Convolutional Neural Network-Based Transformer Fault Diagnosis Using Vibration Signals
Abstract
:1. Introduction
- (1)
- An intelligent fault diagnosis method for dry-type transformers using vibration signals is proposed, which can quickly identify different faults under various loads of the transformer with high accuracy.
- (2)
- A CWT method is adopted to convert the raw vibration signals of the transformer to RGB images, which could adequately extract fault features from the different conditions.
- (3)
- An improved CNN model is designed to accurately classify the RGB images for transformer fault diagnosis, and its optimal structure and parameters are determined.
2. Theoretical Background
2.1. Mechanism of Transformer Vibration
2.2. Wavelet Transform
2.3. CNN
3. Experimental Setup and Data
3.1. Experimental Setup
3.2. Data Description and Preprocessing
4. Proposed Fault Diagnosis Method
4.1. Feature Extraction
4.2. Proposed CNN Structure
5. Experimental Verification and Discussion
5.1. Comparison of Different Structures
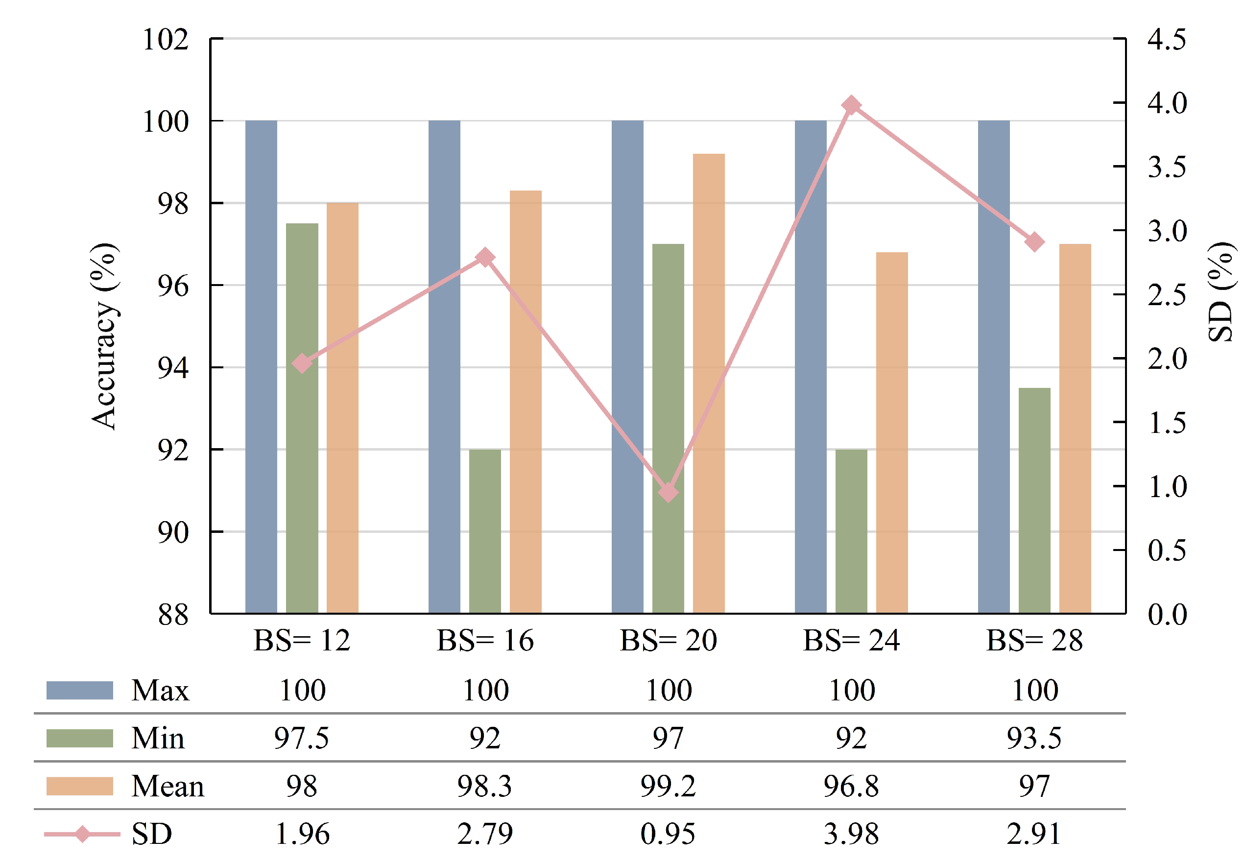
5.2. Comparison of Different Hyperparameters
5.3. Verification of Superiority
6. Conclusions
Author Contributions
Funding
Institutional Review Board Statement
Informed Consent Statement
Data Availability Statement
Conflicts of Interest
References
- Tightiz, L.; Nasab, M.A.; Yang, H.; Addeh, A. An intelligent system based on optimized ANFIS and association rules for power transformer fault diagnosis. ISA Trans. 2020, 103, 63–74. [Google Scholar] [CrossRef] [PubMed]
- Wang, M.; Vandermaar, A.J.; Srivastava, K.D. Review of condition assessment of power transformers in service. IEEE Electr. Insul. Mag. 2002, 18, 12–25. [Google Scholar] [CrossRef]
- Zollanvari, A.; Kunanbayev, K.; Akhavan Bitaghsir, S.; Bagheri, M. Transformer Fault Prognosis Using Deep Recurrent Neural Network over Vibration Signals. IEEE Trans. Instrum. Meas. 2020, 70, 1–11. [Google Scholar] [CrossRef]
- Akhmetov, Y.; Nurmanova, V.; Bagheri, M.; Zollanvari, A.; Gharehpetian, G.B. A new diagnostic technique for reliable decision-making on transformer FRA data in interturn short-circuit condition. IEEE Trans. Ind. Inform. 2020, 17, 3020–3031. [Google Scholar] [CrossRef]
- Wu, Z.; Zhou, L.; Wang, D.; Zhou, M.; Jiang, F.; Yu, X.; Tang, H.; Zhao, H. Feature Analysis of Oscillating Wave Signal for Axial Displacement in Autotransformer. IEEE Trans. Instrum. Meas. 2021, 70, 1–13. [Google Scholar] [CrossRef]
- Abbasi, A.R.; Mahmoudi, M.R.; Arefi, M.M. Transformer Winding Faults Detection Based on Time Series Analysis. IEEE Trans. Instrum. Meas. 2021, 70, 1–10. [Google Scholar] [CrossRef]
- Ye, Z.; Yu, W.; Gou, J.; Tan, K.; Zeng, W.; An, B.; Li, Y. A Calculation Method to Adjust the Short-Circuit Impedance of a Transformer. IEEE Access 2020, 8, 223848–223858. [Google Scholar] [CrossRef]
- Wang, L.; Littler, T.; Liu, X. Gaussian Process Multi-Class Classification for Transformer Fault Diagnosis Using Dissolved Gas Analysis. IEEE Trans. Dielectr. Electr. Insul. 2021, 28, 1703–1712. [Google Scholar] [CrossRef]
- Ma, X.; Hu, H.; Shang, Y. A New Method for Transformer Fault Prediction Based on Multifeature Enhancement and Refined Long Short-Term Memory. IEEE Trans. Instrum. Meas. 2021, 70, 1–11. [Google Scholar] [CrossRef]
- Soni, R.; Chakrabarti, P.; Leonowicz, Z.; Jasiński, M.; Wieczorek, K.; Bolshev, V. Estimation of Life Cycle of Distribution Transformer in Context to Furan Content Formation, Pollution Index, and Dielectric Strength. IEEE Access 2021, 9, 37456–37465. [Google Scholar] [CrossRef]
- Gao, C.; Yu, L.; Xu, Y.; Wang, W.; Wang, S.; Wang, P. Partial discharge localization inside transformer windings via fiber-optic acoustic sensor array. IEEE Trans. Power Deliv. 2019, 34, 1251–1260. [Google Scholar] [CrossRef]
- Sharifinia, S.; Allahbakhshi, M.; Ghanbari, T.; Akbari, A.; Mirzaei, H.R. A New Application of Rogowski Coil Sensor for Partial Discharge Localization in Power Transformers. IEEE Sens. J. 2021, 21, 10743–10751. [Google Scholar] [CrossRef]
- Alehosseini, A.; Hejazi, M.A.; Mokhtari, G.; Gharehpetian, G.B.; Mohammadi, M. Detection and classification of transformer winding mechanical faults using UWB sensors and Bayesian classifier. Int. J. Emerg. Electr. Power Syst. 2015, 16, 207–215. [Google Scholar] [CrossRef]
- Mariprasath, T.; Kirubakaran, V. A real time study on condition monitoring of distribution transformer using thermal imager. Infrared Phys. Technol. 2018, 90, 78–86. [Google Scholar] [CrossRef]
- Jiang, P.; Zhang, Z.; Dong, Z.; Wu, Y.; Xiao, R.; Deng, J.; Pan, Z. Research on distribution characteristics of vibration signals of ±500 kV HVDC converter transformer winding based on load test. Int. J. Electr. Power Energy Syst. 2021, 132, 107200–107210. [Google Scholar] [CrossRef]
- Huerta-Rosales, J.R.; Granados-Lieberman, D.; Garcia-Perez, A.; Camarena-Martinez, D.; Amezquita-Sanchez, J.P.; Valtierra-Rodriguez, M. Short-circuited turn fault diagnosis in transformers by using vibration signals, statistical time features, and support vector machines on fpga. Sensors 2021, 21, 3598. [Google Scholar] [CrossRef]
- Bagheri, M.; Nezhivenko, S.; Naderi, M.S.; Zollanvari, A. A new vibration analysis approach for transformer fault prognosis over cloud environment. Int. J. Electr. Power Energy Syst. 2018, 100, 104–116. [Google Scholar] [CrossRef]
- Cao, C.; Xu, B.; Li, X. Monitoring Method on Loosened State and Deformational Fault of Transformer Winding Based on Vibration and Reactance Information. IEEE Access 2020, 8, 215479–215492. [Google Scholar] [CrossRef]
- Hong, K.; Wang, L.; Xu, S. A Variational Mode Decomposition Approach for Degradation Assessment of Power Transformer Windings. IEEE Trans. Instrum. Meas. 2019, 68, 1221–1229. [Google Scholar] [CrossRef]
- Xie, T.; Huang, X.; Choi, S.K. Intelligent Mechanical Fault Diagnosis Using Multisensor Fusion and Convolution Neural Network. IEEE Trans. Ind. Inform. 2022, 18, 3213–3223. [Google Scholar] [CrossRef]
- Saufi, S.R.; Ahmad, Z.A.B.; Leong, M.S.; Lim, M.H. Gearbox Fault Diagnosis Using a Deep Learning Model with Limited Data Sample. IEEE Trans. Ind. Inform. 2020, 16, 6263–6271. [Google Scholar] [CrossRef]
- Zhang, Z.; Geiger, J.; Pohjalainen, J.; Mousa, A.E.D.; Jin, W.; Schuller, B. Deep learning for environmentally robust speech recognition: An overview of recent developments. ACM Trans. Intell. Syst. Technol. 2018, 9, 1–28. [Google Scholar] [CrossRef]
- Jiang, F.; Lu, Y.; Chen, Y.; Cai, D.; Li, G. Image recognition of four rice leaf diseases based on deep learning and support vector machine. Comput. Electron. Agric. 2020, 179, 105824–105832. [Google Scholar] [CrossRef]
- Rastgoo, M.N.; Nakisa, B.; Maire, F.; Rakotonirainy, A.; Chandran, V. Automatic driver stress level classification using multimodal deep learning. Expert Syst. Appl. 2019, 138, 112793–112803. [Google Scholar] [CrossRef]
- Hong, K.; Jin, M.; Huang, H. Transformer winding fault diagnosis using vibration image and deep learning. IEEE Trans. Power Deliv. 2021, 36, 676–685. [Google Scholar] [CrossRef]
- Xiao, R.; Zhang, Z.; Wu, Y.; Jiang, P.; Deng, J. Multi-scale information fusion model for feature extraction of converter transformer vibration signal. Meas. J. Int. Meas. Confed. 2021, 180, 109555–109566. [Google Scholar] [CrossRef]
- Arroyo, A.; Martinez, R.; Manana, M.; Pigazo, A.; Minguez, R. Detection of ferroresonance occurrence in inductive voltage transformers through vibration analysis. Int. J. Electr. Power Energy Syst. 2019, 106, 294–300. [Google Scholar] [CrossRef]
- Chen, B.; Shen, B.; Chen, F.; Tian, H.; Xiao, W.; Zhang, F.; Zhao, C. Fault diagnosis method based on integration of RSSD and wavelet transform to rolling bearing. Meas. J. Int. Meas. Confed. 2019, 131, 400–411. [Google Scholar] [CrossRef]
- Gao, J.; Wang, B.; Wang, Z.; Wang, Y.; Kong, F. A wavelet transform-based image segmentation method. Optik 2020, 208, 164123–164130. [Google Scholar] [CrossRef]
- Mojahed, A.; Bergman, L.A.; Vakakis, A.F. New inverse wavelet transform method with broad application in dynamics. Mech. Syst. Signal Process. 2021, 156, 107691–107712. [Google Scholar] [CrossRef]
- Chen, R.; Huang, X.; Yang, L.; Xu, X.; Zhang, X.; Zhang, Y. Intelligent fault diagnosis method of planetary gearboxes based on convolution neural network and discrete wavelet transform. Comput. Ind. 2019, 106, 48–59. [Google Scholar] [CrossRef]
- Guo, M.F.; Yang, N.C.; You, L.X. Wavelet-transform based early detection method for short-circuit faults in power distribution networks. Int. J. Electr. Power Energy Syst. 2018, 99, 706–721. [Google Scholar] [CrossRef]
- Li, Z.; Liu, F.; Yang, W.; Peng, S.; Zhou, J. A Survey of Convolutional Neural Networks: Analysis, Applications, and Prospects. IEEE Trans. Neural Netw. Learn. Syst. 2021, 33, 6999–7019. [Google Scholar] [CrossRef]
- Yang, R.; Singh, S.K.; Tavakkoli, M.; Amiri, N.; Yang, Y.; Karami, M.A.; Rai, R. CNN-LSTM deep learning architecture for computer vision-based modal frequency detection. Mech. Syst. Signal Process. 2020, 144, 106885–106902. [Google Scholar] [CrossRef]
- Liu, J.; Yang, Y.; Lv, S.; Wang, J.; Chen, H. Attention-based BiGRU-CNN for Chinese question classification. J. Ambient Intell. Humaniz. Comput. 2019, 1–12. [Google Scholar] [CrossRef]
- LeCun, Y. LeNet-5, Convolutional Neural Networks. 2015; Volume 20, p. 14. Available online: http://yann.lecun.com/exdb/lenet (accessed on 17 April 2023).
- He, K.; Zhang, X.; Ren, S.; Sun, J. Identity mappings in deep residual networks. In Proceedings of the Computer Vision–ECCV 2016: 14th European Conference, Amsterdam, The Netherlands, 11–14 October 2016; Proceedings, Part IV 14. Springer: Berlin/Heidelberg, Germany, 2016; pp. 630–645. [Google Scholar]
- Tan, M.; Le, Q. Efficientnet: Rethinking model scaling for convolutional neural networks. In Proceedings of the 36th International Conference on Machine Learning (ICML), Long Beach, CA, USA, 10–15 June 2019; pp. 6105–6114. [Google Scholar]
- Zhao, B.; Zhang, X.; Li, H.; Yang, Z. Intelligent fault diagnosis of rolling bearings based on normalized CNN considering data imbalance and variable working conditions. Knowl.-Based Syst. 2020, 199, 105971–105986. [Google Scholar] [CrossRef]
- Ben Ali, J.; Fnaiech, N.; Saidi, L.; Chebel-Morello, B.; Fnaiech, F. Application of empirical mode decomposition and artificial neural network for automatic bearing fault diagnosis based on vibration signals. Appl. Acoust. 2015, 89, 16–27. [Google Scholar] [CrossRef]
- Shao, H.; Jiang, H.; Zhang, X.; Niu, M. Rolling bearing fault diagnosis using an optimization deep belief network. Meas. Sci. Technol. 2015, 26, 115002. [Google Scholar] [CrossRef]













| Categories | Parameters |
|---|---|
| Rated power | 50 kVA |
| Rated frequency | 50 Hz |
| Type of cooling | air natural cooling |
| Service condition | Indoor |
| Host weight | 330 kg |
| Shape size | 740 × 460 × 790 mm |
| Rated voltage (primary) | 10 kV |
| Rated voltage (secondary) | 0.4 kV |
| Working States | Loads (kW) | Categories |
|---|---|---|
| Normal state | 20 | NO20 |
| 40 | NO40 | |
| Core clamp looseness | 20 | CC20 |
| 40 | CC40 | |
| Winding clamp looseness | 20 | WC20 |
| 40 | WC40 | |
| Connection bar looseness | 20 | CB20 |
| 40 | CB40 | |
| Turn-to-turn short circuit | 20 | TT20 |
| 40 | TT40 |
| Structures | Testing Accuracy (%) | |||||||
|---|---|---|---|---|---|---|---|---|
| Max | Min | Mean | SD | |||||
| CH1 | CH2 | CH1 | CH2 | CH1 | CH2 | CH1 | CH2 | |
| CNN- 2704-126 | 96.5 | 97.5 | 58.5 | 63 | 93.95 | 95.3 | 12.31 | 6.30 |
| CNN- 2704-256 | 95 | 98 | 65.5 | 87 | 92.3 | 94.15 | 14.92 | 9.11 |
| CNN- 2704-126-32 | 100 | 99.5 | 84 | 79.5 | 94.55 | 96.35 | 4.81 | 4.39 |
| CNN- 2704-126-64 | 99 | 100 | 95.5 | 97.5 | 95.15 | 98 | 2.94 | 1.96 |
| CNN- 2704-126-128 | 100 | 100 | 87.5 | 93.5 | 93.85 | 95.3 | 5.19 | 3.03 |
| Methods | Testing Accuracy (%) | |||
|---|---|---|---|---|
| Max | Min | Mean | SD | |
| ANN | 84.5 | 55.5 | 71.73 | 9.25 |
| DBN | 87.5 | 68 | 82.1 | 8.9 |
| 1D-CNN | 92.5 | 84.5 | 91.52 | 5.47 |
| HHT-CNN | 95.5 | 89 | 93.25 | 2.84 |
| STFT-CNN | 95 | 87.5 | 94.14 | 3.93 |
| CWT-CNN | 100 | 99.5 | 99.95 | 0.32 |
Disclaimer/Publisher’s Note: The statements, opinions and data contained in all publications are solely those of the individual author(s) and contributor(s) and not of MDPI and/or the editor(s). MDPI and/or the editor(s) disclaim responsibility for any injury to people or property resulting from any ideas, methods, instructions or products referred to in the content. |
© 2023 by the authors. Licensee MDPI, Basel, Switzerland. This article is an open access article distributed under the terms and conditions of the Creative Commons Attribution (CC BY) license (https://creativecommons.org/licenses/by/4.0/).
Share and Cite
Li, C.; Chen, J.; Yang, C.; Yang, J.; Liu, Z.; Davari, P. Convolutional Neural Network-Based Transformer Fault Diagnosis Using Vibration Signals. Sensors 2023, 23, 4781. https://doi.org/10.3390/s23104781
Li C, Chen J, Yang C, Yang J, Liu Z, Davari P. Convolutional Neural Network-Based Transformer Fault Diagnosis Using Vibration Signals. Sensors. 2023; 23(10):4781. https://doi.org/10.3390/s23104781
Chicago/Turabian StyleLi, Chao, Jie Chen, Cheng Yang, Jingjian Yang, Zhigang Liu, and Pooya Davari. 2023. "Convolutional Neural Network-Based Transformer Fault Diagnosis Using Vibration Signals" Sensors 23, no. 10: 4781. https://doi.org/10.3390/s23104781
APA StyleLi, C., Chen, J., Yang, C., Yang, J., Liu, Z., & Davari, P. (2023). Convolutional Neural Network-Based Transformer Fault Diagnosis Using Vibration Signals. Sensors, 23(10), 4781. https://doi.org/10.3390/s23104781

