Design and Optimization of Multi-Stage TMR Sensors for Power Equipment AC/DC Leakage Current Detection
Abstract
1. Introduction
- The method possesses excellent front-end magnetic field measurement sensitivity and anti-magnetic interference performance;
- The method can increase the accuracy and stability of microampere level current sensor measurements without increasing the size of the sensor or the processing complexity of the circuit;
- An improved non-dominated ranking genetic algorithm (ACGWO-BP-NSGA-II) is proposed for nonlinear mapping to assure the optimal performance of the front-end magnetic measurement of the sensor with the smallest possible size.
2. Multi-Stage Open-Loop TMR Sensor Characterization
2.1. Multi-Stage Open-Loop TMR Sensor Structure
2.2. Magnetic Sensitivity Analysis
2.3. Analysis of Anti-Magnetic Capacity
3. Dimensional Optimization Design of ACGWO-BP-NSGA-II
3.1. Optimization Target Establishment
3.2. ACGWO-BP-NSGA-II Optimization Process
- (1)
- Build the multi-stage magnetic ring structure model. Determine the model dimensions r1 = 10 mm, d = 4 mm, h = 10 mm, the number of stages N = 3, initialize p = th1 = th2 = th3 = 1 mm, and perform relevant material and boundary settings and meshing.
- (2)
- Set the scan range of optimized dimension parameters. Set the scan range of the first stage size p to 6–15 mm; the variation range of th1 and th2 to 1–10 mm.
- (3)
- Solve the calculation. Set the interference current I′ to 1–1000 mA, and change p, th1, and th2 to obtain the magnetic field measurement error MC1(X)–MC4(X) obtained for sample X under four interferences according to the setting in Equation (2), then the fitted sample for mapping MCj() is (X, MCj(X)).
3.2.1. ACWGO-BP Nonlinear Fitting Algorithm
- (a)
- Chaos mapping initialization. Tent chaos mapping is introduced in the initialization to ensure the uniformity of the initial population distribution and the diversity of the populations, and to speed up the convergence of the GWO algorithm in the exploration space.The sequence of Tent chaos mapping is shown in Equation (16)where u is a random number between [0, 1].
- (b)
- Then, the initial position sequence of gray wolf is is shown in Equation (17).
- (c)
- Adaptive descent strategy. Since the path of GWO in the process of finding the optimal solution, exploring the optimal search itself is not linearly convergent. The traditional convergence path presents linear convergence as shown in Equation (11), and cannot reflect the actual optimization approach and release the inherent ability of GWO’s superior search. The adaptive descent strategy as shown in Equation (18) is introduced to ensure its balance in local and global search.where pp is the adaptive step size, n = 1, 2, …, pp, κ is the random compensation factor [0, 0.1]. when n takes 1 and pp, the random compensation factor κ takes 0.
- (d)
- Location update correction. Finally, inspired by the literature [38], a similar correction was made to the location update formula to play and use individual information to guide the individual search capabilities of wolves.where bb1 and bb2 are constant coefficients in the range of (0, 1] for change adjustment exploration capability; cc1 and cc2 are uniform random coefficients.
3.2.2. ACGWO-BP-NSGA-II Optimization Framework
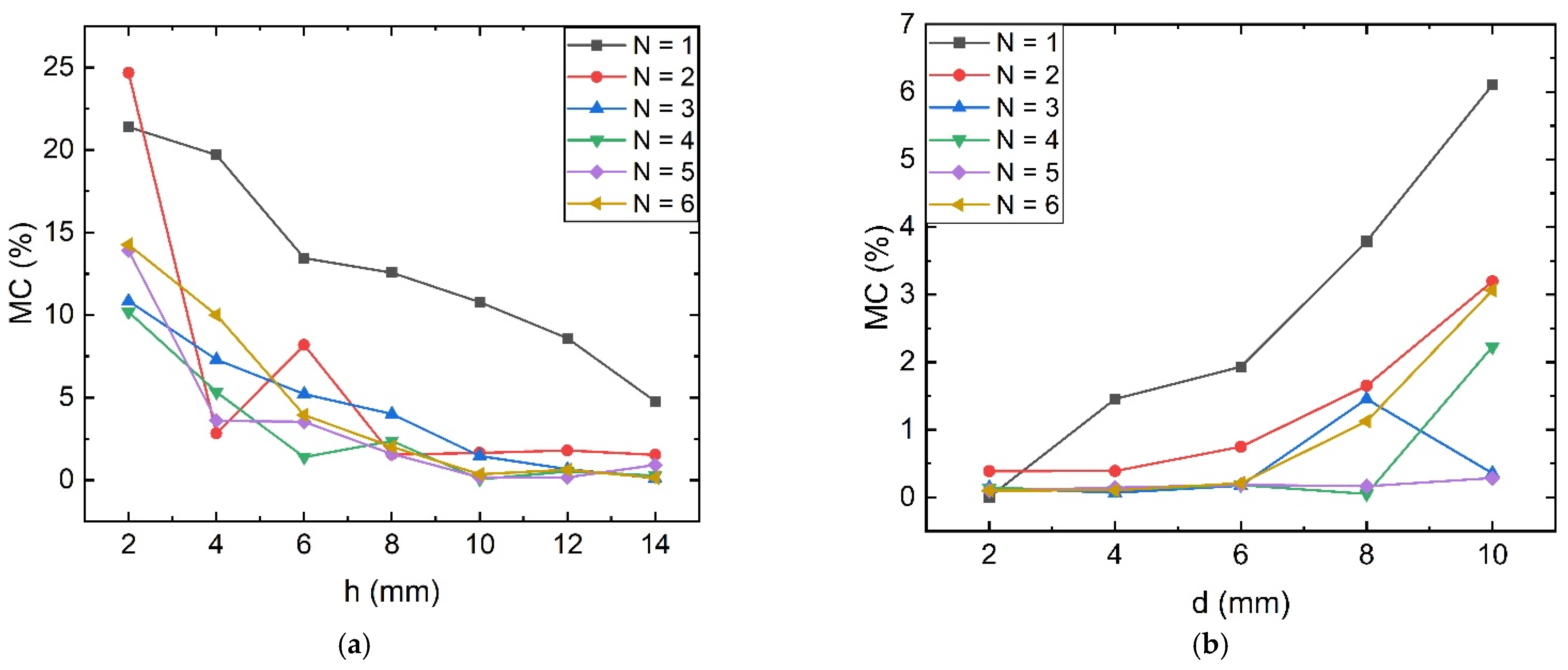
3.3. Results Validation and Analysis
4. Experimental Verification
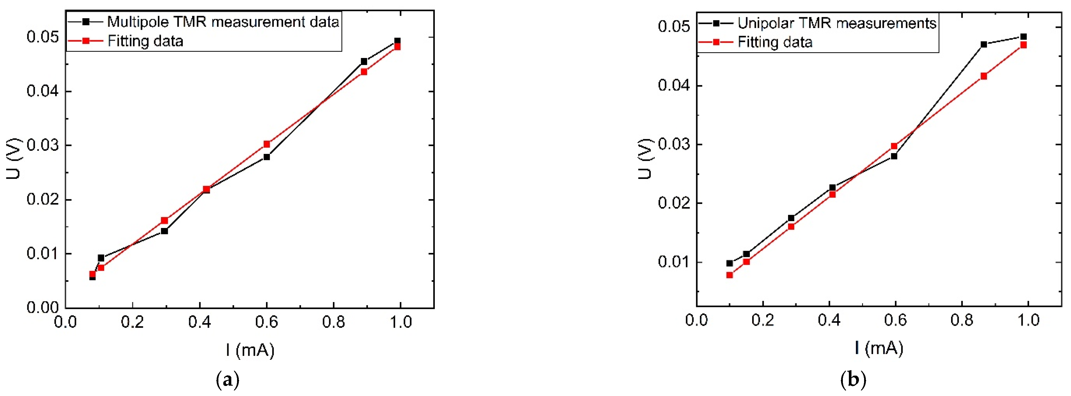
4.1. AC Characteristics Experiment
4.1.1. No External Interference Situation
4.1.2. External Magnetic Interference Situation
4.2. DC Characteristics Experiment
4.3. Performance Comparison Analysis
5. Conclusions
Author Contributions
Funding
Institutional Review Board Statement
Informed Consent Statement
Data Availability Statement
Acknowledgments
Conflicts of Interest
Nomenclature
| TMR | Tunneling magnetoresistive |
| AMR | Anisotropic magnetoresistive |
| GMR | Giant magnetoresistive |
| A | Magnetic field measurement sensitivity |
| MC | Relative error of magnetic field measurement |
| M | Combined error of magnetic field measurement |
| C | The total thickness of the magnetic ring |
| F | Fitting the mapping |
| ACGWO | Adaptive Gray Wolf Algorithm |
| ACGWO-BP-NSGA-II | The improved non-dominated ranking genetic algorithm |
| R2 | The goodness-of-fit |
| MAE | The mean absolute error |
| B | Magnetic induction strength magnitude |
| N | Number of stages of multi-stage magnetic ring |
| h | Height of multi-stage magnetic ring |
| p | Thickness of inner stage polymagnetic layer |
| r | Radius of lead wire |
| r1 | Inner radius of multi-stage magnetic ring |
| thi | Thickness of attenuation layer at each level |
| d | Width of air gap of magnetic ring opening |
| I′i (i = A–D) | Interference current in four directions |
| δ | Non-linear error |
| τ | The electromagnetic propagation coefficient |
| μ | Permeability |
| α | Dielectric constant |
| β | Phase constant |
| σ | Electrical conductivity |
References
- Villalobos, R.J.; Moran, L.A.; Huenupan, F.; Vallejos, F.; Moncada, R.; Pesce, C.G. A New Current Transducer for On-Line Monitoring of Leakage Current on HV Insulator Strings. IEEE Access 2022, 10, 78818–78826. [Google Scholar] [CrossRef]
- Ketjoy, N.; Mensin, P.; Chamsa-Ard, W. Impacts on Insulation Resistance of Thin Film Modules: A Case Study of a Flooding of a Photovoltaic Power Plant in Thailand. PLoS ONE 2022, 17, e0274839. [Google Scholar] [CrossRef]
- Salem, A.A.; Abd-Rahman, R.; Al-Gailani, S.A.; Kamarudin, M.S.; Ahmad, H.; Salam, Z. The Leakage Current Components as a Diagnostic Tool to Estimate Contamination Level on High Voltage Insulators. IEEE Access 2020, 8, 92514–92528. [Google Scholar] [CrossRef]
- Zhang, W.; Armstrong, M.; Elgendy, M.A. Mitigation of DC Current Injection in Transformer-Less Grid-Connected Inverters Using a Voltage Filtering DC Extraction Approach. IEEE Trans. Energy Convers. 2019, 34, 426–434. [Google Scholar] [CrossRef]
- Vukosavic, S.N.; Peric, L.S. High-Precision Active Suppression of DC Bias in AC Grids by Grid-Connected Power Converters. IEEE Trans. Ind. Electron. 2017, 64, 857–865. [Google Scholar] [CrossRef]
- Vukosavic, S.N.; Peric, L.S. High-Precision Sensing of DC Bias in AC Grids. IEEE Trans. Power Deliv. 2015, 30, 1179–1186. [Google Scholar] [CrossRef]
- Ziegler, S.; Woodward, R.C.; Iu, H.H.-C.; Borle, L.J. Current Sensing Techniques: A Review. IEEE Sens. J. 2009, 9, 354–376. [Google Scholar] [CrossRef]
- Yatchev, I.; Sen, M.; Balabozov, I.; Kostov, I. Modelling of a Hall Effect-Based Current Sensor with an Open Core Magnetic Concentrator. Sensors 2018, 18, 1260. [Google Scholar] [CrossRef]
- Li, J.; Ma, G.; Zhang, S.; Wang, C.; Jin, Z.; Zong, W.; Zhao, G.; Wang, X.; Xu, J.; Cao, D.; et al. AC/DC Dual-Mode Magnetoelectric Sensor with High Magnetic Field Resolution and Broad Operating Bandwidth. AIP Adv. 2021, 11, 45015. [Google Scholar] [CrossRef]
- Shao, S.; Yu, N.P.; Xu, X.P.; Bai, J.M.; Wu, X.K.; Zhang, J.M. Tunnel Magnetoresistance-Based Short-Circuit and Over-Current Protection for IGBT Module. IEEE Trans. Power Electron. 2020, 35, 10930–10944. [Google Scholar] [CrossRef]
- Wang, K.; Zhang, Y.; Xiao, G. Anomalous Hall Sensors with High Sensitivity and Stability Based on Interlayer Exchange-Coupled Magnetic Thin Films. Phys. Rev. Appl 2020, 13, 64009. [Google Scholar] [CrossRef]
- Ajbl, A.; Pastre, M.; Kayal, M. A Fully Integrated Hall Sensor Microsystem for Contactless Current Measurement. IEEE Sens. J. 2013, 13, 2271–2278. [Google Scholar] [CrossRef]
- Crescentini, M.; Marchesi, M.; Romani, A.; Tartagni, M.; Traverso, P.A. A Broadband, On-Chip Sensor Based on Hall Effect for Current Measurements in Smart Power Circuits. IEEE Trans. Instrum. Meas. 2018, 67, 1470–1485. [Google Scholar] [CrossRef]
- Apa, L.; Carraro, S.; Pisu, S.; Peruzzi, B.; Rizzuto, E.; Prete, Z.D. Development and Validation of a Device for in Vitro Uniaxial Cell Substrate Deformation with Real-Time Strain Control. Meas. Sci. Technol. 2020, 31, 125702. [Google Scholar] [CrossRef]
- Trigona, C.; Sinatra, V.; Ando, B.; Baglio, S.; Bulsara, A.R. Flexible Microwire Residence Times Difference Fluxgate Magnetometer. IEEE Trans. Instrum. Meas. 2017, 66, 559–568. [Google Scholar] [CrossRef]
- Watanabe, Y.; Otsubo, M.; Yanai, T.; Nakano, M.; Fukunaga, H. Temperature Characteristics of a Fluxgate Current Sensor with Fe-Ni-Co Ring Core; IEEE: New York, NY, USA, 2015; ISBN 978-1-4799-7321-7. [Google Scholar]
- Yang, X.G.; Gao, L.J.; Li, C.C.; Jin, S.S.; Gao, L.H.; Xu, L.L. Wide range bidirectional saturation fluxgate current sensor. Chin. J. Electr. Eng. 2018, 38, 2104–2111+2225. [Google Scholar]
- Li, H.; Zhou, L.; Jiao, Y.; Zhu, H.; Chen, Q.; Yang, S. Analysis on the Zero Offset of a Microampere DC Current Sensor Using the Open-Loop Magnetic Modulator and the Suppression. IEEE Sens. J. 2022, 22, 18418–18427. [Google Scholar] [CrossRef]
- Weiss, R.; Mattheis, R.; Reiss, G. Advanced Giant Magnetoresistance Technology for Measurement Applications. Meas. Sci. Technol. 2013, 24, 82001. [Google Scholar] [CrossRef]
- Mlejnek, P.; Vopalensky, M.; Ripka, P. AMR Current Measurement Device. Sens. Actuator A-Phys. 2008, 141, 649–653. [Google Scholar] [CrossRef]
- Mușuroi, C.; Oproiu, M.; Volmer, M.; Firastrau, I. High Sensitivity Differential Giant Magnetoresistance (GMR) Based Sensor for Non-Contacting DC/AC Current Measurement. Sensors 2020, 20, 323. [Google Scholar] [CrossRef]
- Garcia Vidal, E.; Ramirez Munoz, D.; Ravelo Arias, S.I.; Sanchez Moreno, J.; Cardoso, S.; Ferreira, R.; Freitas, P. Electronic Energy Meter Based on a Tunnel Magnetoresistive Effect (TMR) Current Sensor. Materials 2017, 10, 1134. [Google Scholar] [CrossRef] [PubMed]
- Su, W.; Wang, Z.; Wen, T.; Hu, Z.; Wu, J.; Zhou, Z.; Liu, M. Linear Anisotropic Magnetoresistive Sensor Without Barber-Pole Electrodes. IEEE Electron Device Lett. 2019, 40, 969–972. [Google Scholar] [CrossRef]
- Baibich, M.; Broto, J.; Fert, A.; Vandau, F.; Petroff, F.; Eitenne, P.; Creuzet, G.; Friederich, A.; Chazelas, J. Giant Magnetoresistance of (001)Fe/(001) Cr Magnetic Superlattices. Phys. Rev. Lett. 1988, 61, 2472–2475. [Google Scholar] [CrossRef]
- Miyazaki, T.; Tezuka, N. Giant Magnetic Tunneling Effect in Fe/Al2o3/Fe Junction. J. Magn. Magn. Mater. 1995, 139, L231–L234. [Google Scholar] [CrossRef]
- Djayaprawira, D.D.; Tsunekawa, K.; Nagai, M.; Maehara, H.; Yamagata, S.; Watanabe, N.; Yuasa, S.; Suzuki, Y.; Ando, K. 230% Room-Temperature Magnetoresistance in CoFeB∕MgO∕CoFeB Magnetic Tunnel Junctions. Appl. Phys. Lett. 2005, 86, 92502. [Google Scholar] [CrossRef]
- Zheng, C.; Zhu, K.; de Freitas, S.C.; Chang, J.-Y.; Davies, J.E.; Eames, P.; Freitas, P.P.; Kazakova, O.; Kim, C.; Leung, C.-W.; et al. Magnetoresistive Sensor Development Roadmap (Non-Recording Applications). IEEE Trans. Magn. 2019, 55, 800130. [Google Scholar] [CrossRef]
- Yang, X.; Xie, C.; Wang, Y.; Wang, Y.; Yang, W.; Dong, G. Optimization Design of a Giant Magneto Resistive Effect Based Current Sensor with a Magnetic Shielding. IEEE Trans. Appl. Supercond. 2014, 24, 9500304. [Google Scholar]
- Xu, X.P.; Wang, S.; Liu, T.Z.; Zhu, M.; Wang, J.G. TMR Busbar Current Sensor with Good Frequency Characteristics. IEEE Trans. Instrum. Meas. 2021, 70, 1504109. [Google Scholar] [CrossRef]
- Li, Z.J.; Ju, D.F.; Zhou, X.; Qiu, Y.F.; Li, Y.T.; Qian, Z. Research on weak current measurement method based on giant magnetoresistive sensors. Electr. Meas. Instrum. 2016, 53, 28–32. [Google Scholar]
- Lei, M.; Peng, T.; Zhou, F.; Yu, J.; Liang, S.; Liu, J.; Li, L. Optimal Design and Implementation of Tunnelling Magnetoresistance Based Small Current Sensor with Temperature Compensation. Energy Rep. 2022, 8, 137–146. [Google Scholar] [CrossRef]
- Hu, J.; Wang, B.; Sheng, X.F.; Zhao, G.; Zhao, S.; He, J.L. Design and noise analysis of broadband tiny range current sensors based on tunneling magnetoresistance effect. High Volt. Technol. 2020, 46, 2545–2553. [Google Scholar]
- Song, J.K.; Zhang, G.Q.; Nie, Y.; Wang, G.Z.; Li, H.B.; Hou, Y.W. Design and Simulation of a magnetic balance weak current sensor based on TMR. In Proceedings of the 2020 2nd International Conference on Electronic Engineering and Informatics, Lanzhou, China, 17–19 July 2020; Volume 1617. [Google Scholar]
- Zhou, L.Y. Research on Current Sensing Technology Based on Tunneling Magnetoresistance Effect. Master’s Thesis, Chongqing University, Chongqing, China, 2020. [Google Scholar]
- Yang, Z.; Cai, X.B.; Wu, B.; Tan, X.Y.; Zhang, W.B.; Li, T. Open-loop fluxgate current sensor polycyclic design. Sens. Microsyst. 2021, 40, 108–111. [Google Scholar]
- Wang, H.; Fan, Z.; Guo, X. Analysis of the factors affecting electromagnetic interference in substations and anti-interference measures. Hebei Electr. Power Technol. 2015, 34, 49–51. [Google Scholar]
- Mirjalili, S.; Mirjalili, S.M.; Lewis, A. Grey Wolf Optimizer. Adv. Eng. Softw. 2014, 69, 46–61. [Google Scholar] [CrossRef]
- Long, W.; Jiao, J.; Liang, X.; Tang, M. An Exploration-Enhanced Grey Wolf Optimizer to Solve High-Dimensional Numerical Optimization. Eng. Appl. Artif. Intell. 2018, 68, 63–80. [Google Scholar] [CrossRef]
- Deb, K.; Pratap, A.; Agarwal, S.; Meyarivan, T. A Fast and Elitist Multiobjective Genetic Algorithm: NSGA-II. IEEE Trans. Evol. Comput. 2002, 6, 182–197. [Google Scholar] [CrossRef]
- Mușuroi, C.; Oproiu, M.; Volmer, M.; Neamtu, J.; Avram, M.; Helerea, E. Low Field Optimization of a Non-Contacting High-Sensitivity GMR-Based DC/AC Current Sensor. Sensors 2021, 21, 2564. [Google Scholar] [CrossRef]




















| Material Name | Relative Permeability |
|---|---|
| Permalloy | 50,000 |
| Aluminum | 1 |
| Copper | 1 |
| Model Label Name | Size (mm) |
|---|---|
| r | 2 |
| r1 | 10 |
| h | 10 |
| d | 8 |
| p | 10 |
| th1–thN−1 | 2 |
| Level N | Size Setting |
|---|---|
| 1 | p = 10 mm |
| 2 | p = 5 mm, th1 = 15 mm |
| 3 | p = 3 mm, th1 = 3 mm, th2 = 4 mm |
| 4 | p = 2.5 mm, th1 = 2.5 mm, th2 = 2.5 mm, th3 = 2.5 mm |
| 5 | p = 2 mm, th1 = 2 mm, th2 = 2 mm, th3 = 2 mm, th4 = 2 mm |
| 6 | p = 1.6 mm, th1 = 1.6 mm, th2 = 1.6 mm, th3 = 1.6 mm, th4 = 1.6 mm, th5 = 2 mm |
| Training Process |
|---|
|
| Interference A | ||||
| Algorithm Name | R2train | MAEtrain | R2test | MAEtest |
| Random forest | 0.94 | 0.38 | 0.87 | 0.6 |
| GRNN | 0.98 | 0.2 | 0.95 | 0.35 |
| Bipolar rational fractions | 0.84 | 0.69 | 0.82 | 0.7 |
| BP | 0.89 | 0.54 | 0.87 | 0.58 |
| ACGWO-BP | 0.99 | 0.10 | 0.97 | 0.12 |
| Interference B | ||||
| Algorithm name | R2train | MAEtrain | R2test | MAEtest |
| Random forest | 0.88 | 0.8 | 0.78 | 1.16 |
| GRNN | 0.99 | 0.25 | 0.77 | 1 |
| Bipolar rational fractions | 0.74 | 1.5 | 0.707 | 1.43 |
| BP | 0.8 | 1.28 | 0.72 | 1.41 |
| ACGWO-BP | 0.97 | 0.14 | 0.92 | 0.17 |
| Interference C | ||||
| Algorithm name | R2train | MAEtrain | R2test | MAEtest |
| Random forest | 0.97 | 3.25 | 0.88 | 4.42 |
| GRNN | 0.98 | 1.01 | 0.96 | 2.81 |
| Bipolar rational fractions | 0.95 | 4.46 | 0.94 | 4.62 |
| BP | 0.96 | 3.50 | 0.92 | 3.80 |
| ACGWO-BP | 0.99 | 1.48 | 0.96 | 1.69 |
| Interference D | ||||
| Algorithm name | R2train | MAEtrain | R2test | MAEtest |
| Random forest | 0.93 | 3.31 | 0.88 | 4.06 |
| GRNN | 0.99 | 0.7 | 0.93 | 3.02 |
| Bipolar rational fractions | 0.96 | 4.50 | 0.95 | 4.40 |
| BP | 0.98 | 2.8 | 0.97 | 3.02 |
| ACGWO-BP | 0.99 | 1.25 | 0.98 | 1.24 |
| p (mm) | th1 (mm) | th2 (mm) | M (%) (NSGA-II) | M (%) (Multi-Stage Magnetic Ring) | M (%) (Single Magnetic Ring) |
|---|---|---|---|---|---|
| 6.6 | 1 | 8.5 | 18.32 | 16.7 | 104 |
| 6 | 1 | 8.7 | 19.23 | 16.6 | 122 |
| 6 | 1 | 8.4 | 20.08 | 19.1 | 105 |
| 6 | 1 | 8.3 | 20.69 | 19.0 | 138 |
| 6 | 1 | 8 | 22.03 | 19.8 | 142 |
| 6 | 1 | 7.9 | 22.88 | 20.0 | 138 |
| 6 | 1 | 7.6 | 25.19 | 23.6 | 139 |
| 6 | 1 | 7.5 | 26.02 | 24.5 | 120 |
| p (mm) | th1 (mm) | th2 (mm) | A (Multi-Stage Magnetic Ring) | A (Single Magnetic Ring) |
|---|---|---|---|---|
| We a6.6 | 1 | 8.5 | 15.0 | 15.2 |
| 6 | 1 | 8.7 | 15.1 | 15.3 |
| 6 | 1 | 8.4 | 15.0 | 15.2 |
| 6 | 1 | 8.3 | 15.0 | 15.3 |
| 6 | 1 | 8 | 15.0 | 15.3 |
| 6 | 1 | 7.9 | 15.0 | 15.3 |
| 6 | 1 | 7.6 | 15.0 | 15.2 |
| 6 | 1 | 7.5 | 15.0 | 15.3 |
| Parameter | This Work | [32] | [31] | [30] | [40] |
|---|---|---|---|---|---|
| Sensor technology | TMR | TMR | TMR | GMR | GMR |
| Sensor setup sensitivity | 57.30 V/A | 10.52 V/A | 10 V/A | 0.0392 V/A | 0.2319 V/A |
| Measurement range | ±60 mA | ±300 mA | ±200 mA | ±200 mA | ±300 mA |
| Detection limit | AC: 85 μA DC: 50 μA | AC: 280 μA | / | 10 mA | AC: 100 to 300 μA DC: 100 μA |
| Bandwidth | 80 kHz | 10 kHz | / | 1 MHz | 50 kHz |
Disclaimer/Publisher’s Note: The statements, opinions and data contained in all publications are solely those of the individual author(s) and contributor(s) and not of MDPI and/or the editor(s). MDPI and/or the editor(s) disclaim responsibility for any injury to people or property resulting from any ideas, methods, instructions or products referred to in the content. |
© 2023 by the authors. Licensee MDPI, Basel, Switzerland. This article is an open access article distributed under the terms and conditions of the Creative Commons Attribution (CC BY) license (https://creativecommons.org/licenses/by/4.0/).
Share and Cite
Hu, X.; Duan, X.; Zhang, W.; Fu, Y.; Li, Y.; Zhao, P.; Deng, X.; Yu, C.; Wang, J. Design and Optimization of Multi-Stage TMR Sensors for Power Equipment AC/DC Leakage Current Detection. Sensors 2023, 23, 4749. https://doi.org/10.3390/s23104749
Hu X, Duan X, Zhang W, Fu Y, Li Y, Zhao P, Deng X, Yu C, Wang J. Design and Optimization of Multi-Stage TMR Sensors for Power Equipment AC/DC Leakage Current Detection. Sensors. 2023; 23(10):4749. https://doi.org/10.3390/s23104749
Chicago/Turabian StyleHu, Xiaoxu, Xuetao Duan, Wei Zhang, Yameng Fu, Yongfu Li, Pengcheng Zhao, Xudong Deng, Chuanxiang Yu, and Jingang Wang. 2023. "Design and Optimization of Multi-Stage TMR Sensors for Power Equipment AC/DC Leakage Current Detection" Sensors 23, no. 10: 4749. https://doi.org/10.3390/s23104749
APA StyleHu, X., Duan, X., Zhang, W., Fu, Y., Li, Y., Zhao, P., Deng, X., Yu, C., & Wang, J. (2023). Design and Optimization of Multi-Stage TMR Sensors for Power Equipment AC/DC Leakage Current Detection. Sensors, 23(10), 4749. https://doi.org/10.3390/s23104749

