lasers. IEEE J. Sel. Top. Quantum Electron. 2019, 25, 1–5. [Google Scholar] [CrossRef]
- Vankka, J.; Halonen, K.A.I. Direct Digital Synthesizers: Theory, Design and Applications; Springer Science & Business Media: Berlin, Germany, 2001. [Google Scholar]
- Fu, X.; Colombo, D.M.; Alamdari, H.H.; Yin, Y.; El-Sankary, K. Lock-In Amplifier for Sensor Application Using Second Order Harmonic Frequency With Automatic Background Phase Calibration. IEEE Sens. J. 2022, 22, 16067–16080. [Google Scholar] [CrossRef]
- Song, J.-F.; Song, H.; Yang, X.; Dong, H. Application of digital lock-in amplifier in complex electromagnetic interference of substation. Prog. Electromagn. Res. C 2020, 106, 105–120. [Google Scholar] [CrossRef]
- Jiang, G.; Yang, H.; Yang, H.; Li, R.; Kong, P. A new algorithm for a high-modulation frequency and high-speed digital lock-in amplifier. Meas. Sci. Technol. 2016, 27, 015701. [Google Scholar] [CrossRef]
- Leis, J.; Martin, P.; Buttsworth, D. Simplified digital lock-in amplifier algorithm. Electron. Lett. 2012, 48, 259–261. [Google Scholar] [CrossRef]
- Sonnaillon, M.O.; Bonetto, F.J. A low-cost, high-performance, digital signal processor-based lock-in amplifier capable of measuring multiple frequency sweeps simultaneously. Rev. Sci. Instrum. 2005, 76, 024703. [Google Scholar] [CrossRef]
- Dai, C.; Chen, W.; Zhu, Y. Seeker Optimization Algorithm for Digital IIR Filter Design. IEEE Trans. Ind. Electron. 2010, 57, 1710–1718. [Google Scholar] [CrossRef]
- Bull, D.R.; Horrocks, D.H. Primitive operator digital filters. IEE Proc. G (Circuits Devices Syst.) 1991, 138, 401–412. [Google Scholar] [CrossRef]
- Nan, S. Design of Digital Filter Based on CORDIC Algorithm. Microelectron. Comput. 2007, 24, 10–12. [Google Scholar]
- Wu, J.; Zhan, Y.; Peng, Z.; Ji, X.; Yu, G.; Zhao, R.; Wang, C. Efficient Design of Spiking Neural Network With STDP Learning Based on Fast CORDIC. IEEE Trans. Circuits Syst. I Regul. Pap. 2021, 68, 2522–2534. [Google Scholar] [CrossRef]
- Heidarpur, M.; Ahmadi, A.; Ahmadi, M.; Rahimi Azghadi, M. CORDIC-SNN: On-FPGA STDP Learning With Izhikevich Neurons. IEEE Trans. Circuits Syst. I Regul. Pap. 2019, 66, 2651–2661. [Google Scholar] [CrossRef]
- Han, J.-W.; Jang, Y. A Residual Frequency Offset Synchronization Scheme Using a Simplified CORDIC Algorithm in OFDM Systems. In Proceedings of the 2009 Australian Communications Theory Workshop, Sydney, Australia, 4–7 February 2009; pp. 67–70. [Google Scholar]















| Parameters (Unit) | Values |
|---|---|
| Magnitude (a. u.), | 7 |
| Initial phase (rad), | |
| Sampling frequency (kHz), | 625 |
| Angular speeds of original and reference signals (rad/s), , | × 1000 |
| IIR Cutting-off frequency, | 100 |
| Order of the IIR | 4 |
| SNR (dB) | −10 |
| NMSE of Phase | NMSE of Amplitude |
|---|---|
| 0.18% | 0.826% |
| Parameters (Unit) or Resources | Values |
|---|---|
| 0.4000 | |
| SNR | −10 |
| 625 | |
| 20 | |
| Order of the IIR | 4 |
| Lookup table | 13,107 |
| Embedded RAM | 915 |
| Multiplier DSP | 20 |
Disclaimer/Publisher’s Note: The statements, opinions and data contained in all publications are solely those of the individual author(s) and contributor(s) and not of MDPI and/or the editor(s). MDPI and/or the editor(s) disclaim responsibility for any injury to people or property resulting from any ideas, methods, instructions or products referred to in the content. |
© 2023 by the authors. Licensee MDPI, Basel, Switzerland. This article is an open access article distributed under the terms and conditions of the Creative Commons Attribution (CC BY) license (https://creativecommons.org/licenses/by/4.0/).
Share and Cite
Yao, Z.; Pan, J.; Yu, C.; Yuan, Z.; Chen, Q.; Sui, X. A Universal Digital Lock-in Amplifier Design for Calibrating the Photo-Detector Responses with Standard Black-Bodies. Sensors 2023, 23, 8902. https://doi.org/10.3390/s23218902
Yao Z, Pan J, Yu C, Yuan Z, Chen Q, Sui X. A Universal Digital Lock-in Amplifier Design for Calibrating the Photo-Detector Responses with Standard Black-Bodies. Sensors. 2023; 23(21):8902. https://doi.org/10.3390/s23218902
Chicago/Turabian StyleYao, Zheyi, Jingpeng Pan, Chang Yu, Zhewen Yuan, Qian Chen, and Xiubao Sui. 2023. "A Universal Digital Lock-in Amplifier Design for Calibrating the Photo-Detector Responses with Standard Black-Bodies" Sensors 23, no. 21: 8902. https://doi.org/10.3390/s23218902
APA StyleYao, Z., Pan, J., Yu, C., Yuan, Z., Chen, Q., & Sui, X. (2023). A Universal Digital Lock-in Amplifier Design for Calibrating the Photo-Detector Responses with Standard Black-Bodies. Sensors, 23(21), 8902. https://doi.org/10.3390/s23218902

