Infrared HOT Photodetectors: Status and Outlook
Abstract
:1. Introduction
2. Figure of Merit for IR Detector Materials
- the absorption coefficients of HgCdTe (Eg ≈ 0.1–0.3 eV) are below 104 cm−1 and for TMDs (Eg > 1 eV) above 105 cm−1, and
- for a hypothetical TMD with an energy gap of 0.1–0.2 eV, the abortion coefficient can be expected to be below 105 cm−1.
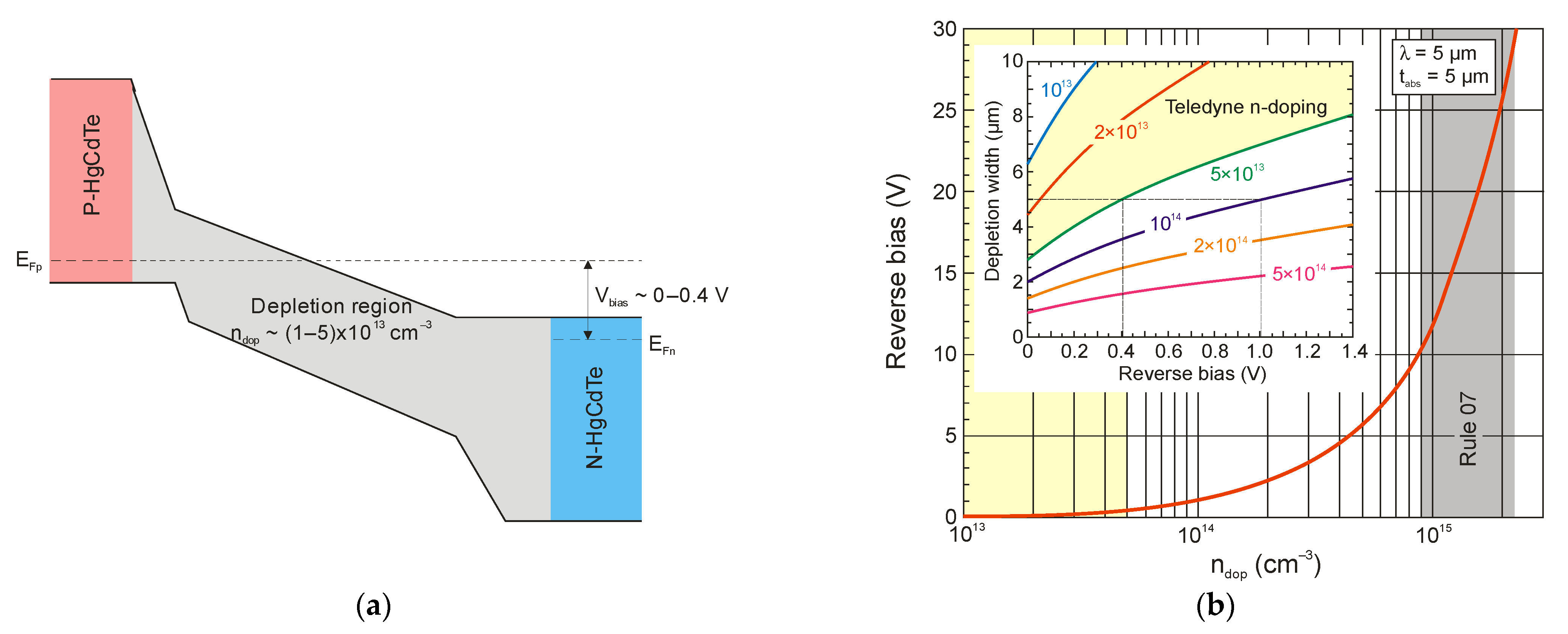
3. Ultimate HgCdTe Photodiode Performance
4. Interband Quantum Cascade Infrared Photodetectors (IB QCIPs)
5. Two-Dimensional Material Infrared Photodetectors
- the electronic states, with a typical thickness of less than 10 nm, are easily tuned by external fields (e.g., ferroelectric field, gate-induced electrostatic field and photogating localized field);
- their bandgaps, ranging from 0 eV for graphene up to 6 eV for hexagonal boron nitride (h-BN), make it possible to produce photodetectors that operate from ultraviolet (UV) up to far IR or even terahertz (THz);
- the bandgaps are closely related to the number of layers—increasing the number of layers, the band gap is reduced;
- for some TMDs, such as MoS2, MoSe2, WS2 and WSe2, monolayers are direct bandgap semiconductors, while the bulk materials are indirect bandgap semiconductors.
- they are susceptible to absorbates owing to their atomic thicknesses, defects and doping;
- they lag significantly behind the traditional infrared material technologies, including low-quality heterojunctions between the monolayers of vertically stacked TMDs;
- they do not show a distinct advantage over the conventional 3D bulk materials and, in addition, the carrier mobility varies along different crystal orientations (in consequence, the design of devices along the preferred direction is crucial for high responsivity and a short time constant);
- their performance, in the majority of cases, is dictated by the nature of layer stacking (twist, spacing, etc.) and their environment (strain, pressure, etc.);
- despite the large absorption coefficient, the atomically thin materials are not applicable for intense light, which leads to a poor linear dynamic range.
- incorrect noise estimates;
- the miscalculation of the device active area and radiation power density;
- the contradictory bandwidth of measured responsivity and noise.
6. Colloidal Quantum Dot Infrared Photodetectors
7. Conclusions
- The misinterpretation of layered photodetector performance due to incorrect noise calculations, the incorrect assessment of the device’s active area and radiation power density and the contradictory bandwidth of measured responsivity and noise.
- The current fabrication of 2D structures, which is mostly restricted to materials exfoliated from bulk crystals, with very limited yields, scalability and reproducibility. As a result, the nonuniformity in the spectral response and response times highly deteriorates FPAs’ performance.
- Further improved ligand exchange methods combined with enhanced photon collection are required to increase the CQD-based photodetectors’ performance.
- Although the performance of IB QCIPs is comparable to that of HgCdTe photodiodes, their complex structures with multiple interfaces and strained thin layers cause problems in technology development and drive up production costs.
Author Contributions
Funding
Institutional Review Board Statement
Informed Consent Statement
Data Availability Statement
Conflicts of Interest
References
- Piotrowski, J.; Rogalski, A. High-Operating-Temperature Infrared Photodetectors; SPIE Press: Bellingham, WA, USA, 2007. [Google Scholar]
- Piotrowski, J.; Rogalski, A. Comment on “Temperature limits on infrared detectivities of InAs/InxGa1–xSb superlattices and bulk Hg1–xCdxTe” [J. Appl. Phys. 1993, 74, 4774]. J. Appl. Phys. 1996, 80, 2542–2544. [Google Scholar] [CrossRef]
- Rogalski, A. Scaling infrared detectors—Status and outlook. Rep. Prog. Phys. 2022, 85, 126501. [Google Scholar]
- Chu, J.H.; Li, B.; Liu, K.; Tang, D. Empirical rule of intrinsic absorption spectroscopy in Hg1−xCdxTe. J. Appl. Phys. 1994, 75, 1234. [Google Scholar] [CrossRef]
- Vurgaftman, I.; Belenky, G.; Lin, Y.; Donetsky, D.; Shterengas, L.; Kipshidze, G.; Sarney, W.L.; Svensson, S.P. Interband absorption strength in long-wave infrared type-II superlattices with small and large superlattice periods compared to bulk materials. Appl. Phys. Lett. 2016, 108, 222101. [Google Scholar] [CrossRef]
- Klipstein, P.C.; Livneh, Y.; Glozman, A.; Grossman, S.; Klin, O.; Snapi, N.; Weiss, E. Modeling InAs/GaSb and InAs/InAsSb superlattice infrared detectors. J. Electron. Mater. 2014, 43, 2984. [Google Scholar] [CrossRef]
- Jariwala, D.; Davoyan, A.R.; Wong, J.; Atwater, H.A. Van der Waals materials for atomically-thin photovoltaics: Promise and outlook. ACS Photonics. 2017, 4, 2962–2970. [Google Scholar] [CrossRef]
- Rogalski, A. Van der Waals materials for HOT infrared detectors: A review. Opto-Electron. Rev. 2022, 30, el40551. [Google Scholar]
- Krishnamurthy, S.; Casselman, T.N. A detailed calculation of the Auger lifetime in p-type HgCdTe. J. Electron. Mater. 2000, 29, 828–831. [Google Scholar] [CrossRef]
- Kinch, M.A.; Aqariden, F.; Chandra, D.; Liao, P.-K.; Schaake, H.F.; Shih, H.D. Minority carrier lifetime in p-HgCdTe. J. Electron. Mater. 2005, 34, 880–884. [Google Scholar] [CrossRef]
- Kinch, M.A. State-of-the-Art Infrared Detector Technology; SPIE Press: Bellingham, WA, USA, 2014. [Google Scholar]
- Lee, D.; Dreiske, P.; Ellsworth, J.; Cottier, R.; Chen, A.; Tallaricao, S.; Yulius, A.; Carmody, M.; Piquetteb, E.; Zandian, M.; et al. Law 19—The ultimate photodiode performance metric. Proc. SPIE 2020, 11407, 114070X. [Google Scholar]
- Kopytko, M.; Rogalski, A. Performance evaluation of type-II superlattice devices relative to HgCdTe photodiodes. IEEE Trans. Electron. Devices 2022, 69, 2992–3002. [Google Scholar]
- Yang, J.; Xu, R.; Pei, J.; Myint, Y.W.; Wang, F.; Wang, Z.; Zhang, S.; Yu, Z.; Lu, Y. Optical tuning of exciton and trion emissions in monolayer phosphorene. Light: Sci. Appl. 2015, 4, e312. [Google Scholar]
- Vargas-Bernal, R. Graphene against Other Two-Dimensional Materials: A Comparative Study on the Basis of Photonic Applications; IntechOpen: London, UK, 2017. [Google Scholar] [CrossRef]
- Amani, M. Two-Dimensional Semiconductor Optoelectronics; Technical Report No. UCB/EECS-2021-16; University of California: Berkeley, CA, USA, 2021; Available online: http://www2.eecs.berkeley.edu/Pubs/TechRpts/2021/EECS-2021-16.pdf (accessed on 28 August 2023).
- Higgins, W.M.; Seiler, G.N.; Roy, R.G.; Lancaster, R.A. Standard relationships in the properties of Hg1–xCdxTe. J. Vac. Sci. Technol. 1989, A7, 271–275. [Google Scholar]
- Lawson, W.D.; Nielson, S.; Putley, E.H.; Young, A.S. Preparation and properties of HgTe and mixed crystals of HgTe-CdTe. J. Phys. Chem. Solids 1959, 9, 325–329. [Google Scholar]
- Tennant, W.E.; Lee, D.; Zandian, M.; Piquette, E.; Carmody, M. MBE HgCdTe technology: A very general solution to IR detection, descibrd by ‘Rule 07’, a very convenient heuristic. J. Electron. Mater. 2008, 37, 1406–1410. [Google Scholar]
- Zandian, M. Rule-22: An update to Rule-07. The 2022 U.S. Workshop on the Physics and Chemistry of II-VI Materials, 2022. J. Electron. Mater. 2023, in press. [Google Scholar]
- Gravrand, O.; Rothman, J.; Delacourt, B.; Boulard, F.; Lobre, C.; Ballet, O.H.; Santailler, J.L.; Cervera, C.; Brellier, D.; Pere-Laprene, N.; et al. Shockley–Read–Hall lifetime study and implication in HgCdTe photodiodes for IR detection. J. Electron. Mater. 2018, 47, 5680–5690. [Google Scholar]
- Hackiewicz, K.; Kopytko, M.; Gawron, W. MOCVD-grown HgCdTe photodiodes optimized for HOT conditions and a wide IR range. Sens. Actuator A Phys. 2020, 309, 112008. [Google Scholar]
- Wu, D.; Li, J.; Dehzangi, A.; Razeghi, M. Mid-wavelength infrared high operating temperature pBn photodetectors based on type-II InAs/InAsSb superlattice. AIP Adv. 2020, 10, 025018. [Google Scholar]
- Delli, E.; Letka, V.; Hodgson, P.D.; Repiso, E.; Hayton, J.P.; Craig, A.P.; Lu, Q.; Beanland, R.; Krier, A.; Marshall, A.R.J.; et al. Mid-infrared InAs/InAsSb superlattice nBn photodetector monolithically integrated onto silicon. ACS Photonics 2019, 6, 538–544. [Google Scholar]
- Pusz, W.; Kowalewski, A.; Martyniuk, P.; Gawron, W.; Plis, E.; Krishna, S.; Rogalski, A. Mid-wavelength infrared type-II InAs/GaSb superlattice interband cascade photodetectors. Opt. Eng. 2014, 53, 043107. [Google Scholar]
- Gawron, W.; Kubiszyn, Ł.; Michalczewski, K.; Manyk, T.; Piotrowski, J.; Martyniuk, P. The performance of the ICIP Ga-free superlattice longwave infrared photodetector for high operating temperature. Infrared Phys. Technol. 2023, 128, 104499. [Google Scholar]
- Amani, M.; Regan, E.; Bullock, J.; Ahn, G.H.; Javey, A. Mid-wave infrared photoconductors based on black phosphorus-arsenic alloys. ACS Nano 2017, 11, 11724–11731. [Google Scholar] [PubMed]
- Lukman, S.; Ding, L.; Xu, L.; Tao, Y.; Riis-Jensen, A.C.; Zhang, G.; Wu, Q.Y.S.; Yang, M.; Luo, S.; Hsu, C.; et al. High oscillator strength interlayer excitons in two-dimensional heterostructures for mid-infrared photodetection. Nat. Nanotechnol. 2020, 15, 675–682. [Google Scholar] [PubMed]
- Long, M.; Wang, Y.; Wang, P.; Zhou, X.; Xia, H.; Luo, C.; Huang, S.; Zhang, G.; Yan, H.; Fan, Z.; et al. Palladium diselenide long-wavelength infrared photodetector with high sensitivity and stability. ACS Nano 2019, 13, 2511–2519. [Google Scholar]
- Zeng, L.; Wu, D.; Jie, J.; Ren, X.; Hu, X.; Lau, S.; Chai, Y.; Tsang, Y.H. Van der Waals epitaxial growth of mosaic-like 2D platinum ditelluride layers for room-temperature mod-infrared photodetection up to 10.6 µm. Adv. Mater. 2020, 32, 2004412. [Google Scholar]
- Xue, X.; Chen, M.; Luo, Y.; Qin, T.; Tang, X.; Hao, Q. High-operating-temperature mid-infrared photodetectors via quantum dot gradient homojunction. Light Sci. Appl. 2023, 12, 2. [Google Scholar]
- Long, M.; Gao, A.; Wang, P.; Xia, H.; Ott, C.; Pan, C.; Fu, Y.; Liu, E.; Chen, X.; Lu, W.; et al. Room temperature high-detectivity mid-infrared photodetectors based on black arsenic phosphorus. Sci. Adv. 2017, 3, e1700589. [Google Scholar]
- Du, S.; Lu, W.; Ali, A.; Zhao, P.; Shehzad, K.; Guo, H.; Ma, L.; Liu, X.; Pi, X.; Wang, P.; et al. A broadband fluorographene photodetector. Adv. Mater. 2017, 29, 1700463. [Google Scholar]
- Chen, Y.; Wang, Y.; Wang, Z.; Gu, Y.; Ye, Y.; Chai, X.; Ye, J.; Chen, Y.; Xie, R.; Zhou, Y.; et al. Unipolar barrier photodetectors based on van der Waals heterostructures. Nat. Electron. 2021, 4, 357–363. [Google Scholar]
- Ni, Z.; Ma, L.; Du, S.; Xu, Y.; Yuan, M.; Fang, H.; Wang, Z.; Xu, M.; Li, D.; Yang, J.; et al. Plasmonic silicon quantum dots enabled high-sensitivity ultrabroadband photodetection of graphene-based hybrid phototransistors. ACS Nano 2017, 11, 9854–9862. [Google Scholar] [CrossRef] [PubMed]
- Wang, S.; Liu, H.; Cao, Z.; Wang, X.; Zhang, L.; Ding, J.; Xue, Y.; Han, T.; Li, F.; Shan, L.; et al. Highly sensitive long-wave infrared photodetector based on two-dimensional hematite α-Fe2O3. Adv. Optical Mater. 2023, 2300382. [Google Scholar] [CrossRef]
- Tian, P.; Wu, H.; Tang, L.; Xiang, J.; Ji, R.; Lau, S.P.; Te, K.S.; Guo, W.; Yao, Y.; Lig, L.-J. Ultrasensitive broadband photodetectors based on two-dimensional Bi2O2Te films. J. Mater. Chem. 2021, C9, 13713–13721. [Google Scholar] [CrossRef]
- Ye, L.; Wang, P.; Luo, W.; Gong, F.; Liao, L.; Liu, T.; Tong, L.; Zang, J.; Xu, J.; Hu, W. Highly polarization sensitive infrared photodetector based on black phosphorus-on-WSe2 photogate vertical heterostructure. Nano Energy 2017, 37, 53–60. [Google Scholar] [CrossRef]
- Lukman, S.; Ding, L.; Xu, L.; Tao, Y.; Riis-Jensen, A.C.; Zhang, G.; Wu, Q.Y.S.; Yang, M.; Luo, S.; Hsu, C.; et al. Reply to: Detectivities of WS2/HfS2 heterojunctions. Nat. Nano. 2022, 17, 220–221. [Google Scholar] [CrossRef]
- Available online: https://vigo.com.pl/wp-content/uploads/2017/06/VIGO-Catalogue.pdf (accessed on 28 August 2023).
- HOT MCT Detectors. Available online: http://www.teledynejudson.com/ (accessed on 28 August 2023).
- Rogalski, A.; Kopytko, M.; Martyniuk, P.; Hu, W. Trends in performance limits of the HOT infrared photodetectors. Appl. Sci. 2021, 11, 501. [Google Scholar] [CrossRef]
- Yu, X.; Yu, P.; Wu, D.; Singh, B.; Zeng, Q.; Lin, H.; Zhou, W.; Lin, J.; Suenaga, K.; Liu, Z.; et al. Atomically thin noble metal dichalcogenide: A broadband mid-infrared semiconductor. Nature Commun. 2018, 9, 1545. [Google Scholar] [CrossRef]
- Konstantatos, G. Current status and technological prospect of photodetectors based on two-dimensional materials. Nature Commun. 2018, 9, 5266. [Google Scholar] [CrossRef]
- Konstantatos, G.; Sargent, E.H. Solution-processed quantum dot photodetectors. Proc. IEEE 2009, 97, 1666–1683. [Google Scholar] [CrossRef]
- Konstantatos, G.; Badioli, M.; Gaudreau, L.; Osmond, J.; Bernechea, M.; Garcia de Arquer, F.P.; Gatti, F.; Koppens, F.H.L. Hybrid graphene-quantum dot phototransistors with ultrahigh gain. Nat. Nanotechnol. 2012, 7, 363–368. [Google Scholar] [CrossRef]
- Martyniuk, P.; Rogalski, A.; Krishna, S. Interband quantum cascade infrared photodetectors: Current status and future trends. Phys. Rev. Appl. 2022, 17, 027001. [Google Scholar] [CrossRef]
- Huang, W.; Rassela, S.M.S.; Li, L.; Massengale, J.A.; Yang, R.Q.; Mishima, T.D.; Santos, M.B. A unified figure of merit for interband and intersubband cascade devices. Infrared Phys. Technol. 2019, 96, 298. [Google Scholar] [CrossRef]
- Tian, Z.-B.; Godoy, S.E.; Kim, H.S.; Schuler-Sandy, T.; Montoya, J.A.; Krishna, S. High operating temperature interband cascade focal plane arrays. Appl. Phys. Lett. 2014, 105, 051109. [Google Scholar] [CrossRef]
- Lee, D.; Dreiske, P.; Ellsworth, J.; Cottier, R.; Chen, A.; Tallarico, S.; Yulius, A.; Carmody, M.; Piquette, E.; Zandian, M.; et al. Law 19—The ultimate photodiode performance metric. In Proceedings of the Extended Abstracts, The 2019 U.S. Workshop on the Physics and Chemistry of II-VI Materials, Chicago, IL, USA, 18–21 November 2019; pp. 13–15. [Google Scholar]
- Rhiger, D.R. Performance comparison of long-wavelength infrared type II superlattice devices with HgCdTe. J. Elect. Mater. 2011, 40, 1815–1822. [Google Scholar] [CrossRef]
- Klipstein, P.C.; Avnon, E.; Azulai, D.; Benny, Y.; Fraenkel, R.; Glozman, A.; Hojman, E.; Klin, O.; Krasovitsky, L.; Langof, L.; et al. Type II superlattice technology for LWIR detectors. Proc. SPIE 2016, 9819, 98190T. [Google Scholar]
- Rogalski, A. Infrared Detectors, 2nd ed.; CRC Press: Boca Raton, FL, USA, 2019. [Google Scholar]
- Steckel, J.S.; Josse, E.; Pattantyus-Abraham, A.G.; Bidaud, M.; Mortini, B.; Bilgen, H.; Arnaud, O.; Allegret-Maret, S.; Saguin, F.; Mazet, L.; et al. 1.62 μm global shutter quantum dot image sensor optimized for near and shortwave infrared. In Proceedings of the 2021 IEEE International Electron Devices Meeting (IEDM), San Francisco, CA, USA, 11–16 December 2021; pp. 23–24. [Google Scholar]
- Pejovic, V.; Lee, J.; Georgitzikis, E.; Li, Y.; Kim, J.H.; Lieberman, I.; Malinowski, P.E.; Heremans, P.D. CheynsThin-film photodetector optimization for high-performance short-wavelength infrared imaging. IEEE Electron. Device Lett. 2021, 42, 1196–1199. [Google Scholar] [CrossRef]
- Luo, Y.; Tan, Y.; Bi, C.; Zhang, S.; Xue, X.; Chen, M.; Hao, Q.; Liu, Y.; Tang, X. Megapixel large-format colloidal quantum-dot infrared imagers with resonant-cavity enhanced photoresponse. APL Photonics 2023, 8, 056109. [Google Scholar] [CrossRef]
- Bianconi, S.; Lauhon, L.J.; Mohseni, H. Exaggerated sensitivity in photodetectors with internal gain. Nat. Photonics 2012, 15, 714. [Google Scholar] [CrossRef]
- Rogalski, A. Detectivities of WS2/HfS2 heterojunctions. Nat. Nanotechnol. 2022, 17, 217–219. [Google Scholar] [CrossRef]
- Rogalski, A. Overestimating the performance of photon ultraviolet detectors. IEEE Electron. Device Lett. 2023, 44, 805–808. [Google Scholar] [CrossRef]
- Wang, F.; Zhang, T.; Xie, R.; Wang, Z.; Hu, W. How to characterize figures of merit two-dimensional photodetectors. Nat. Commun. 2023, 14, 2224. [Google Scholar] [CrossRef] [PubMed]
- Long, M.; Wang, P.; Fang, H.; Hy, W. Progress, challenges, and opportunities for 2D material based photodetectors. Adv. Funct. Mater. 2018, 29, 18003807. [Google Scholar] [CrossRef]
- Fang, H.; Hu, W. Photogating in low dimensional photodetectors. Adv. Sci. 2017, 4, 170323. [Google Scholar] [CrossRef] [PubMed]
- Zhang, Y.; Hellebusch, D.J.; Bronstein, N.D.; Ko Ogletree, C.D.F.; Salmeron, M.; Alivisatos, A.P. Ultrasensitive photodetectors exploiting electrostatic trapping and percolation transport. Nat. Commun. 2016, 7, 11924. [Google Scholar] [CrossRef]
- Luo, P.; Zhuge, F.; Wang, F.; Lian, L.; Liu, K.; Zhang, J.; Zhai, T. PbSe quantum dots sensitized high-mobility Bi2O2Se nanosheets for high-performance and broadband photodetection beyond 2 μm. ACS Nano 2019, 13, 9028–9037. [Google Scholar] [CrossRef] [PubMed]
- Kim, J.; Park, S.; Jang, H.; Koirala, N.; Lee, J.-B.; Kim, U.J.; Lee, H.-S.; Roh, Y.-G.; Lee, H.; Sim, S.; et al. Highly sensitive, gate-tunable, room-temperature mid-infrared photodetection based on graphene-Bi2Se3 heterostructure. ACS Photonics 2017, 4, 482–488. [Google Scholar] [CrossRef]
- Huo, N.; Gupta, S.; Konstantatos, G. MoS2-HgTe quantum dot hybrid photodetectors beyond 2 μm. Adv. Mater. 2017, 29, 1606576. [Google Scholar] [CrossRef]
- Yu, X.; Li, Y.; Hu, X.; Zhang, D.; Tao, Y.; Liu, Z.; He, Y.; Haque, M.A.; Liu, Z.; Wu, T.; et al. Narrow bandgap oxide nanoparticles coupled with graphene for high performance mid-infrared photodetection. Nat. Commun. 2018, 9, 4299. [Google Scholar] [CrossRef]
- Kwak, D.H.; Lim, D.H.; Ra, H.S.; Ramasamy, P.; Lee, J.S. High performance hybrid graphene-CsPbBr3-xIx perovskite nano-crystal photodetector. RSC Adv. 2016, 6, 65252–65256. [Google Scholar] [CrossRef]
- Rogalski, A. Infrared and Terahertz Detectors, 3rd ed.; CRC Press: Boca Raton, FL, USA, 2019. [Google Scholar]
- Kufer, D.; Nikitskiy, I.; Lasanta, T.; Navickaite, G.; Koppens, F.H.L.; Konstantatos, G. Hybrid 2D–0D MoS2–PbS quantum dot photodetectors. Adv. Mater. 2015, 27, 176. [Google Scholar] [CrossRef]
- Mudd, G.W.; Svatek, S.A.; Hague, L.; Makarovsky, O.; Kudrynskyi, Z.R.; Mellor, C.J.; Beton, P.H.; Eaves, L.; Novoselov, K.S.; Kovalyuk, Z.D.; et al. Broad-band photoresponsivity of mechanically formed InSe–Graphene van der Waals heterostructures. Adv. Mater. 2015, 27, 3760. [Google Scholar] [CrossRef] [PubMed]
- Wang, Z.; Wang, P.; Wang, F.; Ye, J.; He, T.; Wu, F.; Peng, M.; Wu, P.; Chen, Y.; Zhong, F.; et al. A noble metal dichalcogenide for high-performance field-effect transistors and broadband photodetectors. Adv. Funct. Mater. 2020, 30, 1907945. [Google Scholar] [CrossRef]
- Tong, L.; Huang, X.; Wang, P.; Ye, L.; Peng, M.; An, L.; Sun, Q.; Zhang, Y.; Yang, G.; Li, Z.; et al. Stable mid-infrared polarization imaging based on quasi-2D tellurium at room temperature. Nat. Commun. 2020, 11, 2308. [Google Scholar] [CrossRef] [PubMed]
- Huang, L.; Dong, B.; Guo, X.; Chang, Y.; Chen, N.; Huang, X.; Liao, W.; Zhu, C.; Wang, H.; Lee, C.; et al. Waveguide-integrated black phosphorus photodetector for mid-infrared applications. ACS Nano 2019, 13, 913. [Google Scholar] [CrossRef]
- Zhao, M.; Xia, W.; Wang, Y.; Luo, M.; Tian, Z.; Guo, Y.; Hu, W.; Xue, J. Nb2SiTe4: A stable narrow-gap two-dimensional material with ambipolar transport and mid-infrared response. ACS Nano 2019, 13, 10705. [Google Scholar] [CrossRef]
- Wu, D.; Guo, J.; Du, J.; Xia, C.; Zeng, L.; Tian, Y.; Shi, Z.; Tian, Y.; Li, X.J.; Tsang, Y.H.; et al. Highly polarization-sensitive, broadband, self-powered photodetector based on Graphene/PdSe2/Germanium heterojunction. ACS Nano 2019, 13, 9907. [Google Scholar] [CrossRef]
- Bullock, J.; Amani, M.; Cho, J.; Chen, Y.-Z.; Ahn, G.H.; Adinolfi, V.; Shrestha, V.R.; Gao, Y.; Crozier, K.B.; Chueh, Y.-L.; et al. Polarization-resolved black phosphorus/molybdenum disulfide mid-wave infrared photodiodes with high detectivity at room temperature. Nat. Photonics 2018, 12, 601. [Google Scholar] [CrossRef]
- Lai, J.; Liu, Y.; Ma, J.; Zhuo, X.; Peng, Y.; Lu, W.; Liu, Z.; Chen, J.; Sun, D. Broadband anisotropic photoresponse of the “Hydrogen Atom” version Type-II Weyl semimetal candidate TaIrTe4. ACS Nano 2018, 12, 4055. [Google Scholar] [CrossRef]
- Lai, J.; Liu, X.; Ma, J.; Wang, Q.; Zhang, K.; Ren, X.; Liu, Y.; Gu, Q.; Zhuo, X.; Lu, W.; et al. Anisotropic broadband photoresponse of layered type-II Weyl semimetal MoTe2. Adv. Mater. 2018, 30, 1707152. [Google Scholar] [CrossRef]
- Ahn, S.; Chung, H.; Chen, W.; Moreno-Gonzalez, M.A.; Vazquez-Mena, O. Optoelectronic response of hybrid PbS-QD/graphene photodetectors. J. Chem. Phys. 2019, 151, 234705. [Google Scholar] [CrossRef]
- Phillips, J. Evaluation of the fundamental properties of quantum dot infrared detectors. J. Appl. Phys. 2002, 91, 4590–4594. [Google Scholar] [CrossRef]
- Konstantatos, G.; Howard, I.; Fischer, A.; Hoogland, S.; Clifford, J.; Klem, E.; Levina, L.; Sargent, E.H. Ultrasensitive solution-cast quantum dot photodetectors. Nature 2006, 442, 180–183. [Google Scholar] [CrossRef] [PubMed]
- Tang, X.; Ackerman, M.M.; Chen, M.; Guyot-Sionnest, P. Dual-band infrared imaging using stacked colloidal quantum dot photodiodes. Nat. Photonics 2019, 13, 277–282. [Google Scholar] [CrossRef]
- Lhuillier, E. Optoelectronics of Confined Semiconductors: The Case of Colloidal Nanocrystals and Their Application to Photodetection. Available online: https://arxiv.org/ftp/arxiv/papers/1706/1706.02837.pdf (accessed on 28 August 2023).
- Ackerman, M.M.; Chen, M.; Guyot-Sionnest, P. HgTe colloidal quantum dot photodiodes for extended short-wave infrared detection. Appl. Phys. Lett. 2020, 116, 083502. [Google Scholar] [CrossRef]
- Tang, X.; Ackerman, M.M.; Shen, G.; Guyot-Sionnest, P. Towards infrared electronic eyes: Flexible colloidal quantum dot photovoltaic detectors enhanced by resonant cavity. Small 2019, 15, 1804920. [Google Scholar] [CrossRef]
- Tang, X.; Ackerman, M.M.; Guyot-Sionnest, P. Acquisition of hyperspectral data with colloidal quantum dots. Laser Photonics Rev. 2019, 13, 1900165. [Google Scholar] [CrossRef]
- Vafaie, M.; Fan, J.Z.; Najarian, A.M.; Ouellette, O.; Sagar, L.K.; Bertens, K.; Sun, B.; Garcia de Arquer, F.P.; Sargent, E.H. Colloidal quantum dot photodetectors with 10-ns response time and 80% quantum efficiency at 1550 nm. Matter 2021, 4, 1042–1053. [Google Scholar] [CrossRef]
- Chen, M.; Xue, X.; Qin, T.; Wen, C.; Hao, Q.; Tang, X. Universal homojunction design for colloidal quantum dot infrared photodetectors. Adv. Mater. Technol. 2023, 8, 2300315. [Google Scholar] [CrossRef]
- Wu, H.; Ning, Z. Tutorial: Lead sulphide colloidal quantum dot infrared photodetector. J. Appl. Phys. 2023, 133, 041101. [Google Scholar] [CrossRef]
- Song, H.; Tischenko, Y.; Wasserman, D.; Jeong, K.S. Quantum dot materials for mid-IR photodetection: Opinion. Opt. Mater. Express 2023, 15, 1328–1334. [Google Scholar] [CrossRef]
- Pejovic, V.; Georgitzikis, E.; Lee, J.; Lieberman, I.; Cheyns, D.; Heremans, P.; Malinowski, P.E. Infrared colloidal quantum dot image sensors. IEEE Trans. Electron. Devices 2022, 69, 2840–2850. [Google Scholar] [CrossRef]
- Malinowski, P.E.; Georgitzikis, E.; Maes, J.; Vamvaka, I.; Frazzica, F.; Van Olmen, J.; De Moor, P.; Heremans, P.; Hens, Z.; Cheyns, D. Thin-film quantum dot photodiode for monolithic infrared image sensors. Sensors 2017, 17, 2867. [Google Scholar] [CrossRef] [PubMed]
- Klem, E.J.D.; Gregory Temple, D.; Lewis, J. PbS colloidal quantum dot photodiodes for low-cost SWIR sensing. Proc. SPIE 2015, 9451, 945104. [Google Scholar]
- Guyot-Sionnest, P.; Roberts, J.A. Background limited mid-infrared photodetection with photovoltaic HgTe colloidal quantum dots. Appl. Phys. Lett. 2015, 107, 091115. [Google Scholar] [CrossRef]
- Tang, X.; Ackerman, M.M.; Guyot-Sionnest, P. Thermal imaging with plasmon resonance enhanced HgTe colloidal quantum dot photovoltaic devices. ACS Nano 2018, 12, 7362–7370. [Google Scholar] [CrossRef]
- Chen, M.; Lu, H.; Abdelazim, N.M.; Zhu, Y.; Wang, Z.; Ren, W.; Kershaw, S.V.; Rogach, A.L.; Zhao, N. Mercury telluride quantum dot based phototransistor enabling high-sensitivity room-temperature photodetection at 2000 nm. ACS Nano 2017, 11, 5614–5622. [Google Scholar] [CrossRef]
- SWIR Vision Systems. Acuros CQD 1920/1920L GigE SWIR Camera. Available online: https://www.swirvisionsystems.com/wp-content/uploads/Acuros-CQD-1920L-GigE-SWIR-Camera_003.pdf (accessed on 28 August 2023).
- Han, A.; Han, E.; Han Hv, E. Directive 2011/65/EU of The European Parliament and of the Council of 8 June 2011 on the restriction of the use of certain hazardous substances in electrical and electronic equipment. Off. J. Eur. Union 2011, L 174, 88–110. [Google Scholar]
- Jerram, P.; Beletic, J. Teledyne’s high performance infrared detectors for space missions. Proc. SPIE 2018, 11180, 111803D-2. [Google Scholar]
- Đorđevic, N.; Schwanninger, R.; Yarema, M.; Koepfli, S.; Yarema, O.; Salamin, Y.; Lassaline, N.; Cheng, B.; Yazdani, N.; Dorodnyy, A.; et al. Metasurface colloidal quantum dot photodetectors. ACS Photonics 2022, 9, 482–492. [Google Scholar] [CrossRef]
- Chen, Z.; Weng, Y.; Liu, J.; Guo, N.; Yu, Y.; Xiao, L. Dual-band perfect absorber for a mid-infrared photodetector based on a dielectric metal metasurface. Photonics Res. 2021, 9, 27–33. [Google Scholar] [CrossRef]






















| Material System | Material Parameters | [(s/cm)1/2] | |||||
|---|---|---|---|---|---|---|---|
| Doping Concentration | Absorption Coefficient | Carrier Lifetime | MWIR | LWIR | |||
| MWIR | LWIR | MWIR | LWIR | ||||
| HgCdTe | 5 × 1013 cm−3 | 3.2 × 103 cm−1 | 2.2 × 103 cm−1 | 10 ms | 0.5 ms | 5.66 | 1.05 |
| InAs/GaSb SLs | 5 × 1014 cm−3 | 2.4 × 103 cm−1 | 1.6 × 103 cm−1 | 20 ns | 10 ns | 6.9 × 10−3 | 4.0 × 10−3 |
| InAs/InAsSb SLs | 5 × 1014 cm−3 | 1.2 × 103 cm−1 | 8.0 × 102 cm−1 | 25 μs | 5 μs | 1.7 × 10−1 | 6.3 × 10−2 |
| Pros | Cons |
|---|---|
|
|
| Parameter | PbS CQD | HgTe CQD | ||
|---|---|---|---|---|
| IMEC Ref. [55] | SWIR V.S. Ref. [98] | STM Ref. [54] | Beijing Inst. Tech. Ref. [56] | |
| Resolution | 768 × 512 | 1920 × 1080 | 0.9 MPx | 1280 × 1024 |
| Pixel pitch (μm) | 5 | 15 | 1.62 | 15 |
| λpeak (nm) | 1450 | 1470 | 1400 | 2 |
| External QE (%) | 40 | 15 | 60 | 14 |
| Dark current (μA/cm2) | 3.3@RT | NA | 0.25@60 °C | ≈6@RT |
| Dynamic range | 82 | 70 | 54.4 | NA |
Disclaimer/Publisher’s Note: The statements, opinions and data contained in all publications are solely those of the individual author(s) and contributor(s) and not of MDPI and/or the editor(s). MDPI and/or the editor(s) disclaim responsibility for any injury to people or property resulting from any ideas, methods, instructions or products referred to in the content. |
© 2023 by the authors. Licensee MDPI, Basel, Switzerland. This article is an open access article distributed under the terms and conditions of the Creative Commons Attribution (CC BY) license (https://creativecommons.org/licenses/by/4.0/).
Share and Cite
Rogalski, A.; Kopytko, M.; Hu, W.; Martyniuk, P. Infrared HOT Photodetectors: Status and Outlook. Sensors 2023, 23, 7564. https://doi.org/10.3390/s23177564
Rogalski A, Kopytko M, Hu W, Martyniuk P. Infrared HOT Photodetectors: Status and Outlook. Sensors. 2023; 23(17):7564. https://doi.org/10.3390/s23177564
Chicago/Turabian StyleRogalski, Antoni, Małgorzata Kopytko, Weida Hu, and Piotr Martyniuk. 2023. "Infrared HOT Photodetectors: Status and Outlook" Sensors 23, no. 17: 7564. https://doi.org/10.3390/s23177564
APA StyleRogalski, A., Kopytko, M., Hu, W., & Martyniuk, P. (2023). Infrared HOT Photodetectors: Status and Outlook. Sensors, 23(17), 7564. https://doi.org/10.3390/s23177564

