Deep Neural Network-Based Fusion Localization Using Smartphones
Abstract
:1. Introduction
- A ResNet-GRU-LSTM network model: In this article, we propose a ResNet-GRU-LSTM neural network model to achieve magnetic localization. A residual network is adopted to improve the magnetic feature extraction ability. Then, the GRU and LSTM are utilized to extract global features. Experiments show that the proposed model can achieve better performance compared to other single-source magnetic algorithms and good robustness among heterogeneous devices.
- Multifeature-driven step length estimation: We designed a multifeature-driven step length estimation to achieve accurate step length. Instead of using only acceleration values, we designed an 8-dimensional dataset for more feature extraction. A hierarchy-based GRU neural network is proposed to estimate step length. Experiments demonstrated that the proposed step length estimation can achieve accurate step length and solve the issues of error accumulation and equipment heterogeneity.
- Fusion localization system framework: To enhance the localization performance, we propose a fusion localization system in the particle filter framework. We have developed extensive experiments with different pedestrians, scenes, and heterogeneous devices. Experiments validate that comparable localization performance and robustness can be achieved, exhibiting great practicality in real-world applications.
2. Related Work
3. Materials and Methodology
3.1. Overview
| Algorithm 1: Proposed fused localization method |
| Input: The magnetic sequences and IMU sensor data from the smart device. |
| Output: The pedestrian location at time t + 1. 1: Collect data from smart devices. 2: // Magnetic and PDR-based data pre-processing and localization. 3: Magnetic data preprocessing are described in Section 3.2. 4: Multi-dimensional dataset as described in Section 3.2. 5: ResNet-GRU-LSTM neural network for magnetic localization, as described in Section 3.3. 6: Multifeature-driven step length estimation as described in Section 3.4. 7: // Fusion localization by particle filter. 8: Initialize particle set at time t. 9: for each step do 10: for each particle do 11: The particle location at time t + 1 is updated by Equation (1). 12: The particle weight is re-evaluated by Equation (3). 13: end for 14: Normalizing the weights by Equation (4). 15: Resampling the particles. 16: Estimate the fusion localization at time t + 1 by Equation (5). 17: end for |
3.2. Data Preprocessing
3.3. ResNet-GRU-LSTM Network Model
3.4. Multifeatured-Driven Step Length Estimation
4. Experimental Results and Evaluation
4.1. Experimental Setup
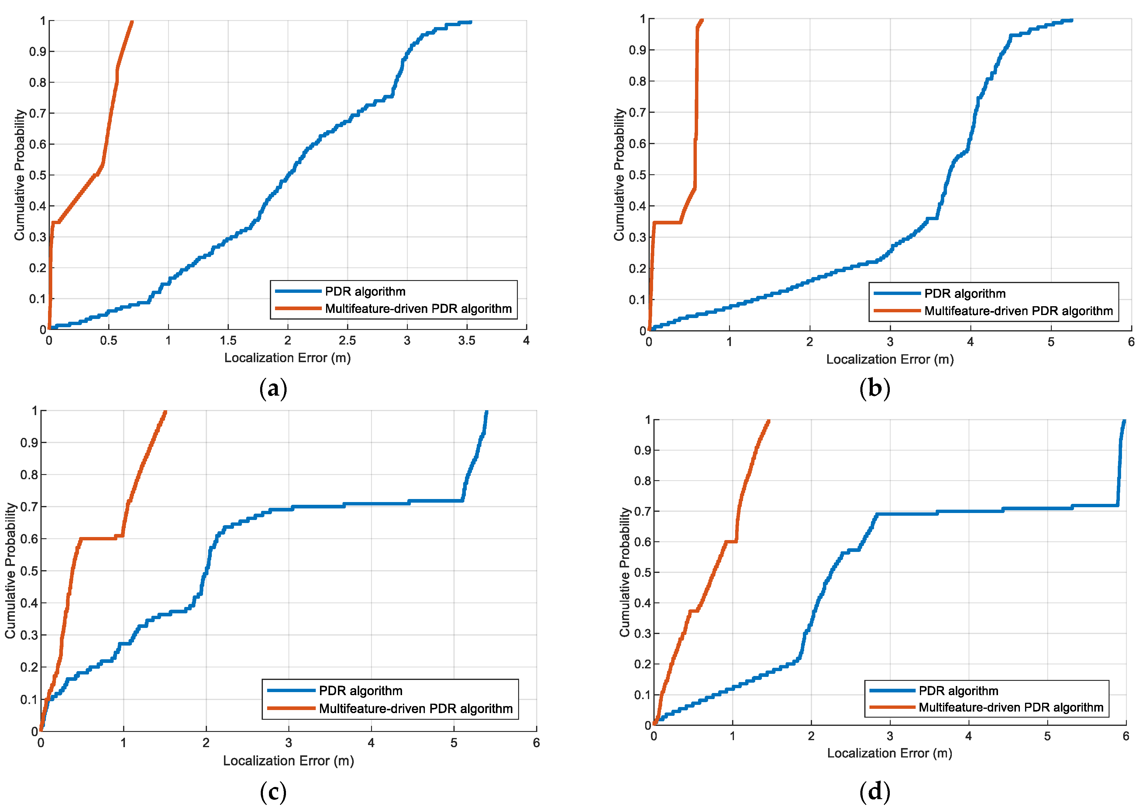
4.2. Step Length Performance
4.3. Localization Performance
4.4. Overhead
5. Conclusions
Author Contributions
Funding
Institutional Review Board Statement
Informed Consent Statement
Data Availability Statement
Conflicts of Interest
References
- Xia, H.; Zuo, J.; Liu, S.; Qiao, Y. Indoor Localization on Smartphones Using Built-In Sensors and Map Constraints. IEEE Trans. Instrum. Meas. 2019, 68, 1189–1198. [Google Scholar] [CrossRef]
- Jin, Z.; Li, Y.J.; Yang, Z.; Zhang, Y.F.; Cheng, Z. Real-Time Indoor Positioning Based on BLE Beacons and Pedestrian Dead Reckoning for Smartphones. Appl. Sci. 2023, 13, 4415. [Google Scholar] [CrossRef]
- Klepeis, N.E.; Nelson, W.C.; Ott, W.R.; Robinson, J.P.; Tsang, A.M.; Switzer, P.; Behar, J.V.; Hern, S.C.; Engelmann, W.H. The National Human Activity Pattern Survey (NHAPS): A resource for assessing exposure to environmental pollutants. J. Expo. Sci. Environ. Epidemiol. 2001, 11, 231–252. [Google Scholar] [CrossRef] [PubMed]
- Ouyang, G.L.; Abed-Meraim, K. A Survey of Magnetic-Field-Based Indoor Localization. Electronics 2022, 11, 864. [Google Scholar] [CrossRef]
- Niu, Q.; He, T.; Liu, N.; He, S.; Luo, X.; Zhou, F. MAIL: Multi-Scale Attention-Guided Indoor Localization Using Geomagnetic Sequences. Proc. ACM Interact. Mob. Wearable Ubiquitous Technol. 2020, 4, 54. [Google Scholar] [CrossRef]
- Zhou, B.D.; Li, Q.Q.; Mao, Q.Z.; Tu, W.; Zhang, X. Activity Sequence-Based Indoor Pedestrian Localization Using Smartphones. IEEE Trans. Hum.-Mach. Syst. 2015, 45, 562–574. [Google Scholar] [CrossRef]
- Poulose, A.; Eyobu, O.S.; Han, D.S. An Indoor Position-Estimation Algorithm Using Smartphone IMU Sensor Data. IEEE Access 2019, 7, 11165–11177. [Google Scholar] [CrossRef]
- Wang, Q.; Fu, M.X.; Wang, J.Q.; Luo, H.Y.; Sun, L.; Ma, Z.C.; Li, W.; Zhang, C.Y.; Huang, R.; Li, X.D.; et al. Recent Advances in Pedestrian Inertial Navigation Based on Smartphone: A Review. IEEE Sens. J. 2022, 22, 22319–22343. [Google Scholar] [CrossRef]
- Gobana, F.W.; IEEE. Survey of Inertial/magnetic Sensors Based pedestrian dead reckoning by multi-sensor fusion method. In Proceedings of the 9th International Conference on Information and Communication Technology Convergence (ICTC), Jeju, Republic of Korea, 17–19 October 2018; pp. 1327–1334. [Google Scholar]
- Sun, M.; Wang, Y.J.; Xu, S.L.; Cao, H.J.; Si, M.H. Indoor Positioning Integrating PDR/Geomagnetic Positioning Based on the Genetic-Particle Filter. Appl. Sci. 2020, 10, 668. [Google Scholar] [CrossRef]
- Wang, Q.; Luo, H.Y.; Xiong, H.; Men, A.D.; Zhao, F.; Xia, M.; Ou, C.H. Pedestrian Dead Reckoning Based on Walking Pattern Recognition and Online Magnetic Fingerprint Trajectory Calibration. IEEE Internet Things J. 2021, 8, 2011–2026. [Google Scholar] [CrossRef]
- Li, H.; Liu, Y.; Zhang, L.Q.; Wang, H. Magnetic Matching-Aided Indoor Localization System Based on a Waist-Mounted Self-Contained Sensor Array. J. Sens. 2022, 2022, 1710907. [Google Scholar] [CrossRef]
- Jin, Z.; Kang, R.; Su, H. Multi-Scale Fusion Localization Based on Magnetic Trajectory Sequence. Sensors 2023, 23, 449. [Google Scholar] [CrossRef] [PubMed]
- Subbu, K.P.; Gozick, B.; Dantu, R.; IEEE. Indoor Localization through Dynamic Time Warping. In Proceedings of the IEEE International Conference on Systems, Man and Cybernetics (SMC), Anchorage, AK, USA, 9–12 October 2011; pp. 1639–1644. [Google Scholar]
- Cruz, S.B.; Aguiar, A. MagLand: Magnetic Landmarks for Road Vehicle Localization. IEEE Trans. Veh. Technol. 2020, 69, 3654–3667. [Google Scholar] [CrossRef]
- Chen, J.; Song, S.J.; Yu, H.H. An indoor multi-source fusion positioning approach based on PDR/MM/WiFi. Aeu-Int. J. Electron. Commun. 2021, 135, 153733. [Google Scholar] [CrossRef]
- Subbu, K.P.; Gozick, B.; Dantu, R. LocateMe: Magnetic-fields-based indoor localization using smartphones. ACM Trans. Intell. Syst. Technol. (TIST) 2013, 4, 73. [Google Scholar] [CrossRef]
- Chen, J.; Ou, G.; Peng, A.; Zheng, L.X.; Shi, J.H. A Hybrid Dead Reckon System Based on 3-Dimensional Dynamic Time Warping. Electronics 2019, 8, 185. [Google Scholar] [CrossRef]
- Chen, L.N.; Wu, J.B.; Yang, C. MeshMap: A Magnetic Field-Based Indoor Navigation System With Crowdsourcing Support. IEEE Access 2020, 8, 39959–39970. [Google Scholar] [CrossRef]
- Xie, H.W.; Gu, T.; Tao, X.P.; Ye, H.B.; Lv, J.; Assoc Comp, M. MaLoc: A Practical Magnetic Fingerprinting Approach to Indoor Localization using Smartphones. In Proceedings of the ACM International Joint Conference on Pervasive and Ubiquitous Computing (UbiComp), Seattle, WA, USA, 13–17 September 2014; pp. 243–253. [Google Scholar]
- Shu, Y.C.; Bo, C.; Shen, G.B.; Zhao, C.S.; Li, L.Q.; Zhao, F. Magicol: Indoor Localization Using Pervasive Magnetic Field and Opportunistic WiFi Sensing. IEEE J. Sel. Areas Commun. 2015, 33, 1443–1457. [Google Scholar] [CrossRef]
- Viset, F.; Helmons, R.; Kok, M. An Extended Kalman Filter for Magnetic Field SLAM Using Gaussian Process Regression. Sensors 2022, 22, 2833. [Google Scholar] [CrossRef] [PubMed]
- Shi, L.F.; Feng, B.L.; Dai, Y.F.; Liu, G.X.; Shi, Y.F. Pedestrian Indoor Localization Method Based on Integrated Particle Filter. IEEE Trans. Instrum. Meas. 2023, 72, 9502510. [Google Scholar] [CrossRef]
- Yan, S.Q.; Wu, C.P.; Deng, H.G.; Luo, X.N.; Ji, Y.F.; Xiao, J.M. A Low-Cost and Efficient Indoor Fusion Localization Method. Sensors 2022, 22, 5505. [Google Scholar] [CrossRef]
- Yan, S.Q.; Wu, C.P.; Luo, X.A.; Ji, Y.F.; Xiao, J.M. Multi-Information Fusion Indoor Localization Using Smartphones. Appl. Sci. 2023, 13, 3270. [Google Scholar] [CrossRef]
- Tong, H.B.; Xin, N.; Su, X.L.; Chen, T.F.; Wu, J.J. A Robust PDR/UWB Integrated Indoor Localization Approach for Pedestrians in Harsh Environments. Sensors 2020, 20, 193. [Google Scholar] [CrossRef] [PubMed]
- Tao, X.X.; Shi, T.Q.; Ma, X.; Zhang, H.W.; Pei, Z.P. An improved indoor pedestrian dead reckoning algorithm using ambient light and sensors. Multimed. Tools Appl. 2022, 81, 32581–32592. [Google Scholar] [CrossRef]
- Xu, S.L.; Wang, Y.J.; Sun, M.; Si, M.H.; Cao, H.J. A Real-Time BLE/PDR Integrated System by Using an Improved Robust Filter for Indoor Position. Appl. Sci. 2021, 11, 8170. [Google Scholar] [CrossRef]
- Zhang, W.; Sengupta, R.; Fodero, J.; Li, X.L. DeepPositioning: Intelligent Fusion of Pervasive Magnetic Field and WiFi Fingerprinting for Smartphone Indoor Localization via Deep Learning. In Proceedings of the 16th IEEE International Conference on Machine Learning and Applications (ICMLA), Cancun, Mexico, 18–21 December 2017; pp. 7–13. [Google Scholar]
- He, T.; Niu, Q.; He, S.N.; Liu, N.; IEEE. Indoor Localization with Spatial and Temporal Representations of Signal Sequences. In Proceedings of the IEEE Global Communications Conference (IEEE GLOBECOM), Waikoloa, HI, USA, 9–13 December 2019. [Google Scholar]
- Liu, N.; He, T.; He, S.N.; Niu, Q. Indoor Localization With Adaptive Signal Sequence Representations. IEEE Trans. Veh. Technol. 2021, 70, 11678–11694. [Google Scholar] [CrossRef]
- Ashraf, I.; Kang, M.Y.; Hur, S.; Park, Y. MINLOC:Magnetic Field Patterns-Based Indoor Localization Using Convolutional Neural Networks. IEEE Access 2020, 8, 66213–66227. [Google Scholar] [CrossRef]
- Ouyang, G.L.; Abed-Meraim, K.; Ouyang, Z.K. Magnetic-Field-Based Indoor Positioning Using Temporal Convolutional Networks. Sensors 2023, 23, 1514. [Google Scholar] [CrossRef]
- Sun, D.; Wei, E.; Yang, L.; Xu, S. Improving Fingerprint Indoor Localization Using Convolutional Neural Networks. IEEE Access 2020, 8, 193396–193411. [Google Scholar] [CrossRef]
- Bae, H.J.; Choi, L. Large-Scale Indoor Positioning using Geomagnetic Field with Deep Neural Networks. In Proceedings of the ICC 2019–2019 IEEE International Conference on Communications (ICC), Shanghai, China, 20–24 May 2019; pp. 1–6. [Google Scholar]
- Zhang, M.Y.; Jia, J.; Chen, J.; Yang, L.Y.; Guo, L.; Wang, X.W. Real-time indoor localization using smartphone magnetic with LSTM networks. Neural Comput. Appl. 2021, 33, 10093–10110. [Google Scholar] [CrossRef]
- Shu, M.; Chen, G.; Zhang, Z.; Xu, L. Indoor Geomagnetic Positioning Using Direction-Aware Multiscale Recurrent Neural Networks. IEEE Sens. J. 2023, 23, 3321–3333. [Google Scholar] [CrossRef]
- Xing, H.F.; Li, J.L.; Hou, B.; Zhang, Y.J.; Guo, M.F. Pedestrian Stride Length Estimation from IMU Measurements and ANN Based Algorithm. J. Sens. 2017, 2017, 6091261. [Google Scholar] [CrossRef]
- Wang, Q.; Ye, L.L.; Luo, H.Y.; Men, A.D.; Zhao, F.; Huang, Y. Pedestrian Stride-Length Estimation Based on LSTM and Denoising Autoencoders. Sensors 2019, 19, 840. [Google Scholar] [CrossRef]
- Ping, Z.; Zhidong, M.; Pengyu, W.; Zhihong, D. Pedestrian Stride-Length Estimation Based on Bidirectional LSTM Network. In Proceedings of the 2020 Chinese Automation Congress (CAC), Shanghai, China, 6–8 November 2020; pp. 3358–3363. [Google Scholar]
- Gu, F.; Khoshelham, K.; Yu, C.; Shang, J. Accurate Step Length Estimation for Pedestrian Dead Reckoning Localization Using Stacked Autoencoders. IEEE Trans. Instrum. Meas. 2019, 68, 2705–2713. [Google Scholar] [CrossRef]
- Bo, F.; Li, J.; Wang, W. Mode-Independent Stride Length Estimation With IMUs in Smartphones. IEEE Sens. J. 2022, 22, 5824–5833. [Google Scholar] [CrossRef]
- Hannink, J.; Kautz, T.; Pasluosta, C.F.; Barth, J.; Schulein, S.; Gassmann, K.G.; Klucken, J.; Eskofier, B.M. Mobile Stride Length Estimation With Deep Convolutional Neural Networks. IEEE J. Biomed. Health Inform. 2018, 22, 354–362. [Google Scholar] [CrossRef]
- Zhang, M.Y.; Wen, Y.Y.; Chen, J.; Yang, X.T.; Gao, R.; Zhao, H. Pedestrian Dead-Reckoning Indoor Localization Based on OS-ELM. IEEE Access 2018, 6, 6116–6129. [Google Scholar] [CrossRef]
- Edel, M.; Koppe, E.; IEEE. An Advanced Method for Pedestrian Dead Reckoning using BLSTM-RNNs. In Proceedings of the International Conference on Indoor Positioning and Indoor Navigation (IPIN), Banff, AB, Canada, 13–16 October 2015. [Google Scholar]
- Klein, I.; Asraf, O. StepNet—Deep Learning Approaches for Step Length Estimation. IEEE Access 2020, 8, 85706–85713. [Google Scholar] [CrossRef]
- Yan, S.; Su, Y.; Luo, X.; Sun, A.; Ji, Y.; Ghazali, K.H.b. Deep Learning-Based Geomagnetic Navigation Method Integrated with Dead Reckoning. Remote. Sens. 2023, 15, 4165. [Google Scholar] [CrossRef]
- He, K.M.; Zhang, X.Y.; Ren, S.Q.; Sun, J.; IEEE. Deep Residual Learning for Image Recognition. In Proceedings of the 2016 IEEE Conference on Computer Vision and Pattern Recognition (CVPR), Seattle, WA, USA, 27–30 June 2016; pp. 770–778. [Google Scholar]
- Dey, R.; Salem, F.M.; IEEE. Gate-Variants of Gated Recurrent Unit (GRU) Neural Networks. In Proceedings of the 60th IEEE International Midwest Symposium on Circuits and Systems (MWSCAS), Tufts Univ, Medford Somerville Campus, Boston, MA, USA, 6–9 August 2017; pp. 1597–1600. [Google Scholar]
- Greff, K.; Srivastava, R.K.; Koutnik, J.; Steunebrink, B.R.; Schmidhuber, J. LSTM: A Search Space Odyssey. IEEE Trans. Neural Netw. Learn. Syst. 2017, 28, 2222–2232. [Google Scholar] [CrossRef] [PubMed]
- LeCun, Y.; Bengio, Y.; Hinton, G. Deep learning. Nature 2015, 521, 436–444. [Google Scholar] [CrossRef] [PubMed]
- Weinberg, H. Using the ADXL202 in pedometer and personal navigation applications. Analog Devices AN-602 Appl. Note 2002, 2, 55560101. [Google Scholar]
- Scarlett, J. Enhancing the Performance of Pedometers Using a Single Accelerometer; Analog Devices: Cambridge, MA, USA, 2009. [Google Scholar]
- Kim, J.W.; Jang, H.J.; Hwang, D.-H.; Park, C. A Step, Stride and Heading Determination for the Pedestrian Navigation System. J. Glob. Position. Syst. 2004, 3, 273–279. [Google Scholar] [CrossRef]




















| Category | Description |
|---|---|
| CPU | Intel i7-9700 CPU @ 3.00 GHz |
| GPU | P620 |
| RAM | 8 GB |
| Operation system | Windows 10 64-bit |
| Language | Python 3.10 |
| Framework | TensorFlow 2.9.0 |
| Library | Keras 2.9.0 |
| Hyperparameters | Setting |
|---|---|
| Input dimension | 20 × 180 × 5/1 × 130 × 8 |
| Hidden layers | 3 |
| Number of hidden units | 100 |
| Drop probability between each layer | 0.2 |
| Number of epochs | 10 |
| Learning rate | 10−3 |
| Optimizer | Adam |
| Loss function | Mse |
| Activation function | Sigmoid |
| Technical Parameters | Vivo X30 | Huawei Mate30 | Vivo Y85a | Xiaomi 10 |
|---|---|---|---|---|
| Operation system | Android 9 | Android 10 | Android 8 | Android 10 |
| Image resolution | 2400 1080 | 2340 1080 | 2280 1080 | 2340 1080 |
| CPU | Exynos 980 | Snapdragon 990 | Snapdragon 450 | Snapdragon 865 |
| RAM and ROM | 8 G + 256 G | 8 G + 128 G | 4 G + 64 G | 8 G + 128 G |
| Battery capacity | 4350 mAh | 4100 mAh | 3260 mAh | 4780 mAh |
| Screen | 6.44 inch | 6.62 inch | 6.26 inch | 6.67 inch |
| Method | 75th Percentile (m) | 95th Percentile (m) | |
|---|---|---|---|
| Scene 1 (Pedestrian #1) | LSTM | 1.3807 | 2.4115 |
| GRU | 1.3625 | 2.4639 | |
| PDR | 2.5758 | 3.0459 | |
| DTW | 1.3371 | 1.6481 | |
| MaLoc | 1.9665 | 2.6639 | |
| Proposed | 0.5928 | 0.7508 | |
| Scene 1 (Pedestrian #2) | LSTM | 1.4075 | 2.0970 |
| GRU | 1.6376 | 4.7171 | |
| PDR | 3.9488 | 4.2651 | |
| DTW | 1.3554 | 1.7493 | |
| MaLoc | 1.0205 | 2.5128 | |
| Proposed | 0.5778 | 0.7659 |
| Method | 75th Percentile (m) | 95th Percentile (m) | |
|---|---|---|---|
| Scene 2 (Pedestrian #1) | LSTM | 1.2450 | 2.2110 |
| GRU | 2.3167 | 9.3482 | |
| PDR | 4.1186 | 4.5615 | |
| DTW | 0.8428 | 1.4330 | |
| MaLoc | 2.2558 | 4.1609 | |
| Proposed | 0.5774 | 0.7446 | |
| Scene 2 (Pedestrian #2) | LSTM | 1.7548 | 2.3577 |
| GRU | 2.6148 | 4.9046 | |
| PDR | 4.8981 | 5.1876 | |
| DTW | 1.1743 | 1.6870 | |
| MaLoc | 1.4148 | 2.2267 | |
| Proposed | 0.7439 | 0.9644 |
| Method | Mean Error (m) | RMS Error (m) | |
|---|---|---|---|
| Scene 1 (Pedestrian #1) | LSTM | 1.1035 | 1.2507 |
| GRU | 1.0496 | 1.2456 | |
| PDR | 1.9790 | 2.1154 | |
| DTW | 1.0824 | 1.1381 | |
| MaLoc | 1.3190 | 1.5503 | |
| Proposed | 0.4522 | 0.4892 | |
| Scene 1 (Pedestrian #2) | LSTM | 1.1138 | 1.2719 |
| GRU | 1.4794 | 1.9811 | |
| PDR | 3.3116 | 3.4653 | |
| DTW | 1.0540 | 1.1330 | |
| MaLoc | 0.8365 | 1.0913 | |
| Proposed | 0.4492 | 0.4899 |
| Method | Mean Error (m) | RMS Error (m) | |
|---|---|---|---|
| Scene 2 (Pedestrian #1) | LSTM | 1.0693 | 1.3613 |
| GRU | 2.1594 | 3.5729 | |
| PDR | 2.3258 | 2.7509 | |
| DTW | 0.7294 | 0.7887 | |
| MaLoc | 1.5126 | 2.0207 | |
| Proposed | 0.3927 | 0.4520 | |
| Scene 2 (Pedestrian #2) | LSTM | 1.2848 | 1.7088 |
| GRU | 1.8603 | 2.3792 | |
| PDR | 2.8906 | 3.2625 | |
| DTW | 0.7995 | 0.9272 | |
| MaLoc | 2.0418 | 2.2314 | |
| Proposed | 0.6326 | 0.6616 |
| Method | Time Overhead (#1) (s) | Time Overhead (#2) (s) | |
|---|---|---|---|
| Scene 1 | LSTM | 6.83 | 7.10 |
| GRU | 6.94 | 6.87 | |
| PDR | 5.21 | 4.88 | |
| DTW | 1584.28 | 1452.2 | |
| MaLoc | 31.41 | 30.13 | |
| Proposed | 14.67 | 14.09 | |
| Scene 2 | LSTM | 4.74 | 4.69 |
| GRU | 4.70 | 4.88 | |
| PDR | 1.73 | 1.17 | |
| DTW | 395.38 | 400.89 | |
| MaLoc | 32.39 | 29.38 | |
| Proposed | 9.69 | 9.39 |
Disclaimer/Publisher’s Note: The statements, opinions and data contained in all publications are solely those of the individual author(s) and contributor(s) and not of MDPI and/or the editor(s). MDPI and/or the editor(s) disclaim responsibility for any injury to people or property resulting from any ideas, methods, instructions or products referred to in the content. |
© 2023 by the authors. Licensee MDPI, Basel, Switzerland. This article is an open access article distributed under the terms and conditions of the Creative Commons Attribution (CC BY) license (https://creativecommons.org/licenses/by/4.0/).
Share and Cite
Yan, S.; Su, Y.; Xiao, J.; Luo, X.; Ji, Y.; Ghazali, K.H.B. Deep Neural Network-Based Fusion Localization Using Smartphones. Sensors 2023, 23, 8680. https://doi.org/10.3390/s23218680
Yan S, Su Y, Xiao J, Luo X, Ji Y, Ghazali KHB. Deep Neural Network-Based Fusion Localization Using Smartphones. Sensors. 2023; 23(21):8680. https://doi.org/10.3390/s23218680
Chicago/Turabian StyleYan, Suqing, Yalan Su, Jianming Xiao, Xiaonan Luo, Yuanfa Ji, and Kamarul Hawari Bin Ghazali. 2023. "Deep Neural Network-Based Fusion Localization Using Smartphones" Sensors 23, no. 21: 8680. https://doi.org/10.3390/s23218680
APA StyleYan, S., Su, Y., Xiao, J., Luo, X., Ji, Y., & Ghazali, K. H. B. (2023). Deep Neural Network-Based Fusion Localization Using Smartphones. Sensors, 23(21), 8680. https://doi.org/10.3390/s23218680

