MIMO 5G Smartphone Antenna with Tri-Band and Decoupled Elements
Abstract
:1. Introduction
2. Proposed 8-Element MIMO Antenna Structure
2.1. 4G Section
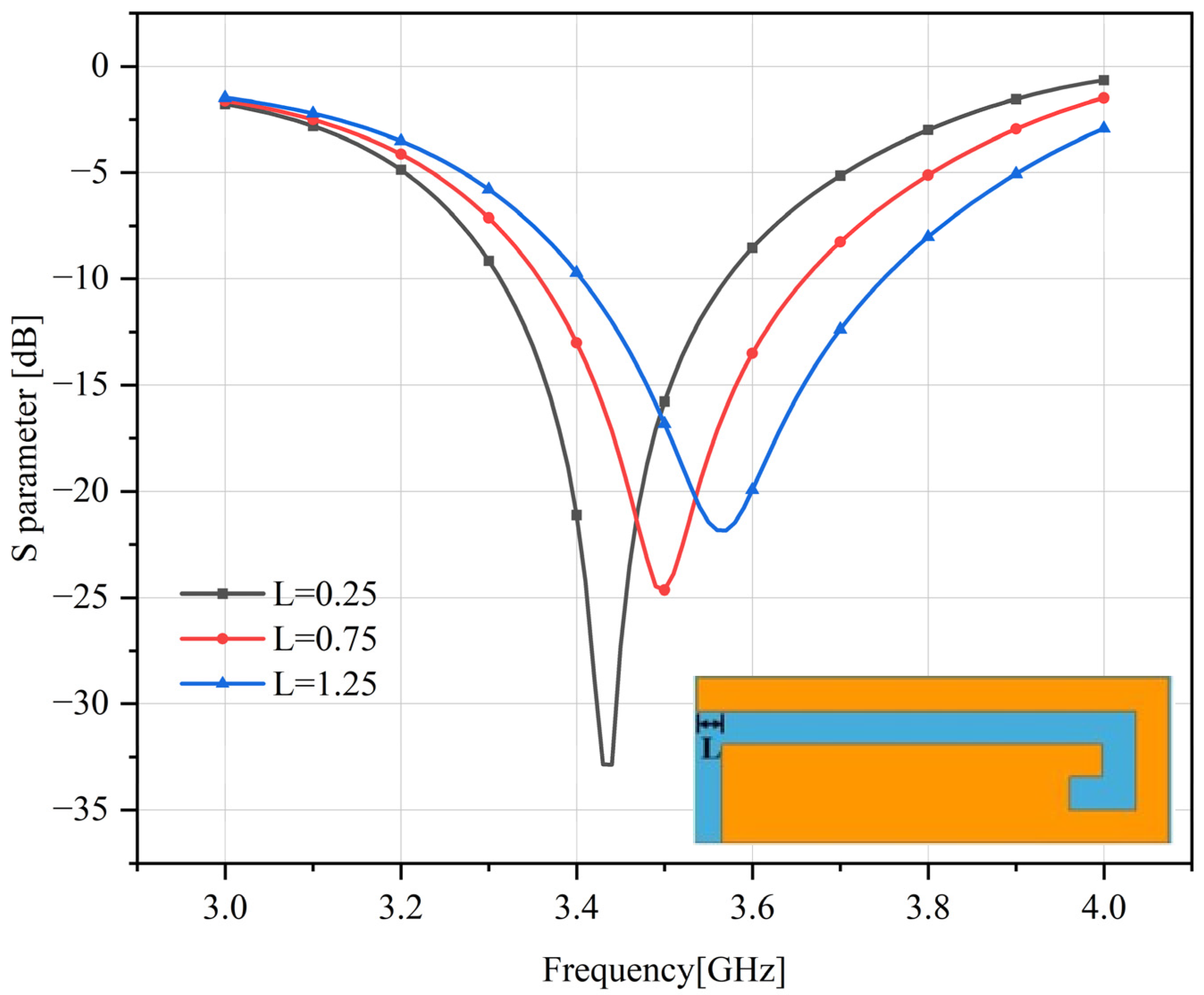
2.2. 5G Section
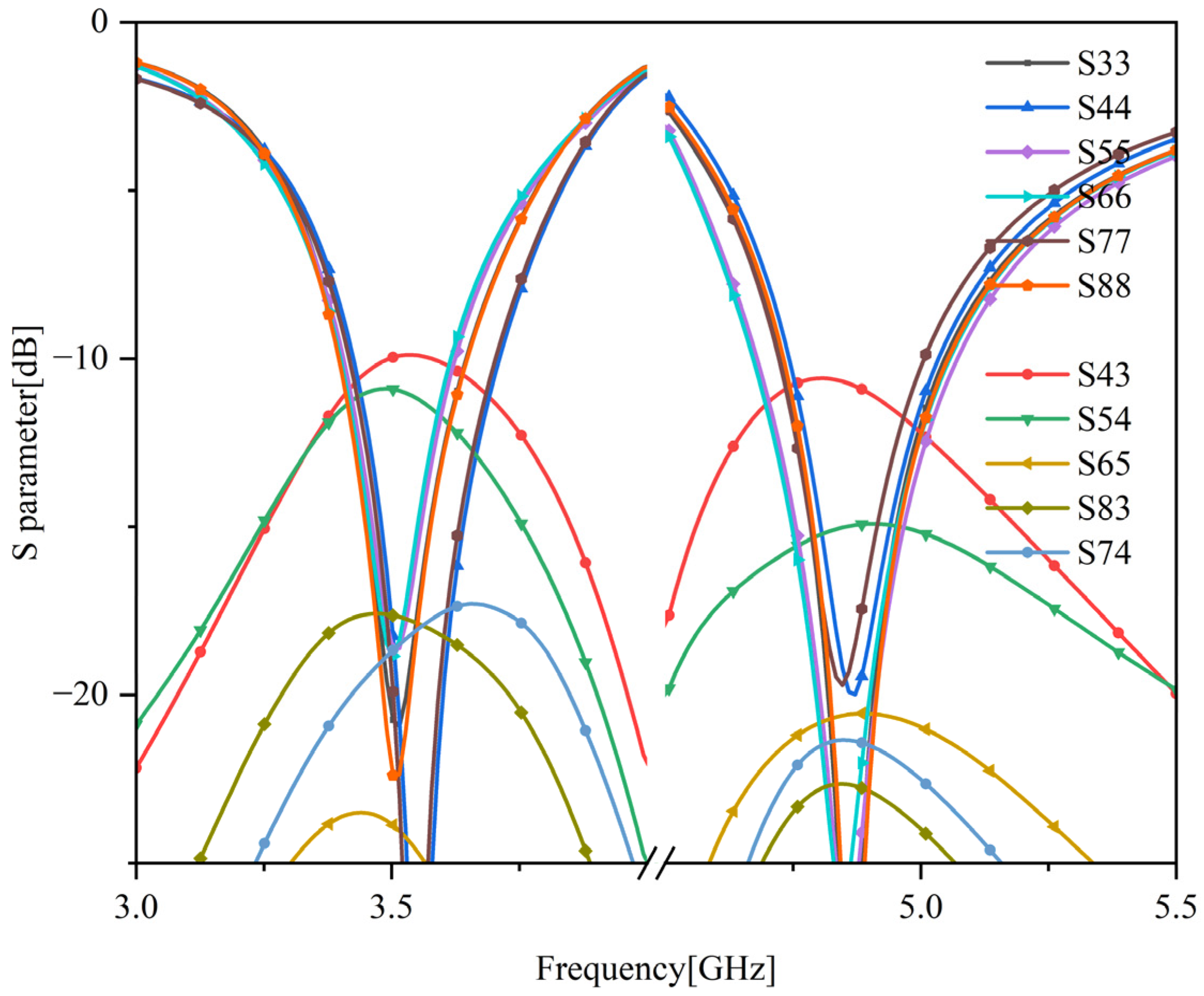
3. Results
4. Prototype and Comparison
5. Conclusions
Author Contributions
Funding
Institutional Review Board Statement
Informed Consent Statement
Data Availability Statement
Conflicts of Interest
References
- Ikram, M.; Al Abbas, E.; Nghia, N.T.; Sayidmarie, K.H.; Abbosh, A. Integrated Frequency-Reconfigurable Slot Antenna and Connected Slot Antenna Array for 4G and 5G Mobile Handsets. IEEE Trans. Antennas Propag. 2019, 67, 7225–7233. [Google Scholar] [CrossRef]
- Giambene, G.; Kota, S.; Pillai, P. Satellite-5G Integration: A Network Perspective. IEEE Netw. 2018, 32, 25–31. [Google Scholar] [CrossRef]
- Al-Dulaimi, A.; Al-Rubaye, S.; Ni, Q.; Sousa, E. 5G Communications Race. IEEE Veh. Technol. Mag. 2015, 10, 43–51. [Google Scholar] [CrossRef]
- Behrad, S.; Bertin, E.; Crespi, N. A survey on authentication and access control for mobile networks: From 4G to 5G. Ann. Telecommun. 2019, 74, 593–603. [Google Scholar] [CrossRef]
- Wang, Y.; Xu, J.; Jiang, L.S. Challenges of System-Level Simulations and Performance Evaluation for 5G Wireless Networks. IEEE Access 2014, 2, 1553–1561. [Google Scholar] [CrossRef]
- Cui, L.; Guo, J.L.; Liu, Y.; Sim, C.Y.D. An 8-Element Dual-Band MIMO Antenna with Decoupling Stub for 5G Smartphone Applications. IEEE Antennas Wirel. Propag. Lett. 2019, 18, 2095–2099. [Google Scholar] [CrossRef]
- Liu, Y.; Ren, A.D.; Liu, H.; Wang, H.Y.; Sim, C.Y.D. Eight-Port MIMO Array Using Characteristic Mode Theory for 5G Smartphone Applications. IEEE Access 2019, 7, 45679–45692. [Google Scholar] [CrossRef]
- Liu, D.Q.; Zhang, M.; Luo, H.J.; Wen, H.L.; Wang, J. Dual-Band Platform-Free PIFA for 5G MIMO Application of Mobile Devices. IEEE Trans. Antennas Propag. 2018, 66, 6328–6333. [Google Scholar] [CrossRef]
- Chen, Q.G.; Lin, H.W.; Wang, J.P.; Ge, L.; Li, Y.J.; Pei, T.Q.; Sim, C.Y.D. Single Ring Slot-Based Antennas for Metal-Rimmed 4G/5G Smartphones. IEEE Trans. Antennas Propag. 2019, 67, 1476–1487. [Google Scholar] [CrossRef]
- Ikram, M.; Nguyen-Trong, N.; Abbosh, A. Hybrid Antenna Using Open-Ended Slot for Integrated 4G/5G Mobile Application. IEEE Antennas Wirel. Propag. Lett. 2020, 19, 710–714. [Google Scholar] [CrossRef]
- Ban, Y.L.; Li, C.; Sim, C.Y.D.; Wu, G.; Wong, K.L. 4G/5G Multiple Antennas for Future Multi-Mode Smartphone Applications. IEEE Access 2016, 4, 2981–2988. [Google Scholar] [CrossRef]
- Wong, K.L.; Kang, T.W.; Tu, M.F. Internal mobile phone antenna array for LTE/WWAN and LTE MIMO operations. Microw. Opt. Technol. Lett. 2011, 53, 1569–1573. [Google Scholar] [CrossRef]
- Ban, Y.L.; Chen, Z.X.; Chen, Z.; Kang, K.; Li, J.L.W. Decoupled Closely Spaced Heptaband Antenna Array for WWAN/LTE Smartphone Applications. IEEE Antennas Wirel. Propag. Lett. 2014, 13, 31–34. [Google Scholar] [CrossRef]
- Kulkarni, J.; Alharbi, A.G.; Desai, A.; Sim, C.Y.D.; Poddar, A. Design and Analysis of Wideband Flexible Self-Isolating MIMO Antennas for Sub-6 GHz 5G and WLAN Smartphone Terminals. Electronics 2021, 10, 3031. [Google Scholar] [CrossRef]
- Kulkarni, J.; Dhabre, S.; Kulkarni, S.; Sim, C.; Cengiz, K. Six-Port Symmetrical CPW-Fed MIMO Antenna for Futuristic Smartphone Devices. In Proceedings of the 2021 6th International Conference for Convergence in Technology (I2CT), Maharashtra, India, 2–4 April 2021. [Google Scholar]
- Zhou, H.; Wu, D.; Zhu, M.M.; Qiu, Y.; Yu, G.L.; Zhou, H.M. Wideband Low-Profile 8 × 8 MIMO Antenna Based IFA Pair for Ultrathin 5G Smartphones. Int. J. Antennas Propag. 2022, 2022, 5281470. [Google Scholar] [CrossRef]
- Qian, B.Y.; Huang, X.Y.; Chen, X.M.; Chang, L.; Wei, K.P.; Al-Hadi, A.A.; Kishk, A.A. Wideband self-decoupled MIMO antenna element based on coupled-loop antenna for 5G smartphones. J. Electromagn. Waves Appl. 2023, 37, 110–132. [Google Scholar] [CrossRef]
- Sghaier, N.; Latrach, L. Design and analysis of wideband MIMO antenna arrays for 5G smartphone application. Int. J. Microw. Wirel. Technol. 2022, 14, 511–523. [Google Scholar] [CrossRef]
- Karaboikis, M.P.; Papamichael, V.C.; Tsachtsiris, G.F.; Soras, C.F.; Makios, V.T. Integrating compact printed antennas onto small diversity/MIMO terminals. IEEE Trans. Antennas Propag. 2008, 56, 2067–2078. [Google Scholar] [CrossRef]



















| Reference | Year | Frequency (GHz) | Size (mm3) | ECC | No. of Ports | Isolation (dB) | Gain (dB) |
|---|---|---|---|---|---|---|---|
| [14] | 2021 | 2.37–5.85 | 70 × 145 × 0.2 | <0.05 | 4 | 17.5 | 4–5.5 |
| [15] | 2021 | 2.3–6.5 | 75 × 150 × 0.8 | 0.01 | 6 | >20 | >3 |
| [16] | 2022 | 3.18–4.4 | 4 × 38 mm2 | <0.17 | 8 | >12.25 | >2.81 |
| [17] | 2023 | 3.3–5.0 | 7 × 30 × 2 | <0.08 | 8 | >10 | – |
| [18] | 2022 | 3.3–7.1 | 22 × 22 mm2 | <0.07 | 8 | >12 | 4.6–6.2 |
| Proposed | 2023 | 2.0–2.6/3.4–3.6/4.8–5.0 | 70 × 140 × 0.8 | <0.1 | 8 | >10 | 5–6/3.5–6/7–8 |
Disclaimer/Publisher’s Note: The statements, opinions and data contained in all publications are solely those of the individual author(s) and contributor(s) and not of MDPI and/or the editor(s). MDPI and/or the editor(s) disclaim responsibility for any injury to people or property resulting from any ideas, methods, instructions or products referred to in the content. |
© 2023 by the authors. Licensee MDPI, Basel, Switzerland. This article is an open access article distributed under the terms and conditions of the Creative Commons Attribution (CC BY) license (https://creativecommons.org/licenses/by/4.0/).
Share and Cite
Hou, J.; Peng, Y.; Huang, J.; Wang, Z.; Denidni, T.A. MIMO 5G Smartphone Antenna with Tri-Band and Decoupled Elements. Sensors 2023, 23, 5186. https://doi.org/10.3390/s23115186
Hou J, Peng Y, Huang J, Wang Z, Denidni TA. MIMO 5G Smartphone Antenna with Tri-Band and Decoupled Elements. Sensors. 2023; 23(11):5186. https://doi.org/10.3390/s23115186
Chicago/Turabian StyleHou, Jianqiang, Yuxuan Peng, Jiajun Huang, Zhefei Wang, and Tayeb A. Denidni. 2023. "MIMO 5G Smartphone Antenna with Tri-Band and Decoupled Elements" Sensors 23, no. 11: 5186. https://doi.org/10.3390/s23115186
APA StyleHou, J., Peng, Y., Huang, J., Wang, Z., & Denidni, T. A. (2023). MIMO 5G Smartphone Antenna with Tri-Band and Decoupled Elements. Sensors, 23(11), 5186. https://doi.org/10.3390/s23115186

