A Novel Decoupled Feature Pyramid Networks for Multi-Target Ship Detection
Abstract
1. Introduction
2. Methodology
2.1. Network Architecture
2.2. Approach
2.2.1. Feature Decoupling Module Based on Additive NMS Scores
2.2.2. Feature Pyramid Module with Gated Attention Mechanism
2.2.3. Multi-Feature Fusion Algorithm
| Algorithm 1 Training of multi-feature fusion algorithm |
| is the label of the nth picture 2: Pre-training: as the identity matrix 3: for epoch 1 to K do , the prediction error is backpropagated from layer l to layer 1, 6: Update feature relationship matrix : 8: end for |
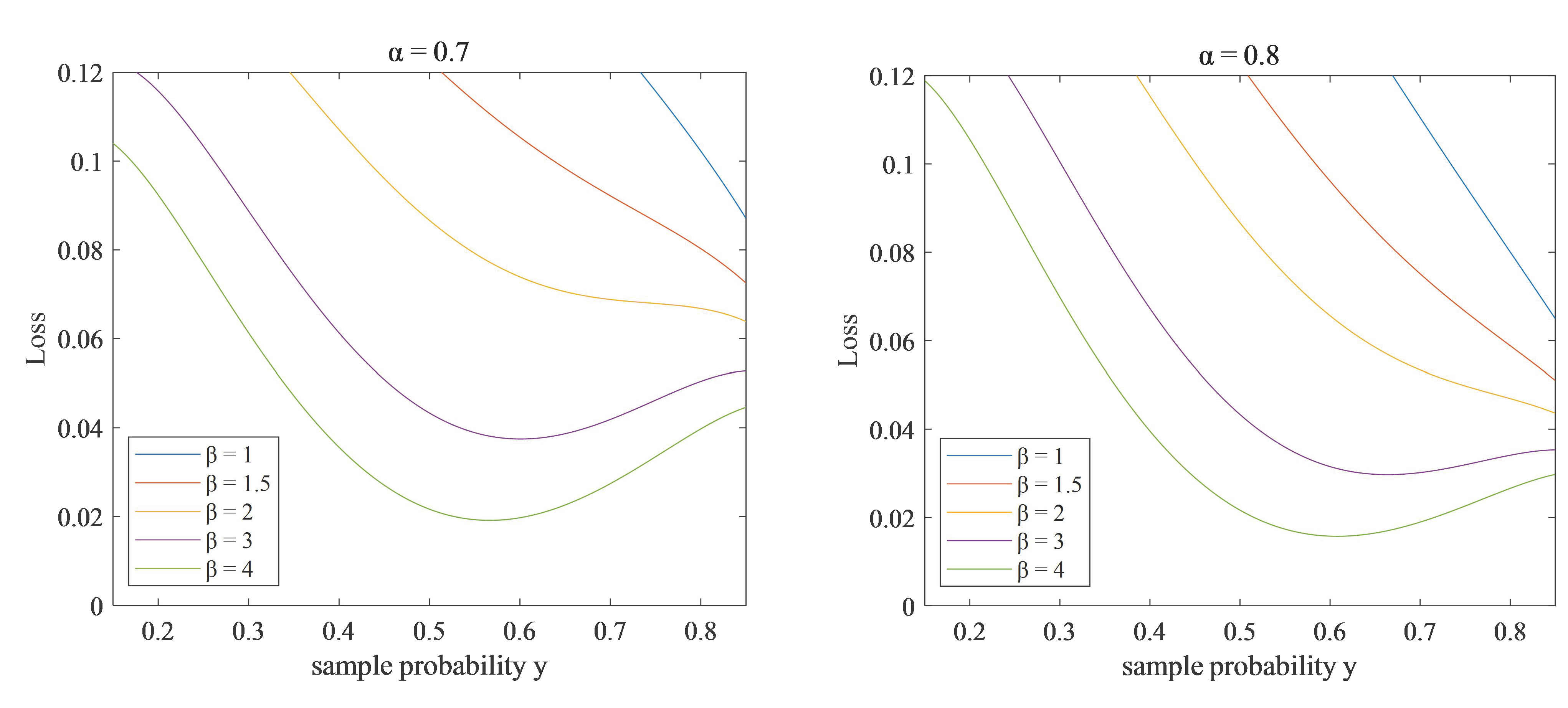
2.2.4. Weighted Loss Function
3. Experiments and Results
3.1. Dataset Description and Parameter Setting
3.2. Evaluation Criteria
3.3. Ablation Experiments
3.3.1. Contributions of the Feature Decoupling Module
3.3.2. Contributions of FPA Module
3.3.3. Contributions of Multi-Feature Fusion Method
3.4. Comparative Experiments
4. Conclusions
Author Contributions
Funding
Institutional Review Board Statement
Informed Consent Statement
Data Availability Statement
Conflicts of Interest
References
- Yang, J.; Ma, L.; Liu, J. Modeling and application of ship density based on ship scale conversion and grid. Ocean. Eng. 2021, 237, 109557. [Google Scholar] [CrossRef]
- Wang, Y.Y.; Wang, C.; Zhang, H.; Dong, Y.B.; Wei, S.S. A SAR Dataset of Ship Detection for Deep Learning under Complex Backgrounds. Remote Sens. 2019, 11, 765. [Google Scholar] [CrossRef]
- Shao, Z.F.; Wang, L.G.; Wang, Z.Y.; Du, W.; Wu, W.J. Saliency-Aware Convolution Neural Network for Ship Detection in Surveillance Video. IEEE Trans. Circuits Syst. Video Technol. 2019, 30, 781–794. [Google Scholar] [CrossRef]
- Sun, Y.; Su, L.; Luo, Y.; Meng, H.; Li, W.; Zhang, Z.; Wang, P.; Zhang, W. Global Mask R-CNN for marine ship instance segmentation. Neurocomputing 2022, 480, 257–270. [Google Scholar] [CrossRef]
- Li, H.; Deng, L.; Yang, C.; Liu, J.; Gu, Z. Enhanced YOLO v3 tiny network for real-time ship detection from visual image. IEEE Access 2021, 9, 16692–16706. [Google Scholar] [CrossRef]
- Liu, K.; Skibbe, H.; Schmidt, T.; Blein, T.; Palme, K.; Brox, T.; Ronneberger, O. Rotation-Invariant HOG Descriptors Using Fourier Analysis in Polar and Spherical Coordinates. Int. J. Comput. Vis. 2014, 106, 342–364. [Google Scholar] [CrossRef]
- Shin, H.C.; Lu, L.; Summers, R.M. Natural Language Processing for Large-Scale Medical Image Analysis Using Deep Learning—ScienceDirect. In Deep Learning for Medical Image Analysis; Academic Press: Cambridge, MA, USA, 2017; pp. 405–421. [Google Scholar]
- Sun, L.; Zhou, Z.; Bo, W.; Fei, W. A Novel Inshore Ship Detection via Ship Head Classification and Body Boundary Determination. IEEE Geosci. Remote Sens. Lett. 2016, 13, 1920–1924. [Google Scholar]
- Shi, Z.; Yu, X.; Jiang, Z.; Bo, L. Ship Detection in High-Resolution Optical Imagery Based on Anomaly Detector and Local Shape Feature. IEEE Trans. Geosci. Remote Sens. 2014, 52, 4511–4523. [Google Scholar]
- Yu, Y.; Ai, H.; He, X.; Yu, S.; Zhong, X.; Lu, M. Ship Detection in Optical Satellite Images Using Haar-like Features and Periphery-Cropped Neural Networks. IEEE Access 2018, 6, 71122–71131. [Google Scholar] [CrossRef]
- Wang, Y.; Wang, C.; Zhang, H.; Dong, Y.; Wei, S. Automatic Ship Detection Based on RetinaNet Using Multi-Resolution Gaofen-3 Imagery. Remote Sens. 2019, 11, 531. [Google Scholar] [CrossRef]
- Wang, C.; Zhong, C. Adaptive Feature Pyramid Networks for Object Detection. IEEE Access 2021, 9, 107024–107032. [Google Scholar] [CrossRef]
- Ma, R.; Yin, Y.; Li, Z.; Chen, J.; Bao, K. Research on active intelligent perception technology of vessel situation based on multisensor fusion. Math. Probl. Eng. 2020, 2020, 1–9. [Google Scholar] [CrossRef]
- Tayara, H.; Soo, K.G.; Chong, K.T. Vehicle Detection and Counting in High-Resolution Aerial Images Using Convolutional Regression Neural Network. IEEE Access 2017, 6, 2220–2230. [Google Scholar] [CrossRef]
- Gimnez, M.; Palanca, J.; Botti, V. Semantic-based padding in convolutional neural networks for improving the performance in natural language processing. A case of study in sentiment analysis. Neurocomputing 2020, 378, 315–323. [Google Scholar] [CrossRef]
- He, H.; Lin, Y.; Chen, F.; Tai, H.M.; Yin, Z. Inshore Ship Detection in Remote Sensing Images via Weighted Pose Voting. IEEE Trans. Geosci. Remote Sens. 2017, 55, 3091–3107. [Google Scholar] [CrossRef]
- Jiao, L.; Zhao, J. A Survey on the New Generation of Deep Learning in Image Processing. IEEE Access 2019, 7, 172231–172263. [Google Scholar] [CrossRef]
- Li, Y.; Peng, C.; Chen, Y.; Jiao, L.; Zhou, L.; Shang, R. A Deep Learning Method for Change Detection in Synthetic Aperture Radar Images. IEEE Trans. Geosci. Remote Sens. 2019, 57, 5751–5763. [Google Scholar] [CrossRef]
- Nie, X.; Duan, M.; Ding, H.; Hu, B.; Wong, E.K. Attention Mask R-CNN for ship detection and segmentation from remote sensing images. IEEE Access 2020, 8, 9325–9334. [Google Scholar] [CrossRef]
- Liu, B.; Wang, S.Z.; Xie, Z.X.; Zhao, J.S.; Li, M.F. Ship Recognition and Tracking System for Intelligent Ship Based on Deep Learning Framework. TransNav Int. J. Mar. Navig. Saf. Sea Transp. 2019, 13, 699–705. [Google Scholar] [CrossRef]
- Wei, S.; Su, H.; Ming, J.; Wang, C.; Yan, M.; Kumar, D.; Shi, J.; Zhang, X. Precise and Robust Ship Detection for High-Resolution SAR Imagery Based on HR-SDNet. Remote Sens. 2020, 12, 167. [Google Scholar] [CrossRef]
- Gao, Y.L.; Wu, Z.Y.; Ren, M.; Wu, C.A. Improved YOLOv4 Based on Attention Mechanism for Ship Detection in SAR Images. IEEE Access 2022, 10, 23785–23797. [Google Scholar] [CrossRef]
- Nie, T.; Han, X.; He, B.; Li, X.; Bi, G. Ship Detection in Panchromatic Optical Remote Sensing Images Based on Visual Saliency and Multi-Dimensional Feature Description. Remote Sens. 2020, 12, 152. [Google Scholar] [CrossRef]
- Cui, Z.; Li, Q.; Cao, Z.; Liu, N. Dense Attention Pyramid Networks for Multi-Scale Ship Detection in SAR Images. IEEE Trans. Geosci. Remote Sens. 2019, 57, 8983–8997. [Google Scholar] [CrossRef]
- Rabbi, J.; Ray, N.; Schubert, M.; Chowdhury, S.; Chao, D. Small-object detection in remote sensing images with end-to-end edge-enhanced GAN and object detector network. Remote Sens. 2020, 12, 1432. [Google Scholar] [CrossRef]
- Zhao, Y.; Zhao, L.; Xiong, B.; Kuang, G. Attention Receptive Pyramid Network for Ship Detection in SAR Images. IEEE J. Sel. Top. Appl. Earth Obs. Remote Sens. 2020, 13, 2738–2756. [Google Scholar] [CrossRef]
- Tian, G.; Liu, J.; Zhao, H.; Yang, W. Small object detection via dual inspection mechanism for UAV visual images. Appl. Intell. 2022, 52, 4244–4257. [Google Scholar] [CrossRef]
- Chen, X.; Qi, L.; Yang, Y.; Luo, Q.; Postolache, O.; Tang, J.; Wu, H. Video-Based Detection Infrastructure Enhancement for Automated Ship Recognition and Behavior Analysis. J. Adv. Transp. 2020, 2020, 7194342. [Google Scholar] [CrossRef]
- Kang, M.; Ji, K.; Leng, X.; Lin, Z. Contextual Region-Based Convolutional Neural Network with Multilayer Fusion for SAR Ship Detection. Remote Sens. 2017, 9, 860. [Google Scholar] [CrossRef]
- Lin, Z.; Ji, K.; Leng, X.; Kuang, G. Squeeze and Excitation Rank Faster R-CNN for Ship Detection in SAR Images. IEEE Geosci. Remote Sens. Lett. 2019, 16, 751–755. [Google Scholar] [CrossRef]
- Wx, A.; Ys, A.; Yl, A.; Xj, B.; Jie, L.A. High-quality spectral-spatial reconstruction using saliency detection and deep feature enhancement. Pattern Recognit. 2019, 88, 139–152. [Google Scholar]
- Zhang, T.; Shi, J.; Wei, S. Depthwise Separable Convolution Neural Network for High-Speed SAR Ship Detection. Remote Sens. 2019, 11, 2483. [Google Scholar] [CrossRef]
- Woo, S.; Park, J.; Lee, J.Y.; Kweon, I.S. CBAM: Convolutional block attention module. In Proceedings of the European Conference on Computer Vision (ECCV), Munich, Germany, 8–14 September 2018; pp. 3–19. [Google Scholar]
- Deng, C.; Wang, M.; Liu, L.; Liu, Y.; Jiang, Y. Extended Feature Pyramid Network for Small Object Detection. IEEE Trans. Multimed. 2022, 24, 1968–1979. [Google Scholar] [CrossRef]
- Sun, B.; Wang, X.; Oad, A.; Pervez, A.; Dong, F. Automatic Ship Object Detection Model Based on YOLOv4 with Transformer Mechanism in Remote Sensing Images. Appl. Sci. 2023, 13, 2488. [Google Scholar] [CrossRef]
- Fu, H.; Song, G.; Wang, Y. Improved YOLOv4 Marine Target Detection Combined with CBAM. Symmetry 2021, 13, 623. [Google Scholar] [CrossRef]
- Ren, S.; He, K.; Girshick, R.; Sun, J. Faster R-CNN: Towards Real-Time Object Detection with Region Proposal Networks. IEEE Trans. Pattern Anal. Mach. Intell. 2017, 39, 1137–1149. [Google Scholar] [CrossRef] [PubMed]
- Kaiming, H.; Gkioxari, G.; Dollar, P.; Girshick, R. Mask R-CNN. In Proceedings of the IEEE International Conference on Computer Vision, Venice, Italy, 22–29 October 2017. [Google Scholar]
- Siyuan, Q.; Chen, L.-C.; Yuille, A. Detectors: Detecting objects with recursive feature pyramid and switchable atrous convolution. In Proceedings of the IEEE/CVF Conference on Computer Vision and Pattern Recognition, Nashville, TN, USA, 20–25 June 2021. [Google Scholar]













| Component | Feature Decoupling | FPA | Multi-Feature Fusion | F1 (%) | mAP (%) | FPS |
|---|---|---|---|---|---|---|
| FPN | 50.8 | 60.8 | 24 | |||
| FPN1 | ✓ | 65.8 | 71.5 | 40 | ||
| FPN2 | ✓ | ✓ | 72.3 | 77.3 | 41 | |
| FPN3 | ✓ | 62.3 | 66.8 | 20 | ||
| FPN4 | ✓ | 61.4 | 64.4 | 19 | ||
| FPN5 | ✓ | ✓ | 68.8 | 74.8 | 40 | |
| FPN6 | ✓ | ✓ | 65.8 | 70.3 | 15 | |
| DFPN | ✓ | ✓ | ✓ | 77.5 | 80.9 | 41 |
Disclaimer/Publisher’s Note: The statements, opinions and data contained in all publications are solely those of the individual author(s) and contributor(s) and not of MDPI and/or the editor(s). MDPI and/or the editor(s) disclaim responsibility for any injury to people or property resulting from any ideas, methods, instructions or products referred to in the content. |
© 2023 by the authors. Licensee MDPI, Basel, Switzerland. This article is an open access article distributed under the terms and conditions of the Creative Commons Attribution (CC BY) license (https://creativecommons.org/licenses/by/4.0/).
Share and Cite
Xue, W.; He, M.; Zhang, Y.; Ye, H. A Novel Decoupled Feature Pyramid Networks for Multi-Target Ship Detection. Sensors 2023, 23, 7027. https://doi.org/10.3390/s23167027
Xue W, He M, Zhang Y, Ye H. A Novel Decoupled Feature Pyramid Networks for Multi-Target Ship Detection. Sensors. 2023; 23(16):7027. https://doi.org/10.3390/s23167027
Chicago/Turabian StyleXue, Wentao, Maozheng He, Yincheng Zhang, and Hui Ye. 2023. "A Novel Decoupled Feature Pyramid Networks for Multi-Target Ship Detection" Sensors 23, no. 16: 7027. https://doi.org/10.3390/s23167027
APA StyleXue, W., He, M., Zhang, Y., & Ye, H. (2023). A Novel Decoupled Feature Pyramid Networks for Multi-Target Ship Detection. Sensors, 23(16), 7027. https://doi.org/10.3390/s23167027

