Experimental Study on Calibration of Amplitude-Frequency Measurement Deviation for Microseismic Sensors in Coal Mines
Abstract
:1. Introduction
2. Experimental Method
2.1. Introduction of Microseismic Sensor
2.2. Preparation of Old Microseismic Sensor
2.3. Calibration Instrumentation and Scheme Design
2.3.1. Calibration Principles and Equipment
2.3.2. Design of Calibration Scheme
3. Analysis of Experimental Results
3.1. Amplitude–Frequency Calibration Index
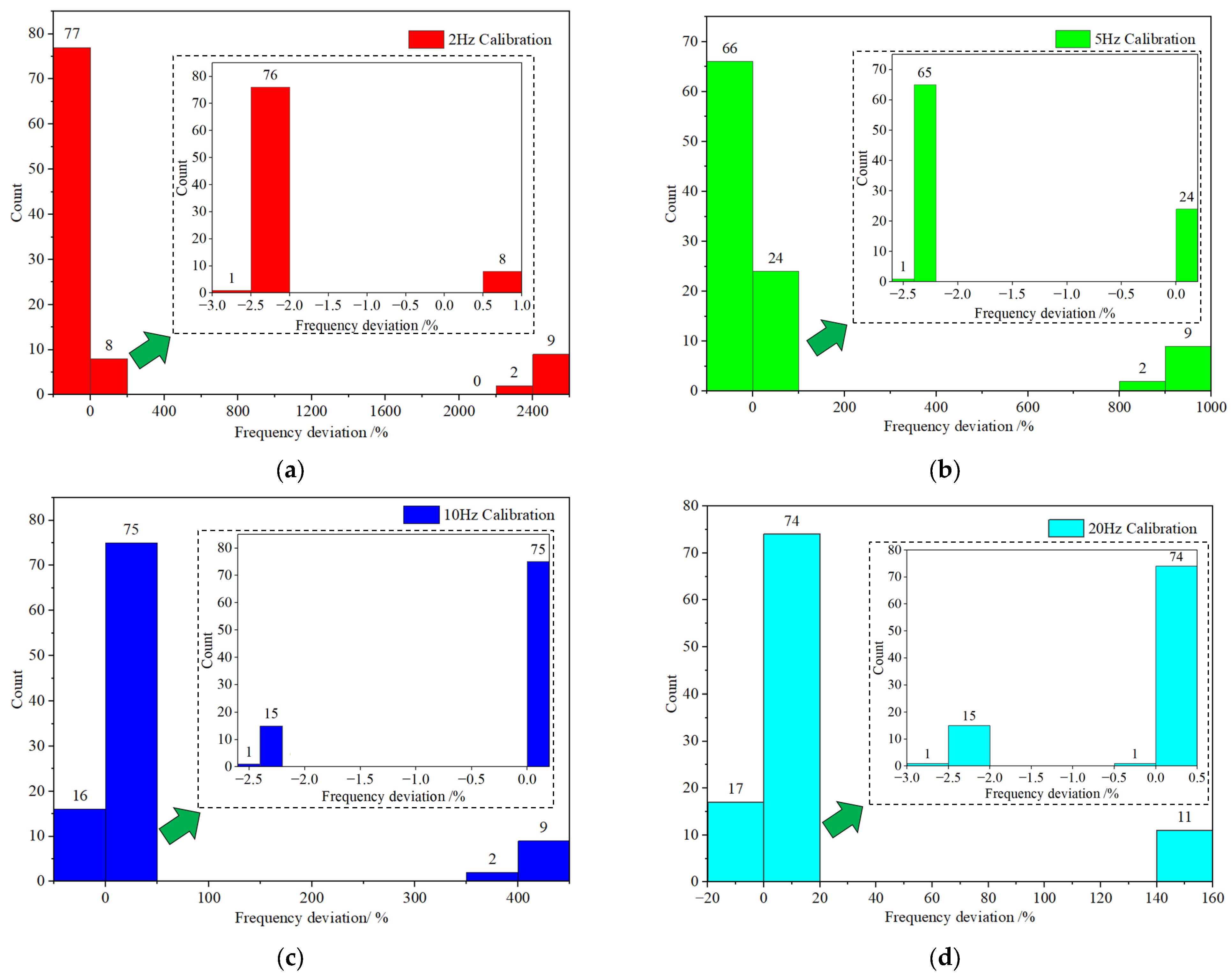
3.2. Frequency Calibration Result Analysis
3.3. Amplitude Calibration Result Analysis
3.3.1. Amplitude Deviation Analysis
3.3.2. Amplitude Linearity Analysis
4. Discussions
4.1. Determining the Discriminant Critical Value
4.2. Effect of Amplitude Deviation on Microseismic Localization
4.3. Effect of Amplitude–Frequency Deviation on Microseismic Energy
5. Conclusions
- (1)
- The comparison test between old and new MS using CS18VLF reveals that MS can experience failure after prolonged use in underground conditions. This failure is primarily characterized by significant deviations from the normal range in the measured frequency and amplitude. The methodology employed in this study has demonstrated its efficacy in identifying these faulty sensors.
- (2)
- Using a comparative analysis of frequency deviation, amplitude deviation, and amplitude linearity between the old and new MS, the critical threshold for evaluating the effectiveness of MS was established. A sensor is deemed functional when its absolute frequency deviation is below 5%, absolute amplitude deviation is below 55%, and amplitude linearity exceeds 0.95.
- (3)
- Under normal operating, the frequency deviation of the MS is significantly smaller than the amplitude deviation. Consequently, the effect of frequency deviation on microseismic energy can be deemed negligible.
- (4)
- Simplified waveform analysis reveals a linear relationship between amplitude deviation and microseismic localization results. However, microseismic energy is influenced by both amplitude deviation and localization results. Therefore, pinpointing the precise impact of amplitude deviations on microseismic energy is challenging.
Author Contributions
Funding
Institutional Review Board Statement
Informed Consent Statement
Data Availability Statement
Acknowledgments
Conflicts of Interest
References
- Yunhai, C.; Fuxing, J.; Xingmin, Z.; Zhongyu, M.; Zhenwen, J. C-shaped strata spatial structure and stress field in longwall face monitored by microseismic monitoring. Chin. J. Rock Mech. Eng. 2007, 26, 102–107. [Google Scholar] [CrossRef]
- Warpinski, N. Microseismic monitoring: Inside and out. J. Pet. Technol. 2009, 61, 80–85. [Google Scholar] [CrossRef]
- Chen, J.; Zhu, C.; Du, J.; Pu, Y.; Pan, P.; Bai, J.; Qi, Q. A quantitative pre-warning for coal burst hazardous zones in a deep coal mine based on the spatio-temporal forecast of microseismic events. Process Saf. Environ. Prot. 2022, 159, 1105–1112. [Google Scholar] [CrossRef]
- Jiang, L.; Xue, D.; Wei, Z.; Chen, Z.; Mirzayev, M.; Chen, Y.; Chen, S. Coal decarbonization: A state-of-the-art review of enhanced hydrogen production in underground coal gasification. Energy Rev. 2022, 1, 100004. [Google Scholar] [CrossRef]
- Cao, A.; Jing, G.; Ding, Y.-l.; Liu, S. Mining-induced static and dynamic loading rate effect on rock damage and acoustic emission characteristic under uniaxial compression. Saf. Sci. 2019, 116, 86–96. [Google Scholar] [CrossRef]
- Makowka, J.; Kabiesz, J.; Dou, L.-M. Relationship between the rock mass deformation and places of occurrence of seismological events. Min. Sci. Technol. 2009, 19, 580–584. [Google Scholar] [CrossRef]
- Dou, L.; Tian, X.; Cao, A.; Gong, S.; He, H.; HE, J.; Cai, W.; Li, X. Present situation and problems of coal mine rock burst prevention and control in China. J. Chin. Coal Soc. 2022, 47, 152–171. [Google Scholar] [CrossRef]
- Cai, W.; Dou, L.; Si, G.; Cao, A.; Gong, S.; Wang, G.; Yuan, S. A new seismic-based strain energy methodology for coal burst forecasting in underground coal mines. Int. J. Rock Mech. Min. Sci. 2019, 123, 104086. [Google Scholar] [CrossRef]
- Pu, Y.; Apel, D.B.; Liu, V.; Mitri, H. Machine learning methods for rockburst prediction-state-of-the-art review. Int. J. Min. Sci. Technol. 2019, 29, 565–570. [Google Scholar] [CrossRef]
- Qi, Q.; Li, Y.; Zhao, S.; Zhang, N.; Zheng, W.; Li, H.; Li, H. Seventy years development of coal mine rockburst in China: Establishment and consideration of theory and technology system. Coal Sci. Technol. 2019, 47, 1–40. [Google Scholar] [CrossRef]
- Kaiser, P.K.; McCreath, D.R.; Tannant, D.D. Canadian Rockburst Support Handbook; Geomechanics Research Centre, Laurentian University: Sudbury, ON, Canada, 1996. [Google Scholar]
- Ma, T.H.; Tang, C.A.; Tang, L.X.; Zhang, W.D.; Wang, L. Rockburst characteristics and microseismic monitoring of deep-buried tunnels for Jinping II Hydropower Station. Tunn. Undergr. Space Technol. 2015, 49, 345–368. [Google Scholar] [CrossRef]
- Ge, M. Efficient mine microseismic monitoring. Int. J. Coal Geol. 2005, 64, 44–56. [Google Scholar] [CrossRef]
- Luo, X.; Hatherly, P. Application of microseismic monitoring to characterise geomechanical conditions in longwall mining. Explor. Geophys. 1998, 29, 489–493. [Google Scholar] [CrossRef]
- Rutledge, J.T.; Phillips, W.; House, L.; Zinno, R.J. Microseismic Mapping of a Cotton Valley Hydraulic Fracture Using Decimated Downhole Arrays. In SEG Technical Program. Expanded Abstracts 1998; Society of Exploration Geophysicists: Houston, TX, USA, 1998; pp. 338–341. [Google Scholar] [CrossRef]
- Li, S.; He, X.; Zhang, S.; Lu, Q.; Jiang, X.; Tong, X.; Li, T.; Guan, E.; Zuo, Y.; Sun, X. Progress and latest achievements of mine seismic monitoring technology. Prog. Geophys. 2004, 19, 853–859. [Google Scholar] [CrossRef]
- Jiang, F.; Wang, C.; Yang, S.; Zhang, X. Micro seismic monitoring and measuring technology for pumping presuure, coal and gas outburst and water inrush. Coal Sci. Technol. 2007, 35, 26–28. [Google Scholar] [CrossRef]
- Jiang, F.; Yang, S.; Xun, L. Spatial fracturing progresses of surrounding rock masses in longwall face monitored by microseismic monitoring techniques. J. China Coal Soc. 2003, 28, 357–360. [Google Scholar]
- Li, T.; Cai, M.; Ji, L.; Zuo, Y.; Sun, L. Study on geophysical process of strong tremor and forecasting in the short-term and impending stages. J. Disaster Prev. Reduct. 2004, 2004, 39–46. [Google Scholar]
- Pan, Y.; Zhao, Y.; Guan, F.; Li, G.; Ma, Z. Study on rockburst monitoring and orientation system and its application. Chin. J. Rock. Mech. Eng. 2007, 26, 1002–1011. [Google Scholar] [CrossRef]
- Gao, B.-b.; Li, H.-g.; Li, H.-m.; Yuan, R.-f.; Liu, Y.-p. Current situation of the study on acoustic emission and microseismic monitoring of coupling dynamic catastrophe for gas-filled coal-rock. Prog. Geophys. 2014, 29, 689–697. [Google Scholar] [CrossRef]
- Li, N.; Wang, E.; Ge, M. Microseismic monitoring technique and its applications at coal mines: Present status and future prospects. J. China Coal Soc. 2017, 42, 83–96. [Google Scholar] [CrossRef]
- Vol.GB/T25217.4-2019; Methods for Test, Monitoring and Prevention of Rock Burst—Part 4: Monitoring Method of Microseismicity. The State Administration for Market Regulation and Standardization Administration of China: Beijing, China, 2019.
- Ma, T.; Lin, D.; Tang, C.a.; Yadav, K.P.; Feng, Z.; Ma, K. Microseismic monitoring, positioning principle, and sensor layout strategy of rock mass engineering. Geofluids 2020, 2020, 8810391. [Google Scholar] [CrossRef]
- Chi, Q. A Study of Low-Frequency Standard Vibration Table Systems and Vibration Calibration Technology. Ph.D. Thesis, Institute of Engineering Mechanics, China Earthquake Administration, Harbin, China, 2014. [Google Scholar]
- Vol.JG/T 5002.2-1992; Concrete Vibratiing Table. Changsha Institute of Construction Machinery, Ministry of Construction: Changsha, China, 1992.
- Vol.GB/T 20485.43-2021; Methods for the Calibration of Vibration and Shock Transducers. The State Administration for Market Regulation and Standardization Administration of China: Beijing, China, 2021.
- Zhou, W.; Wang, L.; Guan, L.; Guo, Q.; Cui, S.; Yu, B. Microseismic event location using an inverse method of joint P–S phase arrival difference and P-wave arrival difference in a borehole system. J. Geophys. Eng. 2015, 12, 220–226. [Google Scholar] [CrossRef]
- Roberts, R.; Christoffersson, A.; Cassidy, F. Real-time event detection, phase identification and source location estimation using single station three-component seismic data. Geophys. J. Int. 1989, 97, 471–480. [Google Scholar] [CrossRef]
- Guo, C.; Zhu, T.; Gao, Y.; Wu, S.; Sun, J. AEnet: Automatic picking of P-wave first arrivals using deep learning. IEEE Trans. Geosci. Remote Sens. 2020, 59, 5293–5303. [Google Scholar] [CrossRef]
- Yu, Z.; Huang, D.; Tan, Y.; He, C. Receiver orientation and event back-azimuth estimation for downhole microseismic monitoring using a probabilistic method based on P-wave polarization. Front. Earth Sci. 2023, 10, 1027216. [Google Scholar] [CrossRef]
- Peng, K.; Guo, H.-y.; Shang, X.-y. Microseismic source location using the Log-Cosh function and distant sensor-removed P-wave arrival data. J. Cent. S. Univ. 2022, 29, 712–725. [Google Scholar] [CrossRef]
- Boroumand, N.; Eaton, D.W. Comparing Energy Calculations-Hydraulic Fracturing and Microseismic Monitoring. In Proceedings of the 74th EAGE Conference and Exhibition Incorporating EUROPEC 2012, Copenhagen, Denmark, 4–7 June 2012; p. cp–293-00090. [Google Scholar]
- Jinqiang, W.; Basnet, P.; Mahtab, S. Review of machine learning and deep learning application in mine microseismic event classification. Min. Miner. Depos. 2021, 15, 19–26. [Google Scholar] [CrossRef]
















| Parameter | Performance |
|---|---|
| The driving force (sine peak) | 133 N |
| Maximum displacement | 158 mm |
| Maximum acceleration | 13 m/s2 |
| Frequency | DC~200 Hz |
| Maximum load | 1.5 kg |
Disclaimer/Publisher’s Note: The statements, opinions and data contained in all publications are solely those of the individual author(s) and contributor(s) and not of MDPI and/or the editor(s). MDPI and/or the editor(s) disclaim responsibility for any injury to people or property resulting from any ideas, methods, instructions or products referred to in the content. |
© 2023 by the authors. Licensee MDPI, Basel, Switzerland. This article is an open access article distributed under the terms and conditions of the Creative Commons Attribution (CC BY) license (https://creativecommons.org/licenses/by/4.0/).
Share and Cite
Han, Z.; Dou, L.; Mu, Z.; Cao, J.; Chai, Y.; Chen, S. Experimental Study on Calibration of Amplitude-Frequency Measurement Deviation for Microseismic Sensors in Coal Mines. Sensors 2023, 23, 8420. https://doi.org/10.3390/s23208420
Han Z, Dou L, Mu Z, Cao J, Chai Y, Chen S. Experimental Study on Calibration of Amplitude-Frequency Measurement Deviation for Microseismic Sensors in Coal Mines. Sensors. 2023; 23(20):8420. https://doi.org/10.3390/s23208420
Chicago/Turabian StyleHan, Zepeng, Linming Dou, Zonglong Mu, Jinrong Cao, Yanjiang Chai, and Shuai Chen. 2023. "Experimental Study on Calibration of Amplitude-Frequency Measurement Deviation for Microseismic Sensors in Coal Mines" Sensors 23, no. 20: 8420. https://doi.org/10.3390/s23208420
APA StyleHan, Z., Dou, L., Mu, Z., Cao, J., Chai, Y., & Chen, S. (2023). Experimental Study on Calibration of Amplitude-Frequency Measurement Deviation for Microseismic Sensors in Coal Mines. Sensors, 23(20), 8420. https://doi.org/10.3390/s23208420

