Research on the Directional Adaptability of a Self-Adaptive Energy Harvester
Abstract
1. Introduction
2. DSPEH and Three-Dimensional Excitation
2.1. Design Scheme of the DSPEH
2.2. Definition of the Three-Dimensional Excitation
3. The Variation Law of System Parameters under Three-Dimensional Excitation
3.1. Influence of the Three-Dimensional Excitation on the Natural Frequency of the Cantilever Beam
3.2. Influence of the Three-Dimensional Excitation on the Rotational Resistance Moment
4. Prototype and Experimental Setup
5. Results and Discussion
5.1. The Output Characteristics of the DSPEH When the Excitation Changes in the Rolling Direction
5.2. The Output Characteristics of the System When the Excitation Changes in the Pitch Direction
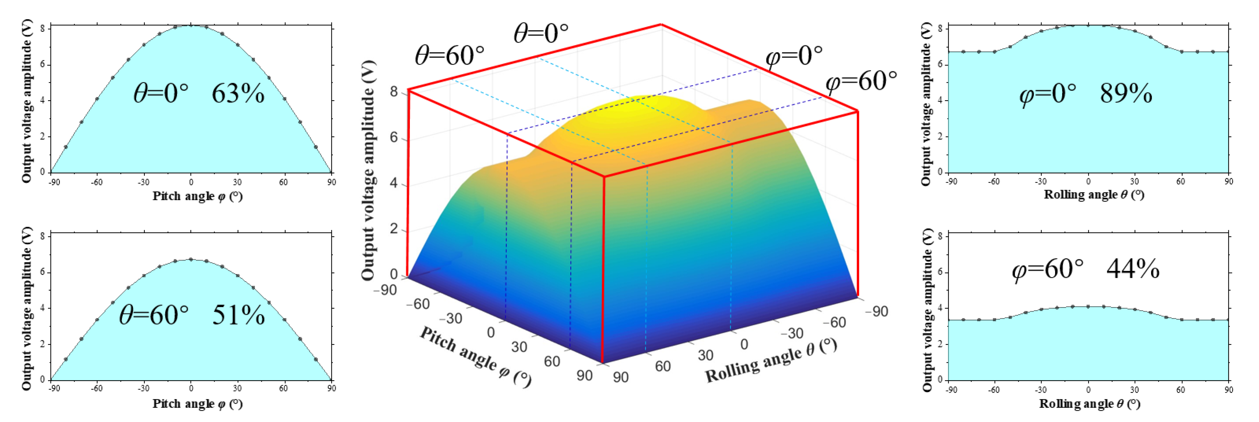
5.3. The Output Characteristics of the System When the Excitation Changes in Multiple Directions
5.4. Performance Analysis and Evaluation of a Multi-Directional Energy Harvester
6. Conclusions
Author Contributions
Funding
Institutional Review Board Statement
Informed Consent Statement
Data Availability Statement
Conflicts of Interest
References
- Jamshed, M.A.; Ali, K.; Abbasi, Q.H.; Imran, M.A.; Ur-Rehman, M. Challenges, Applications, and Future of Wireless Sensors in Internet of Things: A Review. IEEE Sens. J. 2022, 22, 5482–5494. [Google Scholar] [CrossRef]
- Majid, M.; Habib, S.; Javed, A.R.; Rizwan, M.; Srivastava, G.; Gadekallu, T.R.; Lin, J.C. Applications of Wireless Sensor Networks and Internet of Things Frameworks in the Industry Revolution 4.0: A Systematic Literature Review. Sensors 2022, 22, 87. [Google Scholar] [CrossRef] [PubMed]
- Li, J.; Lv, J.; Zhao, P.; Sun, Y.; Yuan, H.; Xu, H. Research and Application of Energy-Efficient Management Approach for Wireless Sensor Networks. Sensors 2023, 23, 1567. [Google Scholar] [CrossRef] [PubMed]
- Khan, J.A.; Qureshi, H.K.; Iqbal, A. Energy management in Wireless Sensor Networks: A survey. Comput. Electr. Eng. 2015, 41, 159–176. [Google Scholar] [CrossRef]
- Sezer, N.; Koç, M. A comprehensive review on the state-of-the-art of piezoelectric energy harvesting. Nano Energy 2021, 80, 67. [Google Scholar] [CrossRef]
- Bhadwal, N.; Ben Mrad, R.; Behdinan, K. Review of Zinc Oxide Piezoelectric Nanogenerators: Piezoelectric Properties, Composite Structures and Power Output. Sensors 2023, 23, 59. [Google Scholar] [CrossRef]
- Zhou, S.; Cao, J.; Inman, D.J.; Lin, J.; Liu, S.; Wang, Z. Broadband tristable energy harvester: Modeling and experiment verification. ApEn 2014, 133, 33–39. [Google Scholar] [CrossRef]
- Carneiro, P.; Soares dos Santos, M.P.; Rodrigues, A.; Ferreira, J.A.F.; Simões, J.A.O.; Marques, A.T.; Kholkin, A.L. Electromagnetic energy harvesting using magnetic levitation architectures: A review. ApEn 2020, 260, 114191. [Google Scholar] [CrossRef]
- Muscat, A.; Bhattacharya, S.; Zhu, Y. Electromagnetic Vibrational Energy Harvesters: A Review. Sensors 2022, 22, 5555. [Google Scholar] [CrossRef]
- Phan, T.N.; Aranda, J.J.; Oelmann, B.; Bader, S. Design Optimization and Comparison of Cylindrical Electromagnetic Vibration Energy Harvesters. Sensor 2021, 21, 85. [Google Scholar] [CrossRef]
- Khan, F.U.; Qadir, M.U. State-of-the-art in vibration-based electrostatic energy harvesting. JMiMi 2016, 26, 103001. [Google Scholar] [CrossRef]
- Guo, X.; Zhang, Y.; Fan, K.; Lee, C.; Wang, F. A comprehensive study of non-linear air damping and “pull-in” effects on the electrostatic energy harvesters. Energy Convers. Manag. 2020, 203, 112264. [Google Scholar] [CrossRef]
- Naito, Y.; Uenishi, K. Electrostatic MEMS Vibration Energy Harvesters inside of Tire Treads. Sensor 2019, 19, 890. [Google Scholar] [CrossRef]
- Hyland, M.; Hunter, H.; Liu, J.; Veety, E.; Vashaee, D. Wearable thermoelectric generators for human body heat harvesting. ApEn 2016, 182, 518–524. [Google Scholar] [CrossRef]
- Liu, Y.; Riba, J.R.; Moreno-Eguilaz, M. Energy Balance of Wireless Sensor Nodes Based on Bluetooth Low Energy and Thermoelectric Energy Harvesting. Sensor 2023, 23, 1480. [Google Scholar] [CrossRef] [PubMed]
- Sargolzaeiaval, Y.; Padmanabhan Ramesh, V.; Neumann, T.V.; Misra, V.; Vashaee, D.; Dickey, M.D.; Öztürk, M.C. Flexible thermoelectric generators for body heat harvesting—Enhanced device performance using high thermal conductivity elastomer encapsulation on liquid metal interconnects. ApEn 2020, 262, 114370. [Google Scholar] [CrossRef]
- Karan, S.K.; Maiti, S.; Lee, J.H.; Mishra, Y.K.; Khatua, B.B.; Kim, J.K. Recent Advances in Self-Powered Tribo-/Piezoelectric Energy Harvesters: All-In-One Package for Future Smart Technologies. Adv. Funct. Mater. 2020, 30, 44–46. [Google Scholar] [CrossRef]
- Li, Z.; Saadatnia, Z.; Yang, Z.; Naguib, H. A hybrid piezoelectric-triboelectric generator for low-frequency and broad-bandwidth energy harvesting. Energy Convers. Manag. 2018, 174, 188–197. [Google Scholar] [CrossRef]
- Li, Y.; Yu, J.; Wei, Y.; Wang, Y.; Feng, Z.; Cheng, L.; Huo, Z.; Lei, Y.; Sun, Q. Recent Progress in Self-Powered Wireless Sensors and Systems Based on TENG. Sensors 2023, 23, 1329. [Google Scholar] [CrossRef]
- Liu, H.; Zhong, J.; Lee, C.; Lee, S.-W.; Lin, L. A comprehensive review on piezoelectric energy harvesting technology: Materials, mechanisms, and applications. Appl. Phys. Rev. 2018, 5, 84. [Google Scholar] [CrossRef]
- Guo, R.; Zhang, H.; Cao, S.; Cui, X.; Yan, Z.; Sang, S. A self-powered stretchable sensor fabricated by serpentine PVDF film for multiple dynamic monitoring. Mater. Des. 2019, 182, 108025. [Google Scholar] [CrossRef]
- Zhou, S.; Hobeck, J.D.; Cao, J.; Inman, D.J. Analytical and experimental investigation of flexible longitudinal zigzag structures for enhanced multi-directional energy harvesting. Smart Mater. Struct. 2017, 26, 8. [Google Scholar] [CrossRef]
- Yang, Y.; Wu, H.; Soh, C.K. Experiment and modeling of a two-dimensional piezoelectric energy harvester. Smart Mater. Struct. 2015, 24, 125011. [Google Scholar] [CrossRef]
- Chen, R.; Ren, L.; Xia, H.; Yuan, X.; Liu, X. Energy harvesting performance of a dandelion-like multi-directional piezoelectric vibration energy harvester. Sensor Actuators A Phys. 2015, 230, 1–8. [Google Scholar] [CrossRef]
- Hung, C.-F.; Chung, T.-K.; Yeh, P.-C.; Chen, C.-C.; Wang, C.-M.; Lin, S.-H. A Miniature Mechanical-Piezoelectric-Configured Three-Axis Vibrational Energy Harvester. IEEE Sens. J. 2015, 15, 5601–5615. [Google Scholar] [CrossRef]
- Yuan, G.; Wang, D.H. A piezoelectric six-DOF vibration energy harvester based on parallel mechanism: Dynamic modeling, simulation, and experiment. Smart Mater. Struct. 2017, 26, 035022. [Google Scholar] [CrossRef]
- Su, W.-J.; Shih, H.-A. A U-shaped multi-modal bi-directional piezoelectric energy harvester. Appl. Phys. Lett. 2018, 113, 66. [Google Scholar] [CrossRef]
- Sun, R.; Li, Q.; Yao, J.; Scarpa, F.; Rossiter, J. Tunable, multi-modal, and multi-directional vibration energy harvester based on three-dimensional architected metastructures. ApEn 2020, 264, 114615. [Google Scholar] [CrossRef]
- Deng, H.; Du, Y.; Wang, Z.; Zhang, J.; Ma, M.; Zhong, X. A multimodal and multidirectional vibrational energy harvester using a double-branched beam. Appl. Phys. Lett. 2018, 112, 67. [Google Scholar] [CrossRef]
- Su, W.-J.; Zu, J. An innovative tri-directional broadband piezoelectric energy harvester. Appl. Phys. Lett. 2013, 103, 203901. [Google Scholar] [CrossRef]
- Fan, K.-Q.; Chao, F.-B.; Zhang, J.-G.; Wang, W.-D.; Che, X.-H. Design and experimental verification of a bi-directional nonlinear piezoelectric energy harvester. Energy Convers. Manag. 2014, 86, 561–567. [Google Scholar] [CrossRef]
- Wang, H.; Hu, F.; Wang, K.; Liu, Y.; Zhao, W. Three-dimensional piezoelectric energy harvester with spring and magnetic coupling. Appl. Phys. Lett. 2017, 110, 85. [Google Scholar] [CrossRef]
- Fan, K.; Chang, J.; Pedrycz, W.; Liu, Z.; Zhu, Y. A nonlinear piezoelectric energy harvester for various mechanical motions. Appl. Phys. Lett. 2015, 106, 12. [Google Scholar] [CrossRef]
- Fan, K.; Liu, S.; Liu, H.; Zhu, Y.; Wang, W.; Zhang, D. Scavenging energy from ultra-low frequency mechanical excitations through a bi-directional hybrid energy harvester. ApEn 2018, 216, 8–20. [Google Scholar] [CrossRef]
- Zhang, H.; Jiang, S.; He, X. Impact-based piezoelectric energy harvester for multidimensional, low-level, broadband, and low-frequency vibrations. Appl. Phys. Lett. 2017, 110, 95. [Google Scholar] [CrossRef]
- Zhao, H.; Wei, X.; Zhong, Y.; Wang, P. A Direction Self-Tuning Two-Dimensional Piezoelectric Vibration Energy Harvester. Sensor 2019, 20, 77. [Google Scholar] [CrossRef]
- Xu, J.; Tang, J. Multi-directional energy harvesting by piezoelectric cantilever-pendulum with internal resonance. Appl. Phys. Lett. 2015, 107, 7. [Google Scholar] [CrossRef]
- Wu, Y.; Qiu, J.; Zhou, S.; Ji, H.; Chen, Y.; Li, S. A piezoelectric spring pendulum oscillator used for multi-directional and ultra-low frequency vibration energy harvesting. ApEn 2018, 231, 600–614. [Google Scholar] [CrossRef]
- Bao, B.; Zhou, S.; Wang, Q. Interplay between internal resonance and nonlinear magnetic interaction for multi-directional energy harvesting. Energy Convers. Manag. 2021, 244, 114465. [Google Scholar] [CrossRef]
- Hu, G.; Liang, J.; Lan, C.; Tang, L. A twist piezoelectric beam for multi-directional energy harvesting. Smart Mater. Struct. 2020, 29, 648. [Google Scholar] [CrossRef]
- Zhao, N.; Yang, J.; Yu, Q.; Zhao, J.; Liu, J.; Wen, Y.; Li, P. Three-dimensional piezoelectric vibration energy harvester using spiral-shaped beam with triple operating frequencies. Rev. Sci. Instrum. 2016, 87, 015003. [Google Scholar] [CrossRef] [PubMed]
- Park, J.C.; Park, J.Y. Asymmetric PZT bimorph cantilever for multi-dimensional ambient vibration harvesting. Ceram. Int. 2013, 39, S653–S657. [Google Scholar] [CrossRef]
- Kim, M.-O.; Pyo, S.; Oh, Y.; Kang, Y.; Cho, K.-H.; Choi, J.; Kim, J. Flexible and multi-directional piezoelectric energy harvester for self-powered human motion sensor. Smart Mater. Struct. 2018, 27, 1361–1665. [Google Scholar] [CrossRef]
- Kovenburg, R.; Gale, R.; Aksak, B. A Multidirectional Piezoelectric Vibration Energy Harvester With Direction-Dependent Dual Resonance. IEEE Trans. Ultrason. Ferroelectr. Freq. Control. 2021, 68, 1844–1853. [Google Scholar] [CrossRef] [PubMed]
- Yang, Z.; Zu, J. Toward Harvesting Vibration Energy from Multiple Directions by a Nonlinear Compressive-Mode Piezoelectric Transducer. IEEE/ASME Trans. Mechatron. 2016, 21, 1787–1791. [Google Scholar] [CrossRef]
- Zhao, L.-C.; Zou, H.-X.; Yan, G.; Zhang, W.-M.; Peng, Z.-K.; Meng, G. Arbitrary-directional broadband vibration energy harvesting using magnetically coupled flextensional transducers. Smart Mater. Struct. 2018, 27, 1361–1665. [Google Scholar] [CrossRef]
- Fattahi, I.; Mirdamadi, H.R. A novel 3D skeletal frame topology for energy harvesting systems. Microelectron. J. 2019, 83, 6–17. [Google Scholar] [CrossRef]
- Homayouni-Amlashi, A.; Mohand-Ousaid, A.; Rakotondrabe, M. Multi Directional Piezoelectric Plate Energy Harvesters Designed By Topology Optimization Algorithm. IEEE Robot. Autom. Lett. 2020, 5, 462–469. [Google Scholar] [CrossRef]
- Han, M.; Yang, X.; Wang, D.F.; Jiang, L.; Song, W.; Ono, T. A mosquito-inspired self-adaptive energy harvester for multi-directional vibrations. ApEn 2022, 315, 119040. [Google Scholar] [CrossRef]
- Wang, Z.; Du, Y.; Li, T.; Yan, Z.; Tan, T. Bioinspired omnidirectional piezoelectric energy harvester with autonomous direction regulation by hovering vibrational stabilization. Energy Convers. Manag. 2022, 261, 115638. [Google Scholar] [CrossRef]
























| Cantilever Beam | Piezoelectric Patch | ||
|---|---|---|---|
| Parameters | Values | Parameters | Values |
| Material | Brass | Material | PVDF |
| Density (103 Kg/m3) | 8.6 | Length Lp (m) | 0.020 |
| Length L (m) | 0.052 | Width Wp (m) | 0.008 |
| Width W (m) | 0.008 | Thickness Hp (m) | 0.000028 |
| Thickness H (m) | 0.0006 | Equivalent electromechanical coupling coefficient α (10−5 Cm−1) | −7.333 |
| Elastic modulus E (GPa) | 120 | Equivalent capacitance CP (10−9 F) | 6.25 |
| Damping coefficient c1 (Ns/m) | 0.1 | Equivalent resistance of the energy harvesting circuit R (106Ω) | 7.0 |
| Tip Mass | Rotation Unit | ||
| Parameters | Values | Parameters | Values |
| Material | Stainless steel | Support shaft material | Polyurethane |
| Weight (Kg) | 0.0031 | Deep Groove Ball Bearing model | 688 |
| Gravity acceleration g (m/s2) | 9.8 | Damping coefficient c2 (Ns) | 0.00002 |
| Mass eccentricity distance r (m) | 0.003 | Friction torque (Nm) | 0 |
Disclaimer/Publisher’s Note: The statements, opinions and data contained in all publications are solely those of the individual author(s) and contributor(s) and not of MDPI and/or the editor(s). MDPI and/or the editor(s) disclaim responsibility for any injury to people or property resulting from any ideas, methods, instructions or products referred to in the content. |
© 2023 by the authors. Licensee MDPI, Basel, Switzerland. This article is an open access article distributed under the terms and conditions of the Creative Commons Attribution (CC BY) license (https://creativecommons.org/licenses/by/4.0/).
Share and Cite
Han, M.; Yang, X.; Guo, S. Research on the Directional Adaptability of a Self-Adaptive Energy Harvester. Sensors 2023, 23, 5106. https://doi.org/10.3390/s23115106
Han M, Yang X, Guo S. Research on the Directional Adaptability of a Self-Adaptive Energy Harvester. Sensors. 2023; 23(11):5106. https://doi.org/10.3390/s23115106
Chicago/Turabian StyleHan, Minglei, Xu Yang, and Shimin Guo. 2023. "Research on the Directional Adaptability of a Self-Adaptive Energy Harvester" Sensors 23, no. 11: 5106. https://doi.org/10.3390/s23115106
APA StyleHan, M., Yang, X., & Guo, S. (2023). Research on the Directional Adaptability of a Self-Adaptive Energy Harvester. Sensors, 23(11), 5106. https://doi.org/10.3390/s23115106

