Road-Network-Map-Assisted Vehicle Positioning Based on Pose Graph Optimization
Abstract
:1. Introduction
2. Related Work
- The constraints are introduced from the point-line form road network map, with no need for richer map information to suppress the VO drift error. The map data required for the proposed method are small, making them suitable for large-scale scenarios;
- The new model of the road network map designed based on RNBE can accurately describe the shape of roads and the topological relationships between different RNBEs. Furthermore, the joint judgment criteria of length/angle based on RNBE provides assistance for selecting map correction points;
- The proposed optimization and prediction model is able to effectively improve the trajectory accuracy through the RNAP algorithm in the optimization stage, and predict vehicle position estimation in real-time by combining the latest VO calculation result and optimized trajectory in the prediction stage;
- The experiments carried out on public and campus datasets demonstrate that this method can effectively improve vehicle positioning accuracy.
3. System Overview
3.1. The Road Network Map Based on RNBE
3.2. System Flow
4. The RNAP Algorithm
4.1. System Initialization
4.1.1. Map Initialization
4.1.2. Initial Road Section Locating
4.2. Map Correction Points
4.2.1. Particle and Similarity
4.2.2. Map Correction Point Selecting
Correction Point Selecting
Correction Point Selection
4.3. Trajectory Optimization
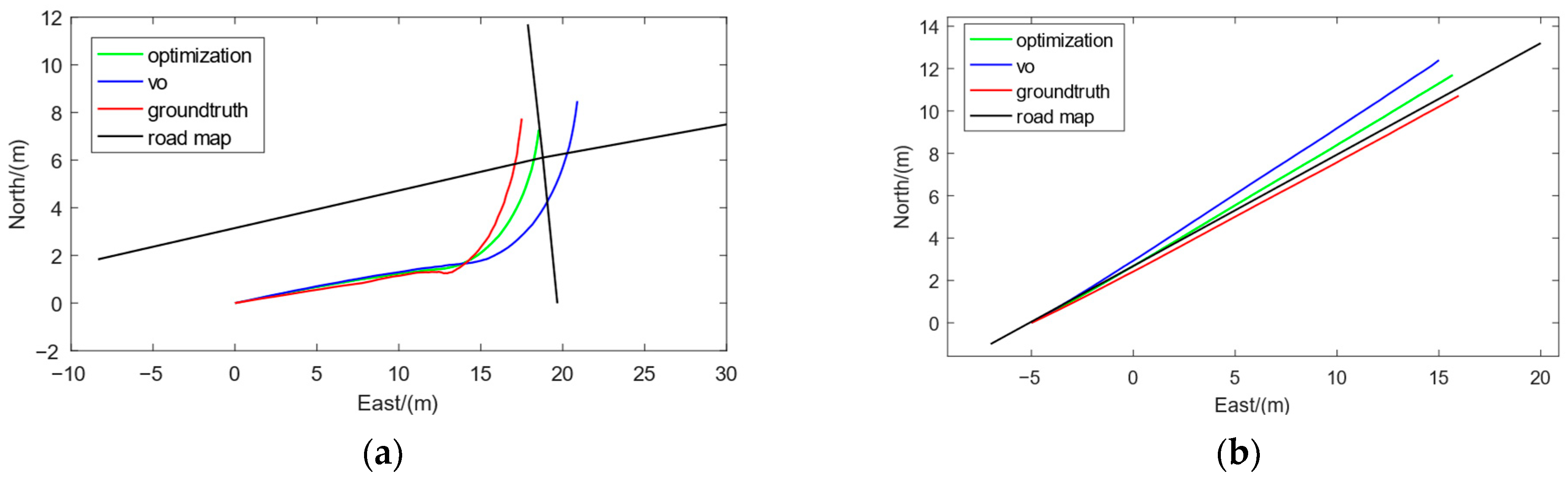
5. Experimental Results
5.1. Comparison with a Traditional VO Algorithm
5.2. Comparison with Other Localization Algorithms
6. Conclusions
Author Contributions
Funding
Institutional Review Board Statement
Informed Consent Statement
Data Availability Statement
Conflicts of Interest
References
- Ranasinghe, D.R.; Wanniarachch, W.; Anuradha, U. GPS guided auto sensing system for motor vehicles. In Proceedings of the 2019 International Research Conference on Smart Computing and Systems Engineering, Colombo, Sri Lanka, 28 March 2019. [Google Scholar]
- Dhanalakshmi, S.B.; Deepa, N. Auto Guiding System for Campus. In Proceedings of the 2022 Third International Conference on Intelligent Computing Instrumentation and Control Technologies, Kerala, India, 11–12 August 2022. [Google Scholar]
- Sun, R.; Wang, G.Y.; Cheng, Q.; Fu, L.X.; Chiang, K.W.; Hsu, L.T.; Ochieng, W.Y. Improving GPS code phase positioning accuracy in urban environments using machine learning. IEEE Internet Things J. 2020, 8, 7065–7078. [Google Scholar] [CrossRef]
- Yuan, H.J.; Zhang, Z.T.; He, X.F.; Wen, Y.L.; Zeng, J.W. An Extended robust estimation method considering the multipath effects in GNSS real-time kinematic positioning. IEEE Trans. Instrum. Meas. 2022, 71, 8504509. [Google Scholar] [CrossRef]
- Chou, C.; Kingery, A.; Wang, D.; Li, H.F.; Song, D.Z. Encoder-camera-ground penetrating radar tri-sensor mapping for surface and subsurface transportation infrastructure inspection. In Proceedings of the 2018 IEEE International Conference on Robotics and Automation, Brisbane, Australia, 21–25 May 2018. [Google Scholar]
- Mohd, T.K.; Nguyen, N.; Javaid, A.Y. Multi-modal data fusion in enhancing human-machine interaction for robotic applications: A survey. arXiv 2022, arXiv:2202.07732. [Google Scholar]
- Van Dinh, N.; Kim, G.W. Multi-sensor fusion towards VINS: A concise tutorial, survey, framework and challenges. In Proceedings of the 2020 IEEE International Conference on Big Data and Smart Computing, Busan, Republic of Korea, 19–22 February 2020. [Google Scholar]
- Qin, T.; Cao, S.Z.; Pan, J.; Shen, S.J. A General Optimization-based Framework for Global Pose Estimation with Multiple Sensors. arXiv 2019, arXiv:1901.03642. [Google Scholar]
- Moussa, M.; Moussa, A.; Elhabiby, M.; El-Sheimy, N. Wheel-based aiding of low-cost imu for land vehicle navigation in gnss challenging environment. In Proceedings of the 2020 IEEE 92nd Vehicular Technology Conference, Victoria, BC, Canada, 18 November–16 December 2020. [Google Scholar]
- Jung, J.H.; Cha, J.; Chung, J.Y.; Kim, T.I.; Seo, M.H. Monocular visual-inertial-wheel odometry using low-grade IMU in urban areas. IEEE Trans. Intell. Transp. Syst. 2020, 23, 925–938. [Google Scholar] [CrossRef]
- Lindner, L.; Sergiyenko, O.; Rivas-López, M.; Ivanov, M.; Rodríguez-Quiñonez, J.C. Machine vision system errors for unmanned aerial vehicle navigation. In Proceedings of the 2017 IEEE 26th International Symposium on Industrial Electronics, Edinburgh, UK, 19–21 June 2017. [Google Scholar]
- Lindner, L.; Sergiyenko, O.; Rivas-López, M.; Valdez-Salas, B.; Rodríguez-Quiñonez, J.C. Machine vision system for UAV navigation. In Proceedings of the 2016 International Conference on Electrical Systems for Aircraft, Railway, Ship Propulsion and Road Vehicles & International Transportation Electrification Conference, Toulouse, France, 2–4 November 2016. [Google Scholar]
- Ge, Y.; Wang, H.; Zhu, F.; Zhao, R.; Li, H. Self-supervising fine-grained region similarities for large-scale image localization. In Proceedings of the Computer Vision–ECCV 2020: 16th European Conference, Glasgow, UK, 23–28 August 2020. [Google Scholar]
- Shi, Y.; Li, H. Beyond cross-view image retrieval: Highly accurate vehicle localization using satellite image. In Proceedings of the IEEE/CVF Conference on Computer Vision and Pattern Recognition, New Orleans, LA, USA, 21–24 June 2022. [Google Scholar]
- Humenberger, M.; Cabon, Y.; Guerin, N.; Morat, J.; Leroy, V. Robust image retrieval-based visual localization using kapture. arXiv 2020, arXiv:2007.13867. [Google Scholar]
- He, M.; Zhu, C.Z.; Huang, Q.; Ren, B.; Liu, J.T. A review of monocular visual odometry. Vis. Comput. 2020, 36, 1053–1065. [Google Scholar] [CrossRef]
- Zhan, H.Y.; Weerasekera, C.S.; Bian, J.W.; Reid, L. Visual odometry revisited: What should be learnt? In Proceedings of the 2020 IEEE International Conference on Robotics and Automation, Paris, France, 31 May–4 June 2020. [Google Scholar]
- Loo, S.T.; Amiri, A.J.; Mashohor, S.; Tang, S.H.; Zhang, H. CNN-SVO: Improving the mapping in semi-direct visual odometry using single-image depth prediction. In Proceedings of the 2019 International Conference on Robotics and Automation, Montreal, QC, Canada, 20–24 May 2019. [Google Scholar]
- Li, Y.; Ushiku, Y.; Harada, T. Pose graph optimization for unsupervised monocular visual odometry. In Proceedings of the 2019 International Conference on Robotics and Automation, Montreal, QC, Canada, 20–24 May 2019. [Google Scholar]
- Mur- Artal, R.; Tardós, J.D. Orb-slam2: An open-source slam system for monocular, stereo, and rgb-d cameras. IEEE Trans. Robot. 2017, 33, 1255–1265. [Google Scholar] [CrossRef]
- Gomez-Ojeda, R.; Moreno, F.A.; Zuniga-Noël, D.; Scaramuzza, D.; Gonzalez-Jimenez, J. PL-SLAM: A stereo SLAM system through the combination of points and line segments. IEEE Trans. Robot. 2019, 35, 734–746. [Google Scholar] [CrossRef]
- Cui, L.; Ma, C. SOF-SLAM: A semantic visual SLAM for dynamic environments. IEEE Access 2019, 7, 166528–166539. [Google Scholar] [CrossRef]
- Karkus, P.; Cai, S.; Hsu, D. Differentiable slam-net: Learning particle slam for visual navigation. In Proceedings of the IEEE/CVF Conference on Computer Vision and Pattern Recognition, Online, 20–25 June 2021. [Google Scholar]
- Campos, C.; Elvira, R.; Rodríguez, J.J.G.; Montiel, J.M.; Tardós, J.D. Orb-slam3: An accurate open-source library for visual, visual–inertial, and multimap slam. IEEE Trans. Robot. 2021, 37, 1874–1890. [Google Scholar] [CrossRef]
- Mascaro, R.; Teixeira, L.; Hinzmann, T.; Siegwart, R.; Chli, M. Gomsf: Graph-optimization based multi-sensor fusion for robust uav pose estimation. In Proceedings of the 2018 IEEE International Conference on Robotics and Automation, Brisbane, Australia, 21–25 May 2018. [Google Scholar]
- Tao, X.; Zhu, B.; Xuan, S.; Zhao, J.; Jiang, H. A multi-sensor fusion positioning strategy for intelligent vehicles using global pose graph optimization. IEEE Trans. Veh. Technol. 2021, 71, 2614–2627. [Google Scholar] [CrossRef]
- Hu, J.W.; Zheng, B.Y.; Wang, C.; Zhao, C.H.; Hou, X.L. A survey on multi-sensor fusion based obstacle detection for intelligent ground vehicles in off-road environments. Front. Inf. Technol. Electron. Eng. 2020, 21, 675–692. [Google Scholar] [CrossRef]
- Lin, K.; Li, Y.; Sun, J.; Zhou, D.; Zhang, Q. Multi-sensor fusion for body sensor network in medical human–robot interaction scenario. Inf. Fusion 2020, 57, 15–26. [Google Scholar] [CrossRef]
- Sun, J.; Gu, X.; He, J.; Yang, S.; Tu, Y. A robust approach of multi-sensor fusion for fault diagnosis using convolution neural network. J. Dyn. Monit. Diagn. 2022, 1, 103–110. [Google Scholar] [CrossRef]
- Vargas-Munoz, J.E.; Srivastava, S.; Tuia, D.; Falcao, A.X. OpenStreetMap: Challenges and opportunities in machine learning and remote sensing. IEEE Geosci. Remote Sens. Mag. 2020, 9, 184–199. [Google Scholar] [CrossRef]
- Li, J.; Qin, H.; Wang, J.; Li, J. Openstreetmap-based autonomous navigation for the four wheel-legged robot via 3d-lidar and ccd camera. IEEE Trans. Ind. Electron. 2021, 69, 2708–2717. [Google Scholar] [CrossRef]
- Mufid, M.R.; Basofi, A.; Syarif, I.; Sanjaya, F. Estimated vehicle fuel calculation based on Google map realtime distance. In Proceedings of the 2019 International Electronics Symposium, Surabaya, Indonesia, 27–28 September 2019. [Google Scholar]
- Jaber Abougarair, A.; Edardar, M.M. Adaptive traffic light dynamic control based on road traffic signal from google maps. In Proceedings of the 7th International Conference on Engineering & MIS 2021, Almaty, Kazakhstan, 11–13 October 2021. [Google Scholar]
- Mur-Artal, R.; Montiel, J.M.M.; Tardos, J.D. ORB-SLAM: A versatile and accurate monocular SLAM system. IEEE Trans. Robot. 2015, 31, 1147–1163. [Google Scholar] [CrossRef]
- Zhang, C. PL-GM: RGB-D SLAM with a novel 2D and 3D geometric constraint model of point and line features. IEEE Access 2021, 9, 9958–9971. [Google Scholar] [CrossRef]
- Zou, D.; Wu, Y.; Pei, L.; Ling, H.; Yu, W. StructVIO: Visual-inertial odometry with structural regularity of man-made environments. IEEE Trans. Robot. 2019, 35, 999–1013. [Google Scholar] [CrossRef]
- Qin, T.; Li, P.; Shen, S. Vins-mono: A robust and versatile monocular visual-inertial state estimator. IEEE Trans. Robot. 2018, 34, 1004–1020. [Google Scholar] [CrossRef]
- Xiao, Z.; Jiang, K.; Xie, S.; Wen, T.; Yu, C. Monocular vehicle self-localization method based on compact semantic map. In Proceedings of the 2018 21st International Conference on Intelligent Transportation Systems, Maui, HI, USA, 4–7 November 2018. [Google Scholar]
- Ballardini, A.L.; Fontana, S.; Cattaneo, D.; Matteucci, M.; Sorrenti, D.G. Vehicle localization using 3D building models and point cloud matching. Sensors 2021, 21, 5356. [Google Scholar] [CrossRef] [PubMed]
- Zhou, M.; Chen, X.; Samano, N.; Stachniss, C.; Calway, A. Efficient localisation using images and OpenStreetMaps. In Proceedings of the 2021 IEEE/RSJ International Conference on Intelligent Robots and Systems, Prague, Czech Republic, 27 September–1 October 2021. [Google Scholar]
- Ouerghi, S.; Boutteau, R.; Savatier, X.; Tlili, F. Visual odometry and place recognition fusion for vehicle position tracking in urban environments. Sensors 2018, 18, 939. [Google Scholar] [CrossRef] [PubMed]
- Wang, R.; Veloso, M.; Seshan, S. O-snap: Optimal snapping of odometry trajectories for route identification. In Proceedings of the 2014 IEEE International Conference on Robotics and Automation, Taipei, Taiwan, 18–22 August 2014. [Google Scholar]
- Cheng, H.M.; Chou, C.; Song, D. Vehicle-to-vehicle collaborative graph-based proprioceptive localization. IEEE Robot. Autom. Lett. 2021, 6, 990–997. [Google Scholar] [CrossRef]
- Cheng, H.M.; Song, D.; Angert, A.; Li, B.; Yi, J. Proprioceptive localization assisted by magnetoreception: A minimalist intermittent heading based approach. IEEE Robot. Autom. Lett. 2019, 4, 586–593. [Google Scholar] [CrossRef]
- Cheng, H.M.; Song, D. Graph-based proprioceptive localization using a discrete heading-length feature sequence matching approach. IEEE Trans. Robot. 2021, 37, 1268–1281. [Google Scholar] [CrossRef]
- Floros, G.; Van Der Zander, B.; Leibe, B. Openstreetslam: Global vehicle localization using openstreetmaps. In Proceedings of the 2013 IEEE International Conference on Robotics and Automation, Madison, WI, USA, 17–21 August 2013. [Google Scholar]
- Jin, Y.; Xiang, Z. Robust localization via turning point filtering with road map. In Proceedings of the 2016 IEEE Intelligent Vehicles Symposium, Gothenburg, Sweden, 19–22 June 2016. [Google Scholar]
- Gu, S.; Xiang, Z.; Zhang, Y.; Qian, Q. A multi-position joint particle filtering method for vehicle localization in urban area. In Proceedings of the 2018 IEEE/RSJ International Conference on Intelligent Robots and Systems, Madrid, Spain, 1–5 October 2018. [Google Scholar]
- Geiger, A.; Lenz, P.; Stiller, C.; Urtasun, R. Vision meets robotics: The kitti dataset. Int. J. Robot. Res. 2013, 32, 1231–1237. [Google Scholar] [CrossRef]














| Method | 00 | 02 | 05 | 08 | 09 | |||||
|---|---|---|---|---|---|---|---|---|---|---|
| A_E | M_E | A_E | M_E | A_E | M_E | A_E | M_E | A_E | M_E | |
| VO | 6.02 | 12.01 | 40.46 | 79.30 | 3.35 | 7.24 | 8.49 | 17.58 | 4.05 | 10.82 |
| Snap [42] | Failed | Failed | Failed | Failed | 4.0 | 8.6 | 4.1 | 15.8 | Failed | Failed |
| Graph-Based [45] | ~2.8 | ~7.7 | — | ~4.5 | ~8.0 | — | — | |||
| OpenStreet-SLAM [46] | ~11.5 | ~28 | ~22.3 | ~55 | — | — | — | |||
| TP-Filter [47] | — | — | 3.92 | 8.15 | 3.84 | 14.62 | — | |||
| MPJPF [48] | 3.5 | 9.2 | 7.6 | 20.4 | 3.3 | 7.4 | 3.9 | 11.1 | 4.6 | 10.6 |
| RNAP | 2.48 | 10.57 | 6.32 | 41.05 | 2.52 | 5.56 | 3.33 | 10.55 | 2.87 | 8.99 |
Disclaimer/Publisher’s Note: The statements, opinions and data contained in all publications are solely those of the individual author(s) and contributor(s) and not of MDPI and/or the editor(s). MDPI and/or the editor(s) disclaim responsibility for any injury to people or property resulting from any ideas, methods, instructions or products referred to in the content. |
© 2023 by the authors. Licensee MDPI, Basel, Switzerland. This article is an open access article distributed under the terms and conditions of the Creative Commons Attribution (CC BY) license (https://creativecommons.org/licenses/by/4.0/).
Share and Cite
Xu, S.; Sun, Y.; Zhao, K.; Fu, X.; Wang, S. Road-Network-Map-Assisted Vehicle Positioning Based on Pose Graph Optimization. Sensors 2023, 23, 7581. https://doi.org/10.3390/s23177581
Xu S, Sun Y, Zhao K, Fu X, Wang S. Road-Network-Map-Assisted Vehicle Positioning Based on Pose Graph Optimization. Sensors. 2023; 23(17):7581. https://doi.org/10.3390/s23177581
Chicago/Turabian StyleXu, Shuchen, Yongrong Sun, Kedong Zhao, Xiyu Fu, and Shuaishuai Wang. 2023. "Road-Network-Map-Assisted Vehicle Positioning Based on Pose Graph Optimization" Sensors 23, no. 17: 7581. https://doi.org/10.3390/s23177581
APA StyleXu, S., Sun, Y., Zhao, K., Fu, X., & Wang, S. (2023). Road-Network-Map-Assisted Vehicle Positioning Based on Pose Graph Optimization. Sensors, 23(17), 7581. https://doi.org/10.3390/s23177581

