An Electrochemical Sensor of Theophylline on a Boron-Doped Diamond Electrode Modified with Nickel Nanoparticles
Abstract
:1. Introduction
2. Materials and Methods
2.1. Chemicals and Instruments
2.2. Preparation of the Modified BDD Electrode
2.3. Measurement Procedure
2.4. Sample Preparation for Real Sample Analysis
3. Results and Discussion
3.1. Characterization of the BDD/NiNP Electrode
3.2. Electrochemical Study of BDD and BDD/NiNP
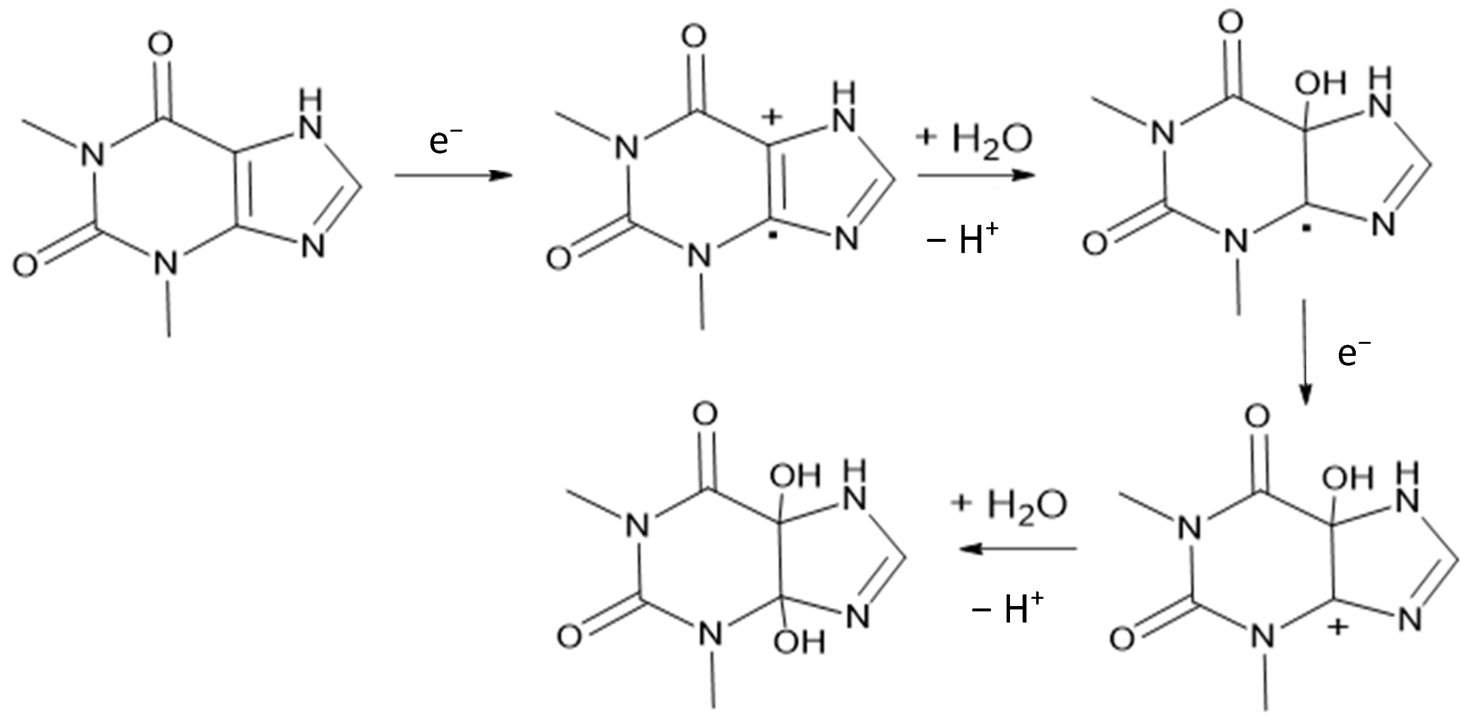
3.3. Electrochemical Performance of Theophylline
3.3.1. Determination of Signal Per Background (S/B)
3.3.2. Effect of Scan Rate
3.3.3. Effect of pH
3.3.4. Linearity and Detection Limits of Theophylline
3.3.5. Selectivity and Reproducibility
3.4. Real Sample Analysis
4. Conclusions
Supplementary Materials
Author Contributions
Funding
Acknowledgments
Conflicts of Interest
References
- Barnes, P.J. Theophylline. Am. J. Respir. Crit. Care Med. 2013, 188, 901–906. [Google Scholar] [CrossRef]
- Roche, N. Systemic medications in chronic obstructive pulmonary disease: Use and outcomes. Clin. Chest Med. 2020, 41, 485–494. [Google Scholar] [CrossRef]
- Ruddarraju, R.R.; Murugulla, A.C.; Kotla, R.; Tirumalasetty, M.C.B.; Wudayagiri, R.; Donthabakthuni, S.; Parasa, L.S. Design, synthesis, anticancer, antimicrobial actiities and molecular docking studies of theophylline containing acetylenes and theo-phylline containing 1,2,3-triazoles with variant nucleoside derivatives. Eur. J. Med. Chem. 2016, 123, 379. [Google Scholar] [CrossRef]
- Sohn, J.A.; Kim, H.S.; Oh, J.; Cho, J.Y.; Yu, K.S.; Lee, J.; Shin, S.H.; Lee, J.A.; Choi, C.W.; Kim, E.K.; et al. Pre-diction of serum theophylline concentrations and cytochrome P450 1A2 activity by analyzing urinary metabolites in preterm infants. Br. J. Pharmacol. 2017, 83, 1279–1286. [Google Scholar] [CrossRef] [PubMed]
- Jilani, T.N.; Preuss, C.V.; Sharma, S. Theophylline; StatPearls Publishing: Treasure Island, FL, USA, 2023. [Google Scholar]
- Tzanavaras, P.D.; Zacharis, C.K.; Themelis, D.G. Rapid determination of methylxanthines in real samples by high-performance liquid chromatography using the new FastGradient® narrow-bore monolithic column. Talanta 2010, 81, 1494–1501. [Google Scholar] [CrossRef] [PubMed]
- Gong, X.; Yu, C.; Zhang, Y.; Sun, Y.; Ye, L.; Li, J. Carbon nanoparticle-protected RNA aptasensor for amplified fluorescent determination of theophylline in serum based on nuclease-aided signal amplification. RSC Adv. 2019, 9, 33898–33902. [Google Scholar] [CrossRef] [PubMed]
- Suryana, S.; Nurjanah, N.S.; Permana, B.; Prasetiawati, R.; Lubis, N. Derivative UV-spectroscopic determination of theophyl-line, salbutamol sulfate and glycerylguaicolate in syrup mixture. J. Phys. Conf. Ser. 2019, 1402, 055043. [Google Scholar] [CrossRef]
- Chen, X.; Guo, Z.; Tang, Y.; Shen, Y.; Miao, P.A. Highly sensitive gold nanoparticle-based electrochemical aptasensor for the-ophylline detection. Anal. Chim. Acta 2018, 999, 54–59. [Google Scholar] [CrossRef]
- Ganjali, M.R.; Dourandish, Z.; Beitollahi, H.; Tajik, S.; Hajiaghababaei, L.; Larijani, B. Highly sensitive determination of the-ophylline based on graphene quantum dots modified electrode. Int. J. Electrochem. Sci. 2018, 13, 2448–2461. [Google Scholar] [CrossRef]
- Couto, R.A.S.; Lima, J.L.F.C.; Quinaz, M.B. Recent developments, characteristics and potential applications of screen-printed electrodes in pharmaceutical and biological analysis. Talanta 2016, 146, 801–814. [Google Scholar] [CrossRef]
- Kondo, T. Conductive boron-doped diamond powder/nanoparticles for electrochemical applications. Chem. Lett. 2021, 50, 733–741. [Google Scholar] [CrossRef]
- Cinková, K.; Zbojeková, N.; Vojs, M.; Marton, M.; Samphao, A.; Švorc, L. Electroanalytical application of a boron-doped di-amond electrode for sensitive voltammetric determination of theophylline in pharmaceutical dosages and human urine. Anal. Methods 2015, 7, 6755–6763. [Google Scholar] [CrossRef]
- Wahyuni, W.T.; Ivandini, T.A.; Jiwanti, P.K.; Saepudin, E.; Gunlazuardi, J.; Einaga, Y. Electrochemical behavior of zanamivir at gold-modified boron-doped diamond electrodes for an application in neuraminidase sensing. Electrochemistry 2015, 83, 357–362. [Google Scholar] [CrossRef]
- Ali, M.Y.; Knight, D.; Howlader, M.M.R. Nonenzymatic electrochemical glutamate sensor using copper oxide nanomaterials and multiwall carbon nanotubes. Biosensors 2023, 13, 237. [Google Scholar] [CrossRef]
- Wulandari, R.; Ivandini, T.A.; Saefudin, E. A boron-doped diamond electrode decorated with hemoglobin-modified platinum nanoparticles as a biosensor for acrylamide detection. IOP Conf. Ser. Mater. Sci. Eng. 2019, 496, 012011. [Google Scholar] [CrossRef]
- Ludwig, J.R.; Schindler, C.S. Catalyst: Sustainable catalysis. Chem 2017, 2, 313–316. [Google Scholar] [CrossRef]
- Wang, Y.; Yin, C.; Zhuang, Q. An electrochemical sensor modified with nickel nanoparticle/nitrogen-doped carbon nanosheet nanocomposite for bisphenol A detection. J. Alloys Compd. 2020, 827, 154335. [Google Scholar] [CrossRef]
- Salihu, S.; Bawa, A.; Birmah, B.I. Electrochemical detection of glucose in human urine using nickel nanoparticle modified electrode. DUJOPAS 2021, 7, 122–135. [Google Scholar]
- Jiwanti, P.K.; Sitorus, I.R.; Kadja, G.T.M.; Wafiroh, S.; Einaga, Y. Electrochemical sensor of levofloxacin on boron doped dia-mond electrode decorated by nickel nanoparticles. Indones. J. Chem. 2022, 22, 1321–1329. [Google Scholar] [CrossRef]
- Fitoz, A.; Yazan, Z.; Önal, M. Simultaneous trace electrochemical determination of xanthine theophylline and theobromine with a novel sensor based on a composite including metal oxide nanoparticle multi-walled carbon nanotube and nano-na-montmorillonite clay. Electroanalysis 2021, 33, 2226–2234. [Google Scholar] [CrossRef]
- Santos, B.G.; Goncalves, J.M.; Rocha, D.P.; Higino, G.S.; Yadav, T.P.; Pedrotti, J.J.; Ajayan, P.M.; Angnes, L. Electrochemical sensor for isoniazid detection by using a WS2/CNTs nanocomposite. Sens. Actuators Rep. 2022, 4, 100073. [Google Scholar] [CrossRef]
- Putri, Y.M.T.A.; Jiwanti, P.K.; Gunlazuardi, J.; Einaga, Y.; Ivandini, T.A. Preparation of boron doped diamond modified by bimetallic nickel and zinc. IOP Conf. Ser. Mater. Sci. Eng. 2020, 902, 012001. [Google Scholar] [CrossRef]
- Xiong, D.; Li, W.; Liu, L. Vertically aligned porous nickel(II) hydroxide nanosheet supported on carbon paper with long-term oxygen evolution performance. Chem. Asian J. 2017, 12, 543–551. [Google Scholar] [CrossRef] [PubMed]
- Švorc, L.; Cinková, K.; Sochr, J.; Vojs, M.; Michniak, P.; Marton, M. Sensitive electrochemical determination of amlodipine in pharmaceutical tablets and human urine using a boron-doped diamond electrode. J. Electroanal. Chem. 2014, 728, 86–93. [Google Scholar] [CrossRef]
- Janaj, A.A.; Shetti, N.P.; Malode, S.J.; Bukkitgar, S.D.; Kulkarni, R.M. TiO2 nanoparticles modified sensor for theophylline drug. Mater. Today Proc. 2019, 18, 606–612. [Google Scholar] [CrossRef]
- Kilele, J.C.; Chokkareddy, R.; Rono, N.; Redhy, G.G. A novel electrochemical sensor for selective determination of theophylline in pharmaceutical formulations. J. Taiwan Inst. Chem. Eng. 2020, 111, 228–238. [Google Scholar] [CrossRef]
- Chiarotto, I.; Mattiello, L.; Pandolfi, F.; Rocco, D.; Feroci, M.; Petrucci, R. Electrochemical oxidation of theophylline in organic solvents: Hplc-pda-esi-ms/MS analysis of the oxidation products. ChemElectroChem 2019, 6, 4511–4521. [Google Scholar] [CrossRef]
- Pour, E.S.; Ebrahim, M.; Beitollahi, H. Electrochemical sensing of theophylline using modified glassy carbon electrode. Chem. Methodol. 2022, 6, 560–568. [Google Scholar]
- Wang, T.; Randviir, E.P.; Banks, C.E. Detection of theophylline utilizing portable electrochemical sensors. Analyst 2014, 139, 2000–2003. [Google Scholar] [CrossRef]
- Jesny, S.; Kumar, K.G. Non-enzymatic electrochemical sensor for the simultaneous determination of xanthine, its methyl de-rivatives theophylline and caffein as well as its metabolite uric acid. Electroanalysis 2017, 29, 1828–1837. [Google Scholar] [CrossRef]
- Brunetti, B.; Desimoni, E. Determination of theophylline at a cysteic acid modified glassy carbon electrode. Electroanalysis 2009, 21, 772–778. [Google Scholar] [CrossRef]
- Tajek, S.; Taher, M.A.; Beitollahi, H. Application of a new ferrocene-derivative modified-graphene paste electrode for simultaneous determination of isoproterenol, acetaminophen, and theophylline. Sens. Actuators B Chem. 2014, 197, 228–236. [Google Scholar] [CrossRef]
- Peng, A.; Yan, H.; Luo, C.; Wang, G.; Wang, Y.; Ye, X.; Ding, H. Electrochemical determination of theophylline pharmacokinetic under the effect of roxithromycin in rats by the MWNTS/Au/Poly-L-lysine modified sensor. Int. J. Electrochem. Sci. 2017, 12, 330–346. [Google Scholar] [CrossRef]









| Electrodes | Concentration Range (μM) | LOD (μM) | Sensitivity (μA/μM) | References |
|---|---|---|---|---|
| NiO/MWCNT/NNaM/PGE | 5–200 | 0.361 | 0.457 | [21] |
| 3D NiO-NWS/GCE | 0.1–900 | 0.03 | 0.0049 | [29] |
| SPE/GQD | 1–700 | 0.2 | 0.0299 | [10] |
| GC/Poly(PABSA) | 10–100 | 7.02 | 0.224 | [31] |
| GC/Cysteic acid | 2.5–68 | 1.2 | 0.0036 | [32] |
| BBFT/IL/GPE | 12–1200 | 9.2 | 0.01 | [33] |
| SPE | 55–290 | 10 | 0.012 | [30] |
| MWNTs/Au/PLL SPE | 10–200 | 2.0 | 0.0095 | [34] |
| BDD/NiNP | 30–100 | 2.79 | 0.3002 | This work |
| BDD | 30–100 | 4.58 | 0.5020 | This work |
| Parameter Validation | Electrodes | |
|---|---|---|
| BDD | BDD/NiNP | |
| S/B | 1.98 | 6.63 |
| pH Optimum | 3.0 | 3.0 |
| Electrochemical surface-active area (cm2) | 0.0011 | 0.0081 |
| Sensitivity | 0.5020 | 0.3002 |
| LOD (µM) | 4.58 | 2.79 |
| %RSD | 2.69 | 1.36 |
| Electrodes | Added (μM) | Found (μM) | %Recovery | %RSD |
|---|---|---|---|---|
| BDD | 60 | 59.92 | 99.87% | 4.10% |
| BDD/NiNP | 60 | 63.05 | 105.10% | 1.65% |
Disclaimer/Publisher’s Note: The statements, opinions and data contained in all publications are solely those of the individual author(s) and contributor(s) and not of MDPI and/or the editor(s). MDPI and/or the editor(s) disclaim responsibility for any injury to people or property resulting from any ideas, methods, instructions or products referred to in the content. |
© 2023 by the authors. Licensee MDPI, Basel, Switzerland. This article is an open access article distributed under the terms and conditions of the Creative Commons Attribution (CC BY) license (https://creativecommons.org/licenses/by/4.0/).
Share and Cite
Jiwanti, P.K.; Sari, A.P.; Wafiroh, S.; Hartati, Y.W.; Gunlazuardi, J.; Putri, Y.M.T.A.; Kondo, T.; Anjani, Q.K. An Electrochemical Sensor of Theophylline on a Boron-Doped Diamond Electrode Modified with Nickel Nanoparticles. Sensors 2023, 23, 8597. https://doi.org/10.3390/s23208597
Jiwanti PK, Sari AP, Wafiroh S, Hartati YW, Gunlazuardi J, Putri YMTA, Kondo T, Anjani QK. An Electrochemical Sensor of Theophylline on a Boron-Doped Diamond Electrode Modified with Nickel Nanoparticles. Sensors. 2023; 23(20):8597. https://doi.org/10.3390/s23208597
Chicago/Turabian StyleJiwanti, Prastika Krisma, Anis Puspita Sari, Siti Wafiroh, Yeni Wahyuni Hartati, Jarnuzi Gunlazuardi, Yulia M. T. A. Putri, Takeshi Kondo, and Qonita Kurnia Anjani. 2023. "An Electrochemical Sensor of Theophylline on a Boron-Doped Diamond Electrode Modified with Nickel Nanoparticles" Sensors 23, no. 20: 8597. https://doi.org/10.3390/s23208597
APA StyleJiwanti, P. K., Sari, A. P., Wafiroh, S., Hartati, Y. W., Gunlazuardi, J., Putri, Y. M. T. A., Kondo, T., & Anjani, Q. K. (2023). An Electrochemical Sensor of Theophylline on a Boron-Doped Diamond Electrode Modified with Nickel Nanoparticles. Sensors, 23(20), 8597. https://doi.org/10.3390/s23208597

