BioMAT: An Open-Source Biomechanics Multi-Activity Transformer for Joint Kinematic Predictions Using Wearable Sensors
Abstract
1. Introduction
2. Materials and Methods
2.1. Dataset
2.2. Preprocessing
2.3. Neural Network Models
2.3.1. Multi-Linear Regression Model
2.3.2. CNNLSTM Architecture
2.3.3. BiLSTM Architecture
2.3.4. BioMAT Architecture
2.4. Training and Parameter Tuning
2.5. Neural Network Evaluation and Statistical Tests
3. Results
4. Discussion
5. Conclusions
Author Contributions
Funding
Institutional Review Board Statement
Informed Consent Statement
Data Availability Statement
Conflicts of Interest
References
- Ishii, Y.; Terajima, K.; Koga, Y.; Takahashi, H.E.; Bechtold, J.E.; Gustilo, R.B. Gait Analysis after Total Knee Arthroplasty. Comparison of Posterior Cruciate Retention and Substitution. J. Orthop. Sci. 1998, 3, 310–317. [Google Scholar] [CrossRef]
- Dorr, L.D.; Ochsner, J.L.; Gronley, J.; Perry, J. Functional Comparison of Posterior Cruciate Retained versus Cruciate-Sacrificed Total Knee Arthroplasty. Clin. Orthop. Relat. Res. 1988, 236, 36–43. [Google Scholar] [CrossRef]
- Rittman, N.; Kettelkamp, D.B.; Pryor, P.; Schwartzkopf, G.L.; Hillberry, B. Analysis of Patterns of Knee Motion Walking for Four Types of Total Knee Implants. Clin. Orthop. Relat. Res. 1981, 155, 111–117. [Google Scholar] [CrossRef]
- Hantouly, A.T.; Ahmed, A.F.; Alzobi, O.; Toubasi, A.; Salameh, M.; Elmhiregh, A.; Hameed, S.; Ahmed, G.O.; Alvand, A.; Dosari, M.A.A.A. Mobile-Bearing versus Fixed-Bearing Total Knee Arthroplasty: A Meta-Analysis of Randomized Controlled Trials. Eur. J. Orthop. Surg. Traumatol. 2022, 32, 481–495. [Google Scholar] [CrossRef]
- Migliorini, F.; Maffulli, N.; Cuozzo, F.; Pilone, M.; Elsner, K.; Eschweiler, J. No Difference between Mobile and Fixed Bearing in Primary Total Knee Arthroplasty: A Meta-Analysis. Knee Surg. Sports Traumatol. Arthrosc 2022, 30, 3138–3154. [Google Scholar] [CrossRef] [PubMed]
- Sartori, M.; Llyod, D.G.; Farina, D. Neural Data-Driven Musculoskeletal Modeling for Personalized Neurorehabilitation Technologies. IEEE Trans. Bio-Med. Eng. 2016, 63, 879–893. [Google Scholar] [CrossRef]
- Ryan, J.; Mora, J.P.; Scuderi, G.R.; Tria, A.J., Jr. Total Knee Arthroplasty Design and Kinematics: Past, Present, and Future. J. Long-Term Eff. Med. 2021, 31, 1–14. [Google Scholar] [CrossRef]
- Baker, R. Gait Analysis Methods in Rehabilitation. J. Neuroeng. Rehabil. 2006, 3, 4. [Google Scholar] [CrossRef] [PubMed]
- Al-Zahrani, K.S.; Bakheit, A.M.O. A Study of the Gait Characteristics of Patients with Chronic Osteoarthritis of the Knee. Disabil. Rehabil. 2002, 24, 275–280. [Google Scholar] [CrossRef] [PubMed]
- Fusca, M.; Negrini, F.; Perego, P.; Magoni, L.; Molteni, F.; Andreoni, G. Validation of a Wearable IMU System for Gait Analysis: Protocol and Application to a New System. Appl. Sci. 2018, 8, 1167. [Google Scholar] [CrossRef]
- Cuesta-Vargas, A.I.; Galán-Mercant, A.; Williams, J.M. The Use of Inertial Sensors System for Human Motion Analysis. Phys. Ther. Rev. 2010, 15, 462–473. [Google Scholar] [CrossRef] [PubMed]
- Mundt, M.; Koeppe, A.; David, S.; Witter, T.; Bamer, F.; Potthast, W.; Markert, B. Estimation of Gait Mechanics Based on Simulated and Measured IMU Data Using an Artificial Neural Network. Front. Bioeng Biotechnol. 2020, 8, 41. [Google Scholar] [CrossRef]
- Dorschky, E.; Nitschke, M.; Martindale, C.F.; van den Bogert, A.J.; Koelewijn, A.D.; Eskofier, B.M. CNN-Based Estimation of Sagittal Plane Walking and Running Biomechanics from Measured and Simulated Inertial Sensor Data. Front. Bioeng. Biotechnol. 2020, 8, 604. [Google Scholar] [CrossRef] [PubMed]
- McCabe, M.V.; Citters, D.W.V.; Chapman, R.M. Developing a Method for Quantifying Hip Joint Angles and Moments during Walking Using Neural Networks and Wearables. Comput. Methods Biomech. 2023, 26, 1–11. [Google Scholar] [CrossRef]
- Hossain, M.S.B.; Dranetz, J.; Choi, H.; Guo, Z.; Guo, Z. DeepBBWAE-Net: A CNN-RNN Based Deep SuperLearner for Estimating Lower Extremity Sagittal Plane Joint Kinematics Using Shoe-Mounted IMU Sensors in Daily Living. IEEE J. Biomed. Health 2022, 26, 3906–3917. [Google Scholar] [CrossRef] [PubMed]
- Mundt, M.; Koeppe, A.; Bamer, F.; David, S.; Markert, B. Artificial Neural Networks in Motion Analysis—Applications of Unsupervised and Heuristic Feature Selection Techniques. Sensors 2020, 20, 4581. [Google Scholar] [CrossRef]
- Hernandez, V.; Dadkhah, D.; Babakeshizadeh, V.; Kulić, D. Lower Body Kinematics Estimation from Wearable Sensors for Walking and Running: A Deep Learning Approach. Gait Posture 2021, 83, 185–193. [Google Scholar] [CrossRef] [PubMed]
- Renani, M.S.; Eustace, A.M.; Myers, C.A.; Clary, C.W. The Use of Synthetic IMU Signals in the Training of Deep Learning Models Significantly Improves the Accuracy of Joint Kinematic Predictions. Sensors 2021, 21, 5876. [Google Scholar] [CrossRef]
- Romijnders, R.; Warmerdam, E.; Hansen, C.; Schmidt, G.; Maetzler, W. A Deep Learning Approach for Gait Event Detection from a Single Shank-Worn IMU: Validation in Healthy and Neurological Cohorts. Sensors 2022, 22, 3859. [Google Scholar] [CrossRef]
- Celik, Y.; Stuart, S.; Woo, W.L.; Godfrey, A. Wearable Inertial Gait Algorithms: Impact of Wear Location and Environment in Healthy and Parkinson’s Populations. Sensors 2021, 21, 6476. [Google Scholar] [CrossRef]
- Rampp, A.; Barth, J.; Schuelein, S.; Gassmann, K.-G.; Klucken, J.; Eskofier, B.M. Inertial Sensor-Based Stride Parameter Calculation from Gait Sequences in Geriatric Patients. IEEE Trans. Bio-Med. Eng. 2014, 62, 1089–1097. [Google Scholar] [CrossRef] [PubMed]
- Henriksen, M.; Graven-Nielsen, T.; Aaboe, J.; Andriacchi, T.P.; Bliddal, H. Gait Changes in Patients with Knee Osteoarthritis Are Replicated by Experimental Knee Pain. Arthritis Care Res. 2010, 62, 501–509. [Google Scholar] [CrossRef]
- Szopa, A.; Domagalska-Szopa, M.; Siwiec, A.; Kwiecień-Czerwieniec, I. Canonical Correlation between Body-Posture Deviations and Gait Disorders in Children with Cerebral Palsy. PLoS ONE 2020, 15, e0234654. [Google Scholar] [CrossRef] [PubMed]
- Renani, M.S.; Myers, C.A.; Zandie, R.; Mahoor, M.H.; Davidson, B.S.; Clary, C.W. Deep Learning in Gait Parameter Prediction for OA and TKA Patients Wearing IMU Sensors. Sensors 2020, 20, 5553. [Google Scholar] [CrossRef]
- Camargo, J.; Ramanathan, A.; Flanagan, W.; Young, A. A Comprehensive, Open-Source Dataset of Lower Limb Biomechanics in Multiple Conditions of Stairs, Ramps, and Level-Ground Ambulation and Transitions. J. Biomech. 2021, 119, 110320. [Google Scholar] [CrossRef]
- Goodfellow, I.; Bengio, Y.; Courville, A. Deep Learning; Adaptive Computation and Machine Learning Series; MIT Press: Cambridge, MA, USA, 2016; ISBN 0262035618. [Google Scholar]
- Mundt, M.; Johnson, W.R.; Potthast, W.; Markert, B.; Mian, A.; Alderson, J. A Comparison of Three Neural Network Approaches for Estimating Joint Angles and Moments from Inertial Measurement Units. Sensors 2021, 21, 4535. [Google Scholar] [CrossRef]
- Tan, J.-S.; Tippaya, S.; Binnie, T.; Davey, P.; Napier, K.; Caneiro, J.P.; Kent, P.; Smith, A.; O’Sullivan, P.; Campbell, A. Predicting Knee Joint Kinematics from Wearable Sensor Data in People with Knee Osteoarthritis and Clinical Considerations for Future Machine Learning Models. Sensors 2022, 22, 446. [Google Scholar] [CrossRef]
- Mundt, M.; Thomsen, W.; Witter, T.; Koeppe, A.; David, S.; Bamer, F.; Potthast, W.; Markert, B. Prediction of Lower Limb Joint Angles and Moments during Gait Using Artificial Neural Networks. Med. Biol. Eng. Comput. 2019, 58, 211–225. [Google Scholar] [CrossRef] [PubMed]
- Vaswani, A.; Shazeer, N.; Parmar, N.; Uszkoreit, J.; Jones, L.; Gomez, A.N.; Kaiser, L.; Polosukhin, I. Attention Is All You Need. arXiv 2017. [Google Scholar] [CrossRef]
- Wu, N.; Green, B.; Ben, X.; O’Banion, S. Deep Transformer Models for Time Series Forecasting: The Influenza Prevalence Case. arXiv 2020. [Google Scholar] [CrossRef]
- Zhou, H.; Zhang, S.; Peng, J.; Zhang, S.; Li, J.; Xiong, H.; Zhang, W. Informer: Beyond Efficient Transformer for Long Sequence Time-Series Forecasting. arXiv 2020. [Google Scholar] [CrossRef]
- Zerveas, G.; Jayaraman, S.; Patel, D.; Bhamidipaty, A.; Eickhoff, C. A Transformer-Based Framework for Multivariate Time Series Representation Learning. arXiv 2020. [Google Scholar] [CrossRef]
- Sun, J.; Xie, J.; Zhou, H. EEG Classification with Transformer-Based Models. In Proceedings of the IEEE 3rd Global Conference on Life Sciences and Technologies (LifeTech 2021), Nara, Japan, 9–11 March 2021; pp. 92–93. [Google Scholar] [CrossRef]
- Han, K.; Wang, Y.; Chen, H.; Chen, X.; Guo, J.; Liu, Z.; Tang, Y.; Xiao, A.; Xu, C.; Xu, Y.; et al. A Survey on Vision Transformer. IEEE Trans. Pattern Anal. 2022, 45, 87–110. [Google Scholar] [CrossRef] [PubMed]
- Ruan, B.-K.; Shuai, H.-H.; Cheng, W.-H. Vision Transformers: State of the Art and Research Challenges. arXiv 2022. [Google Scholar] [CrossRef]
- Delp, S.L.; Anderson, F.C.; Arnold, A.S.; Loan, P.; Habib, A.; John, C.T.; Guendelman, E.; Thelen, D.G. OpenSim: Open-Source Software to Create and Analyze Dynamic Simulations of Movement. IEEE Trans. Bio-Med. Eng. 2007, 54, 1940–1950. [Google Scholar] [CrossRef] [PubMed]
- Ordóñez, F.J.; Roggen, D. Deep Convolutional and LSTM Recurrent Neural Networks for Multimodal Wearable Activity Recognition. Sensors 2016, 16, 115. [Google Scholar] [CrossRef] [PubMed]
- Bao, T.; Zaidi, S.A.R.; Xie, S.; Yang, P.; Zhang, Z. A CNN-LSTM Hybrid Framework for Wrist Kinematics Estimation Using Surface Electromyography. arXiv 2019. [Google Scholar] [CrossRef]
- Hernandez, V.; Suzuki, T.; Venture, G. Convolutional and Recurrent Neural Network for Human Activity Recognition: Application on American Sign Language. PLoS ONE 2020, 15, e0228869. [Google Scholar] [CrossRef] [PubMed]
- Devlin, J.; Chang, M.-W.; Lee, K.; Toutanova, K. BERT: Pre-Training of Deep Bidirectional Transformers for Language Understanding. arXiv 2018. [Google Scholar] [CrossRef]
- Radford, A.; Narasimhan, K.; Salimans, T.; Sutskever, I. Improving Language Understanding by Generative Pre-Training. 2018. Available online: https://www.cs.ubc.ca/~amuham01/LING530/papers/radford2018improving.pdf (accessed on 14 June 2023).
- Oguiza, I. Tsai—A State-of-the-Art Deep Learning Library for Time Series and Sequential Data. Available online: https://github.com/timeseriesAI/tsai (accessed on 1 June 2021).
- Krishnapuram, B.; Shah, M.; Smola, A.; Aggarwal, C.; Shen, D.; Rastogi, R.; Chen, T.; Guestrin, C. XGBoost: A Scalable Tree Boosting System. In Proceedings of the 22nd ACM SIGKDD International Conference on Knowledge Discovery and Data Mining, San Francisco, CA, USA, 13–17 August 2016; pp. 785–794. [Google Scholar] [CrossRef]
- He, K.; Zhang, X.; Ren, S.; Sun, J. Deep Residual Learning for Image Recognition. arXiv 2015. [Google Scholar] [CrossRef]
- Siddhad, G.; Gupta, A.; Dogra, D.P.; Roy, P.P. Efficacy of Transformer Networks for Classification of Raw EEG Data. arXiv 2022. [Google Scholar] [CrossRef]
- Gholami, M.; Napier, C.; Menon, C. Estimating Lower Extremity Running Gait Kinematics with a Single Accelerometer: A Deep Learning Approach. Sensors 2020, 20, 2939. [Google Scholar] [CrossRef] [PubMed]
- Fiorentino, N.M.; Atkins, P.R.; Kutschke, M.J.; Foreman, K.B.; Anderson, A.E. Soft Tissue Artifact Causes Underestimation of Hip Joint Kinematics and Kinetics in a Rigid-Body Musculoskeletal Model. J. Biomech. 2020, 108, 109890. [Google Scholar] [CrossRef] [PubMed]
- Zügner, R.; Tranberg, R.; Timperley, J.; Hodgins, D.; Mohaddes, M.; Kärrholm, J. Validation of Inertial Measurement Units with Optical Tracking System in Patients Operated with Total Hip Arthroplasty. BMC Musculoskelet. Dis. 2019, 20, 52. [Google Scholar] [CrossRef]
- Zhuang, F.; Qi, Z.; Duan, K.; Xi, D.; Zhu, Y.; Zhu, H.; Xiong, H.; He, Q. A Comprehensive Survey on Transfer Learning. arXiv 2019. [Google Scholar] [CrossRef]
- Zhou, K.; Liu, Z.; Qiao, Y.; Xiang, T.; Loy, C.C. Domain Generalization: A Survey. IEEE Trans. Pattern Anal. 2022, 45, 4396–4415. [Google Scholar] [CrossRef] [PubMed]
- Xian, Y.; Lampert, C.H.; Schiele, B.; Akata, Z. Zero-Shot Learning—A Comprehensive Evaluation of the Good, the Bad and the Ugly. arXiv 2017. [Google Scholar] [CrossRef]
- Rezaei, M.; Shahidi, M. Zero-Shot Learning and Its Applications from Autonomous Vehicles to COVID-19 Diagnosis: A Review. Intell. Based Med. 2020, 3, 100005. [Google Scholar] [CrossRef]
- Zoph, B.; Yuret, D.; May, J.; Knight, K. Transfer Learning for Low-Resource Neural Machine Translation. arXiv 2016. [Google Scholar] [CrossRef]
- Tan, C.; Sun, F.; Kong, T.; Zhang, W.; Yang, C.; Liu, C. A Survey on Deep Transfer Learning. arXiv 2018. [Google Scholar] [CrossRef]
- Hinton, G.; Vinyals, O.; Dean, J. Distilling the Knowledge in a Neural Network. In Proceedings of the NIPS 2014, Montreal, QC, Canada, 8–13 December 2014. [Google Scholar]



| CNNLSTM [18] | BiLSTM [27] | BioMAT |
|---|---|---|
| CNN2D-1 kernel size: 10, 3 | BiLSTM hidden size: 128 | BioMAT d model: 256 |
| CNN2D-1 n output: 16 | BiLSTM n layers: 2 | BioMAT n heads: 16 |
| CNN2D-2 kernel size: 10, 3 | dropout: 0.2 | BioMAT d ff: 128 |
| CNN2D-2 n output: 32 | BioMAT n layers: 4 | |
| LSTM hidden size: 128 | res dropout: 0.5 | |
| LSTM n layers: 2 | fc dropout: 0.5 | |
| dropout: 0.2 |
| Metrics | Joint | Hip | Knee | Ankle | Mean |
|---|---|---|---|---|---|
| RMSE (°) | MLR | 20.3 ± 11.8 | 10.1 ± 1.9 | 11.9 ± 8.3 | 14.1 ± 7.3 |
| CNNLSTM | 10.9 ± 2.2 | 10.5 ± 3.9 | 5.09 ± 0.8 | 8.8 ± 2.3 | |
| BiLSTM | 9.2 ± 1.4 | 6.9 ± 1.1 | 4.8 ± 0.8 | 7.0 ± 1.0 | |
| BioMAT | 6.4 ± 1.0 | 5.5 ± 1.1 | 4.6 ± 0.7 | 5.5 ± 0.5 | |
| nRMSE | MLR | 24.2 ± 12.7 | 10.0 ± 2.3 | 17.3 ± 10.0 | 17.2 ± 7.8 |
| CNNLSTM | 13.5 ± 3.5 | 10.6 ± 4.7 | 8.1 ± 2.7 | 10.7 ± 3.2 | |
| BiLSTM | 11.6 ± 3.4 | 6.8 ± 1.0 | 7.5 ± 1.8 | 8.6 ± 1.0 | |
| BioMAT | 7.9 ± 1.6 | 5.4 ± 1.2 | 7.1 ± 0.9 | 6.8 ± 0.3 | |
| r | MLR | 0.92 ± 0.06 | 0.95 ± 0.04 | 0.91 ± 0.04 | 0.92 ± 0.04 |
| CNNLSTM | 0.92 ± 0.04 | 0.93 ± 0.06 | 0.91 ± 0.07 | 0.92 ± 0.05 | |
| BiLSTM | 0.97 ± 0.04 | 0.98 ± 0.02 | 0.96 ± 0.02 | 0.97 ± 0.02 | |
| BioMAT | 0.97 ± 0.03 | 0.98 ± 0.01 | 0.95 ± 0.02 | 0.96 ± 0.01 |
| Metric | Model | Train: All Test: LW | Train: All Test: RA | Train: All Test: RD | Train: All Test: SA | Train: All Test: SD |
|---|---|---|---|---|---|---|
| RMSE° | MLR | 8.5 ± 2.1 | 21.7 ± 10.3 | 22.5 ± 10.8 | 8.9 ± 3.4 | 9.0 ± 3.5 |
| CNNLSTM | 12.3 ± 5.6 | 9.7 ± 3.8 | 7.8 ± 2.4 | 6.8 ± 2.3 | 7.5 ± 2.7 | |
| BiLSTM | 5.3 ± 1.6 | 7.5 ± 2.1 | 7.4 ± 2.1 | 7.5 ± 2.6 | 7.3 ± 2.8 | |
| BioMAT | 5.0 ± 1.5 | 6.2 ± 1.1 | 5.8 ± 1.1 | 5.3 ± 1.6 | 5.2 ± 0.7 | |
| nRMSE | MLR | 11.8 ± 1.7 | 23.3 ± 9.4 | 27.7 ± 15.9 | 10.9 ± 3.0 | 12.3 ± 8.2 |
| CNNLSTM | 16.3 ± 3.3 | 10.1 ± 2.1 | 9.2 ± 2.9 | 8.3 ± 1.6 | 9.8 ± 5.7 | |
| BiLSTM | 7.3 ± 1.7 | 8.0 ± 0.4 | 8.7 ± 2.8 | 9.4 ± 2.8 | 9.7 ± 6.3 | |
| BioMAT | 7.2 ± 2.4 | 6.7 ± 0.4 | 6.7 ± 0.3 | 6.6 ± 1.4 | 6.8 ± 3.0 | |
| r | MLR | 0.92 ± 0.03 | 0.92 ± 0.04 | 0.87 ± 0.05 | 0.96 ± 0.04 | 0.95 ± 0.05 |
| CNNLSTM | 0.85 ± 0.04 | 0.9 ± 0.04 | 0.92 ± 0.02 | 0.97 ± 0.03 | 0.95 ± 0.03 | |
| BiLSTM | 0.97 ± 0.02 | 0.97 ± 0.01 | 0.93 ± 0.02 | 0.98 ± 0.02 | 0.98 ± 0.01 | |
| BioMAT | 0.97 ± 0.03 | 0.97 ± 0.02 | 0.94 ± 0.02 | 0.97 ± 0.04 | 0.98 ± 0.02 |
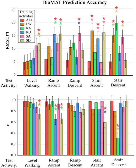
| Metric | Model | Train: LW Test: LW | Train: RA Test: RA | Train: RD Test: RD | Train: SA Test: SA | Train: SD Test: SD |
|---|---|---|---|---|---|---|
| RMSE° | MLR | 9.6 ± 3.5° | 31.2 ± 10.6° | 13.8 ± 2.4° | 7.9 ± 3.5° | 7.9 ± 1.3° |
| CNNLSTM | 6.2 ± 2.2° | 10.3 ± 4.5° | 8.3 ± 1.4° | 13.4 ± 5.2° | 18.8 ± 6.8° | |
| BiLSTM | 5.5 ± 1.6° | 8.2 ± 2.9° | 7.0 ± 2.0° | 5.3 ± 1.7° | 7.2 ± 2.1° | |
| BioMAT | 5.3 ± 2.1° | 6.7 ± 2.0° | 6.9 ± 2.2° | 4.9 ± 1.4° | 5.6 ± 1.3° | |
| nRMSE | MLR | 13.1 ± 3.2 | 33.2 ± 6.7 | 16.2 ± 2.2 | 9.5 ± 2.7 | 10.1 ± 3.6 |
| CNNLSTM | 8.4 ± 1.6 | 10.6 ± 2.3 | 9.7 ± 1.2 | 16.0 ± 1.5 | 22.4 ± 0.9 | |
| BiLSTM | 7.5 ± 0.3 | 8.6 ± 1.2 | 8.2 ± 2.4 | 6.5 ± 1.2 | 9.5 ± 5.1 | |
| BioMAT | 7.3 ± 2.3 | 7.1 ± 0.6 | 8.2 ± 3.1 | 5.9 ± 0.7 | 7.5 ± 3.9 | |
| r | MLR | 0.91 ± 0.04 | 0.90 ± 0.03 | 0.83 ± 0.06 | 0.96 ± 0.04 | 0.95 ± 0.02 |
| CNNLSTM | 0.94 ± 0.03 | 0.91 ± 0.04 | 0.88 ± 0.03 | 0.70 ± 0.30 | −0.02 ± 0.04 | |
| BiLSTM | 0.97 ± 0.03 | 0.96 ± 0.01 | 0.93 ± 0.03 | 0.98 ± 0.03 | 0.98 ± 0.01 | |
| BioMAT | 0.97 ± 0.02 | 0.97 ± 0.01 | 0.95 ± 0.03 | 0.97 ± 0.03 | 0.98 ± 0.02 |
| RMSE° | r | ||||||||
|---|---|---|---|---|---|---|---|---|---|
| Study | Activity | Model | Sensors | Hip | Knee | Ankle | Hip | Knee | Ankle |
| Dorschkey et al. [13] | LW + LR | 2DCNN | PTSF | 5.4 | 5.2 | 5.5 | 0.97 | 0.99 | 0.96 |
| Gholami et al. [47] | TR | 1DCNN | F | 5.6 | 6.5 | 4.7 | 0.84 | 0.93 | 0.78 |
| Tan et al. [28] | LW | BiLSTM | TS | NA | 8.4 | NA | NA | 0.85 | NA |
| Tan et al. [28] | SA | BiLSTM | TS | NA | 9.7 | NA | NA | 0.95 | NA |
| Tan et al. [28] | SD | BiLSTM | TS | NA | 10.0 | NA | NA | 0.86 | NA |
| Sharifi et al. [18] | LW | BiLSTM | PTSF | 7.2 | 2.9 | NA | 0.88 | 0.99 | NA |
| Hossain et al. [16] | LW | DeepBBWAVE-Net | FF | 4.3 | 4.3 | 3.1 | 0.97 | 0.99 | 0.95 |
| Hossain et al. [16] | RA | DeepBBWAVE-Net | FF | 5.7 | 5.0 | 3.5 | 0.98 | 0.98 | 0.96 |
| Hossain et al. [15] | RD | DeepBBWAVE-Net | FF | 4.3 | 6.1 | 3.7 | 0.93 | 0.97 | 0.94 |
| Hossain et al. [15] | SA | DeepBBWAVE-Net | FF | 6.0 | 5.9 | 4.0 | 0.98 | 0.99 | 0.96 |
| Hossain et al. [15] | SD | DeepBBWAVE-Net | FF | 5.3 | 6.8 | 5.0 | 0.93 | 0.97 | 0.98 |
| Current | LW | BioMAT | TSF | 6.8 | 4.2 | 4.2 | 0.99 | 0.99 | 0.93 |
| Current | RA | BioMAT | TSF | 7.3 | 6.2 | 5.1 | 0.98 | 0.97 | 0.95 |
| Current | RD | BioMAT | TSF | 4.9 | 7.0 | 5.5 | 0.92 | 0.97 | 0.94 |
| Current | SA | BioMAT | TSF | 6.9 | 5.3 | 3.7 | 0.99 | 0.99 | 0.93 |
| Current | SD | BioMAT | TSF | 6.0 | 4.8 | 4.7 | 0.96 | 0.99 | 0.98 |
| Model | # Parameters | Training Time (s/epoch) | Inference Time (s/batch) |
|---|---|---|---|
| BiLSTM | 106,635,584 | 14.2 | 0.014 |
| CNNLSTM | 1,201,046 | 15.9 | 0.006 |
| BioMAT | 51,257,603 | 12.9 | 0.003 |
Disclaimer/Publisher’s Note: The statements, opinions and data contained in all publications are solely those of the individual author(s) and contributor(s) and not of MDPI and/or the editor(s). MDPI and/or the editor(s) disclaim responsibility for any injury to people or property resulting from any ideas, methods, instructions or products referred to in the content. |
© 2023 by the authors. Licensee MDPI, Basel, Switzerland. This article is an open access article distributed under the terms and conditions of the Creative Commons Attribution (CC BY) license (https://creativecommons.org/licenses/by/4.0/).
Share and Cite
Sharifi-Renani, M.; Mahoor, M.H.; Clary, C.W. BioMAT: An Open-Source Biomechanics Multi-Activity Transformer for Joint Kinematic Predictions Using Wearable Sensors. Sensors 2023, 23, 5778. https://doi.org/10.3390/s23135778
Sharifi-Renani M, Mahoor MH, Clary CW. BioMAT: An Open-Source Biomechanics Multi-Activity Transformer for Joint Kinematic Predictions Using Wearable Sensors. Sensors. 2023; 23(13):5778. https://doi.org/10.3390/s23135778
Chicago/Turabian StyleSharifi-Renani, Mohsen, Mohammad H. Mahoor, and Chadd W. Clary. 2023. "BioMAT: An Open-Source Biomechanics Multi-Activity Transformer for Joint Kinematic Predictions Using Wearable Sensors" Sensors 23, no. 13: 5778. https://doi.org/10.3390/s23135778
APA StyleSharifi-Renani, M., Mahoor, M. H., & Clary, C. W. (2023). BioMAT: An Open-Source Biomechanics Multi-Activity Transformer for Joint Kinematic Predictions Using Wearable Sensors. Sensors, 23(13), 5778. https://doi.org/10.3390/s23135778

