Dense Convolutional Neural Network for Identification of Raman Spectra
Abstract
:1. Introduction
2. Methods
2.1. Database
2.2. Dense Network Model
2.3. Training
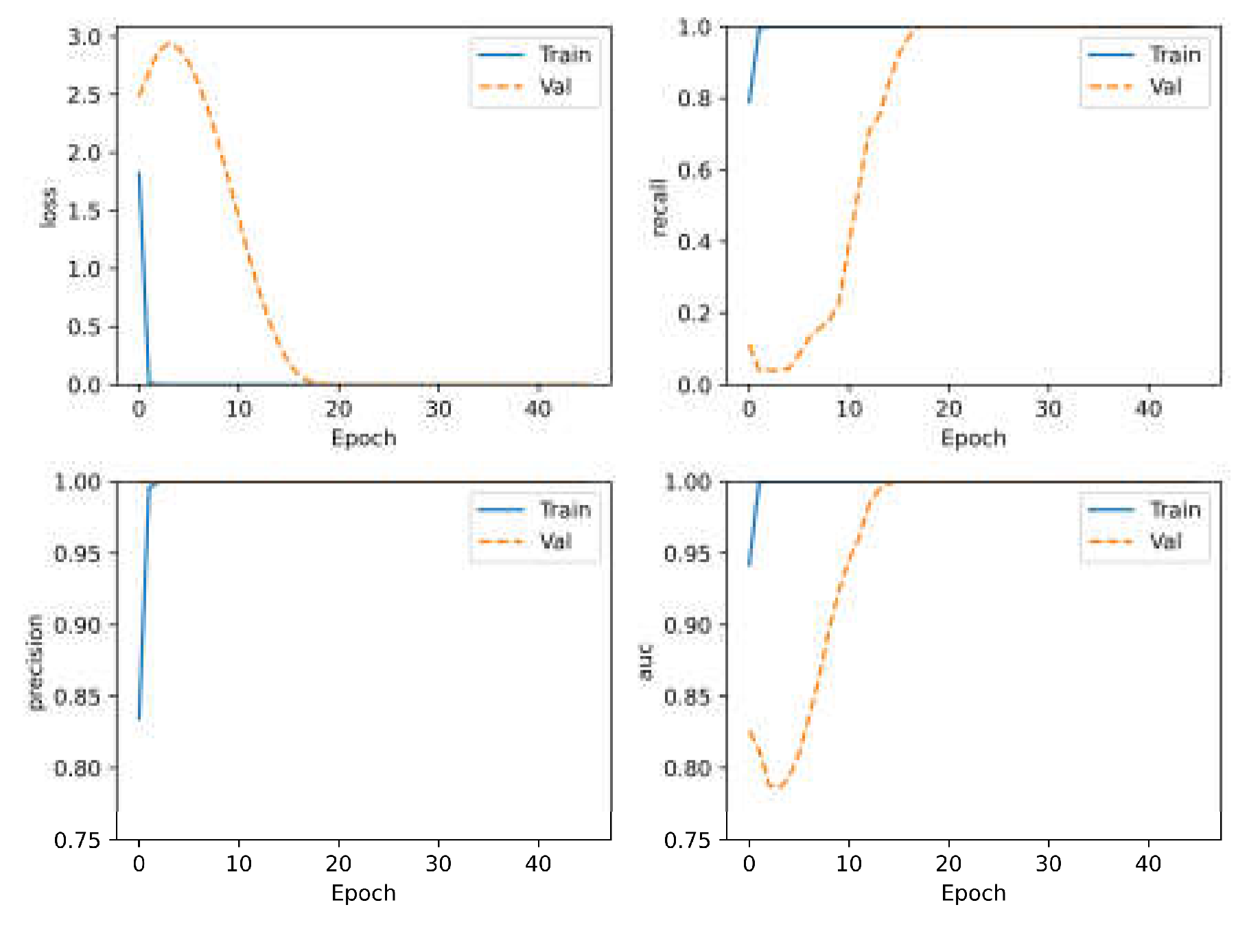
3. Results and Discussion
4. Conclusions
Author Contributions
Funding
Data Availability Statement
Conflicts of Interest
References
- Zhou, W.; Tang, Y.; Qian, Z.; Wang, J.; Guo, H. Deeply-recursive convolutional neural network for Raman spectra identification. RSC Adv. 2022, 12, 5053–5061. [Google Scholar] [CrossRef] [PubMed]
- Liu, J.; Osadchy, M.; Ashton, L.; Foster, M.; Solomon, C.J.; Gibson, S.J. Deep convolutional neural networks for Raman spectrum recognition: A unified solution. Analyst 2017, 142, 4067–4074. [Google Scholar] [CrossRef] [PubMed]
- Huang, S.; Wang, P.; Tian, Y.; Bai, P.; Chen, D.; Wang, C.; Chen, J.; Liu, Z.; Zheng, J.; Yao, W.; et al. Blood species identification based on deep learning analysis of Raman spectra. Biomed. Opt. Express 2019, 10, 6129–6144. [Google Scholar] [CrossRef]
- Zhang, R.; Xie, H.; Cai, S.; Hu, Y.; Liu, G.K.; Hong, W.; Tian, Z.Q. Transfer-learning-based Raman spectra identification. J. Raman Spectrosc. 2020, 51, 176–186. [Google Scholar] [CrossRef]
- Fan, X.; Ming, W.; Zeng, H.; Zhang, Z.; Lu, H. Deep learning-based component identification for the Raman spectra of mixtures. Anal. 2019, 144, 1789–1798. [Google Scholar] [CrossRef]
- Lyu, R.; He, H.; Wang, X.; He, W.; Wang, S.; Yang, L.; Kong, W. The development of a joint neural network to the Raman spectroscopy identification of stamp-pad ink brands and aging. J. Raman Spectrosc. 2022, 53, 1996–2008. [Google Scholar] [CrossRef]
- Wu, X.; Gao, S.; Niu, Y.; Zhao, Z.; Ma, R.; Xu, B.; Liu, H.; Zhang, Y. Quantitative analysis of blended corn-olive oil based on Raman spectroscopy and one-dimensional convolutional neural network. Food Chem. 2022, 385, 132655. [Google Scholar] [CrossRef]
- Lu, H.; Tian, S.; Yu, L.; Lv, X.; Chen, S. Diagnosis of hepatitis B based on Raman spectroscopy combined with a multiscale convolutional neural network. Vib. Spectrosc. 2020, 107, 103038. [Google Scholar] [CrossRef]
- Zhou, B.; Tong, Y.-K.; Zhang, R.; Ye, A. RamanNet: A lightweight convolutional neural network for bacterial identification based on Raman spectra. RSC Adv. 2022, 12, 26463–26469. [Google Scholar] [CrossRef]
- Yu, M.; Yan, H.; Xia, J.; Zhu, L.; Zhang, T.; Zhu, Z.; Lou, X.; Sun, G.; Dong, M. Deep convolutional neural networks for tongue squamous cell carcinoma classification using Ra-man spectroscopy. Photodiagnosis Photodyn. Ther. 2019, 26, 430–435. [Google Scholar] [CrossRef]
- Lee, W.; Lenferink, A.T.; Otto, C.; Offerhaus, H.L. Classifying Raman spectra of extracellular vesicles based on convolutional neural networks for prostate cancer detection. J. Raman Spectrosc. 2019, 51, 293–300. [Google Scholar] [CrossRef]
- Qian, H.; Shao, X.; Zhang, H.; Wang, Y.; Liu, S.; Pan, J.; Xue, W. Diagnosis of urogenital cancer combining deep learning algorithms and surface-enhanced Raman spectroscopy based on small extracellular vesicles. Spectrochim. Acta Part A Mol. Biomol. Spectrosc. 2022, 281, 121603. [Google Scholar] [CrossRef] [PubMed]
- Sun, J.; Xu, X.; Feng, S.; Zhang, H.; Xu, L.; Jiang, H.; Sun, B.; Meng, Y.; Chen, W. Rapid identification of salmonella serovars by using Raman spectroscopy and machine learning algorithm. Talanta 2023, 253, 123807. [Google Scholar] [CrossRef] [PubMed]
- Li, J.Q.; Dukes, P.V.; Lee, W.; Sarkis, M.; Vo-Dinh, T. Machine learning using convolutional neural networks for SERS analysis of biomarkers in medical diagnostics. J. Raman Spectrosc. 2022, 53, 2044–2057. [Google Scholar] [CrossRef]
- Li, Z.; Li, Z.; Chen, Q.; Zhang, J.; Dunham, M.E.; McWhorter, A.J.; Feng, J.M.; Li, Y.; Yao, S.; Xu, J. Machine-learning-assisted spontaneous Raman spectroscopy classification and feature extraction for the diagnosis of human laryngeal cancer. Comput. Biol. Med. 2022, 146, 105617. [Google Scholar] [CrossRef] [PubMed]
- Liu, W.; Tang, J.W.; Lyu, J.W.; Wang, J.J.; Pan, Y.C.; Shi, X.Y.; Liu, Q.H.; Zhang, X.; Gu, B.; Wang, L. Discrimination between carbapenem-resistant and carbapenem-sensitive Klebsiella pneu-moniae strains through computational analysis of surface-enhanced raman spectra: A pilot study. Microbiol. Spectr. 2022, 10, e02409-21. [Google Scholar] [CrossRef]
- Zhang, J.; Zhang, J.; Ding, J.; Lin, Q.; Young, G.M.; Jiang, C. Rapid identification of live and dead Salmonella by surface-enhanced Raman spectroscopy combined with convolutional neural network. Vib. Spectrosc. 2022, 118, 103332. [Google Scholar] [CrossRef]
- Sang, X.; Zhou, R.-G.; Li, Y.; Xiong, S. One-Dimensional Deep Convolutional Neural Network for Mineral Classification from Raman Spectroscopy. Neural Process. Lett. 2021, 54, 677–690. [Google Scholar] [CrossRef]
- Krizhevsky, A.; Sutskever, I.; Hinton, G.E. Imagenet classification with deep convolutional neural networks. Adv. Neural Inf. Process. Syst. 2012, 25, 1097–1175. [Google Scholar] [CrossRef]
- Goodfellow, I.; Bengio, Y.; Courville, A. Deep Learning; MIT Press: Cambridge, MA, USA, 2016. [Google Scholar]
- Shore, J.; Johnson, R. Axiomatic derivation of the principle of maximum entropy and the principle of minimum cross-entropy. IEEE Trans. Inf. Theory 1980, 26, 26–37. [Google Scholar] [CrossRef]
- Kingma, D.P.; Ba, J. Adam: A method for stochastic optimization. arXiv 2014, arXiv:1412.6980. [Google Scholar]








| Part | Layers | Type | Output Shape | Parameters |
|---|---|---|---|---|
| Input | Input | (Batch, 2068, 1) | - | |
| Embedding | L1 | Conv1D | (Batch, 2068, 16) | (16, 5, 1) |
| Max_pooling1d | (Batch, 2068, 16) | (2, 2) | ||
| L2 | Conv1D | (Batch, 1034, 32) | (32, 5, 1) | |
| Max_pooling1d | (Batch, 1034, 32) | (2, 2) | ||
| L3 | Conv1D | (Batch, 517, 64) | (64, 5, 1) | |
| Max_pooling1d | (Batch, 517, 64) | (2, 2) | ||
| Dense blocks | Block 1 | Conv1D | (Batch, 258, 64) | (64, 3, 1) |
| Normalization | (Batch, 258, 64) | 256 | ||
| Block 2 | Conv1D | (Batch, 258, 128) | (128, 3, 1) | |
| Normalization | (Batch, 258, 128) | 512 | ||
| Block 3 | Conv1D | (Batch, 258, 256) | (256, 3, 1) | |
| Normalization | (Batch, 258, 256) | 1024 | ||
| Block 4 | Conv1D | (Batch, 258, 512) | (512, 3, 1) | |
| Normalization | (Batch, 258, 512) | 2048 | ||
| Max_pooling1d | (Batch, 129, 512) | (2,2) | ||
| Exportation | Lout | Flatten | (Batch, 66,048) | - |
| Ld1 | Dense | (Batch, 1024) | (1024) | |
| Ld2 | Dense | (Batch, 1024) | (1024) | |
| Output | Dense | (Batch, #classes) | (#classes) |
Disclaimer/Publisher’s Note: The statements, opinions and data contained in all publications are solely those of the individual author(s) and contributor(s) and not of MDPI and/or the editor(s). MDPI and/or the editor(s) disclaim responsibility for any injury to people or property resulting from any ideas, methods, instructions or products referred to in the content. |
© 2023 by the authors. Licensee MDPI, Basel, Switzerland. This article is an open access article distributed under the terms and conditions of the Creative Commons Attribution (CC BY) license (https://creativecommons.org/licenses/by/4.0/).
Share and Cite
Zhou, W.; Qian, Z.; Ni, X.; Tang, Y.; Guo, H.; Zhuang, S. Dense Convolutional Neural Network for Identification of Raman Spectra. Sensors 2023, 23, 7433. https://doi.org/10.3390/s23177433
Zhou W, Qian Z, Ni X, Tang Y, Guo H, Zhuang S. Dense Convolutional Neural Network for Identification of Raman Spectra. Sensors. 2023; 23(17):7433. https://doi.org/10.3390/s23177433
Chicago/Turabian StyleZhou, Wei, Ziheng Qian, Xinyuan Ni, Yujun Tang, Hanming Guo, and Songlin Zhuang. 2023. "Dense Convolutional Neural Network for Identification of Raman Spectra" Sensors 23, no. 17: 7433. https://doi.org/10.3390/s23177433
APA StyleZhou, W., Qian, Z., Ni, X., Tang, Y., Guo, H., & Zhuang, S. (2023). Dense Convolutional Neural Network for Identification of Raman Spectra. Sensors, 23(17), 7433. https://doi.org/10.3390/s23177433
