Distributed Optimal and Self-Tuning Filters Based on Compressed Data for Networked Stochastic Uncertain Systems with Deception Attacks
Abstract
1. Introduction
2. Problem Formulation
3. Distributed Optimal Filter
3.1. Model Transformation
3.2. DOFCD
4. Distributed Self-Tuning Filter
4.1. Identification of Attack Rates and Noise Variances of Deception Attack Signals
4.2. DSTFCD
| Algorithm 1: The DSTFCD algorithm. |
| Initialization: |
| Set the initial value at each sensor node i with , , . |
| Step 1: At each sensor node i, the measurement data of the neighbor node are |
| obtained by (8). |
| Step 2: Use (30) and (31) to calculate the correlation function , , use (32) |
| and (33) to calculate the online identified results , . |
| Step 3: Use the identified estimates , to calculate the compressed |
| measurement . |
| Step 4: Substitute the identified estimates , at each time into |
| Equations (40)–(44) in Theorem 2. The DSTFCD Algorithm can be obtained. |
| Step 5: Set , return to step 1. |
4.3. Convergence of the Distributed Self-Tuning Filter
5. Simulation Example
5.1. The Performance of DOFCD
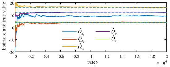
5.2. The Performance of DSTFCD
6. Conclusions
Author Contributions
Funding
Institutional Review Board Statement
Informed Consent Statement
Data Availability Statement
Conflicts of Interest
Abbreviations
| LMV | Linear minimum variance |
| DoS | Denial-of-service |
| MSEs | Mean square errors |
| MSDs | Mean square deviations |
| DOFCD | Distributed optimal filter based on compressed data |
| DOFUCD | Distributed optimal filter based on uncompressed data |
| DSTFCD | Distributed self-tuning filter based on compressed data |
| DSTFUCD | Distributed self-tuning filter based on uncompressed data |
Appendix A. The Proof of Theorem 3
Appendix B. The Proof of Theorem 4
References
- Sun, S.; Lin, H.; Ma, J. Multi-sensor distributed fusion estimation with applications in networked systems: A review paper. Inf. Fusion 2017, 38, 122–134. [Google Scholar] [CrossRef]
- Zhao, C.; Lam, J.; Lin, H. State estimation of CPSs with deception attacks: Stability analysis and approximate computation. Neurocomputing 2021, 423, 318–326. [Google Scholar] [CrossRef]
- Naghnaeian, M.; Yu, X. Optimal state estimation under the denial-of-service attack: An operator approach. In Proceedings of the American Control Conference (ACC), Denver, CO, USA, 1–3 July 2020; pp. 5334–5339. [Google Scholar]
- Mahmoud, M.; Hamdan, H.; Baroudi, U. Modeling and control of cyber-physical systems subject to cyber-attacks: A Survey of recent advances and challenges. Neurocomputing 2019, 338, 101–115. [Google Scholar] [CrossRef]
- Liu, C.; Ning, P.; Reiter, M. False data injection attacks against state estimation in electric power grids. ACM Trans. Inf. Syst. Sec. 2011, 14, 1–133. [Google Scholar] [CrossRef]
- Yang, W.; Zhang, Y.; Chen, G. Distributed filtering under false data injection attacks. Automatica 2019, 102, 34–44. [Google Scholar] [CrossRef]
- Weng, P.; Chen, B.; Dong, S.; Yu, L. Fusion estimation for FDI sensor attacks in distributed systems. In Proceedings of the IEEE 16th International Conference on Control & Automation, Singapore, 9–11 October 2020; pp. 260–265. [Google Scholar]
- Weng, P.; Chen, B.; Yu, L. Fusion estimate of FDI attack signals. Acta Autom. Sin. 2021, 47, 2292–2300. [Google Scholar]
- Sun, Y.; Yang, G. Event-triggered distributed state estimation for multiagent systems under DoS attacks. IEEE Trans. Cybern. 2020, 99, 1–10. [Google Scholar] [CrossRef]
- Li, L.; Niu, M.; Xia, Y.; Yang, H. Stochastic event-triggered distributed fusion estimation under jamming attacks. IEEE Trans. Signal Inf. Process. Net. 2021, 7, 309–321. [Google Scholar] [CrossRef]
- Liu, Y.; Yang, G. Event-triggered distributed state estimation for cyber-physical systems under DoS attacks. IEEE Trans. Cybern. 2020, 52, 3620–3631. [Google Scholar] [CrossRef]
- Chen, B.; Ho, D.; Zhang, W. Distributed dimensionality reduction fusion estimation for cyber-physical systems under DoS attacks. IEEE Trans. Syst. Man Cybern. Syst. 2019, 49, 455–468. [Google Scholar] [CrossRef]
- Xu, M.; Zhang, Y.; Zhang, D.; Chen, B. Distributed robust dimensionality reduction fusion estimation under DoS attacks and uncertain covariances. IEEE Access 2021, 99, 10328–10337. [Google Scholar] [CrossRef]
- Liu, R.; Yu, H.; Hao, F. Optimal DoS attack scheduling for multi-sensor remote state estimation over interference channels. J. Frankl. Inst. 2021, 358, 5136–5162. [Google Scholar] [CrossRef]
- Yang, W.; Zhang, X.; Luo, W.; Zuo, Z. Detection against randomly occurring complex attacks on distributed state estimation. Inf. Sci. 2020, 547, 539–552. [Google Scholar] [CrossRef]
- Chen, B.; Ho, D.W.; Hu, G.; Yu, L. Secure fusion estimation for bandwidth constrained cyber-physical systems under replay attacks. IEEE Trans. Cybern. 2018, 48, 1862–1876. [Google Scholar] [CrossRef]
- Liu, L.; Ma, L.; Wang, Y.; Zhang, J.; Bo, Y. Distributed set-membership filtering for time-varying systems under constrained measurements and replay attacks. J. Frankl. Inst. 2020, 357, 4983–5003. [Google Scholar] [CrossRef]
- Zhang, K.; Keliris, C.; Polycarou, M.; Parisini, T. Discrimination between replay attacks and sensor faults for cyber-physical systems via event-triggered communication. Eur. J. Control 2021, 62, 47–56. [Google Scholar] [CrossRef]
- Su, L.; Ye, D.; Zhao, X. Distributed secure state estimation for cyber-physical systems against replay attacks via multisensor method. IEEE Syst. J. 2021, 16, 5720–5728. [Google Scholar] [CrossRef]
- Tahoun, A.; Arafa, M. Cooperative control for cyber–physical multi-agent networked control systems with unknown false data-injection and replay cyber-attacks. ISA Trans. 2021, 110, 1–14. [Google Scholar] [CrossRef]
- Tahoun, A.; Arafa, M. Secure control design for nonlinear cyber–physical systems under DoS, replay, and deception cyber-attacks with multiple transmission channels. ISA Trans. 2022, 128, 294–308. [Google Scholar] [CrossRef]
- Lin, H.; Lam, J.; Wang, Z. Secure state estimation for systems under mixed cyber-attacks: Security and performance analysis. Inf. Sci. 2021, 546, 943–960. [Google Scholar] [CrossRef]
- Caballero-Águila, R.; Hermoso-Carazo, A.; Linares-Pérez, J. Fusion estimation using measured outputs with random parameter matrices subject to random delays and packet dropouts. Signal Process. 2016, 127, 12–23. [Google Scholar] [CrossRef]
- Tan, H.; Shen, B.; Liu, Y. Event-triggered multi-rate fusion estimation for uncertain system with stochastic nonlinearities and colored measurement noises. Inf. Fusion 2017, 36, 313–320. [Google Scholar] [CrossRef]
- Sun, S. Optimal and self-tuning information fusion Kalman multi-step predictor. IEEE Trans. Aerosp. Electron. Syst. 2007, 43, 418–427. [Google Scholar] [CrossRef]
- Dou, Y.; Sun, S.; Ran, C. Self-tuning full-order WMF Kalman filter for multisensor descriptor systems. IET Control Theory Appl. 2017, 11, 359–368. [Google Scholar] [CrossRef]
- Duan, G.; Sun, S. Self-tuning distributed fusion filter for multi-sensor systems subject to unknown model parameters and missing measurement rates. IEEE Access 2018, 6, 61519–61528. [Google Scholar] [CrossRef]
- Wan, T.; Sun, S. Fusion identification and estimation of multisensor multichannel AR signals with missing measurements and sensor biases. Digit. Signal Process. 2020, 98, 102636. [Google Scholar] [CrossRef]
- Wang, M.; Sun, S. Self-tuning distributed fusion filter for multi-sensor networked systems with unknown packet receiving rates, noise variances, and model parameters. Sensors 2019, 19, 4436. [Google Scholar] [CrossRef]
- Chang, X.; Qiao, M; Zhao, X. Fuzzy energy-to-peak filtering for continuous-time nonlinear singular system. IEEE Trans. Fuzzy Syst. 2021, 30, 2325–2336. [Google Scholar] [CrossRef]
- Hao, G.; Sun, S. Distributed fusion cubature Kalman filters for nonlinear systems. Int. J. Robust Nonlinear Control 2019, 29, 5979–5991. [Google Scholar] [CrossRef]
- Caballero-Águila, R; Hermoso-Carazo, A; Linares-Pérez, J. A two-phase distributed filtering algorithm for networked uncertain systems with fading measurements under deception attacks. Sensors 2020, 20, 6445. [Google Scholar] [CrossRef]
- Ma, J.; Sun, S. Distributed fusion filter for networked stochastic uncertain systems with transmission delays and packet dropouts. Signal Process. 2017, 130, 268–278. [Google Scholar] [CrossRef]
- Boyd, S.; Ghaoui, L.; Feron, E.; Balakrishnan, V. Linear Matrix Inequalities in System and Control Theory; The Society for Industrial and Applied Mathematics: Philadelphia, PA, USA, 1994; Volume 110, pp. 131–139. [Google Scholar]
- Deng, Z. Information Fusion Estimation Theory and Its Applications; Science Press: Beijing, China, 2012. [Google Scholar]
- Wang, X.; Zhu, Q.; Sun, S. Weighted measurement fusion estimation algorithm with correlated noises and its global optimality. Syst. Eng. Electron. 2010, 32, 2057–2061. [Google Scholar]










Disclaimer/Publisher’s Note: The statements, opinions and data contained in all publications are solely those of the individual author(s) and contributor(s) and not of MDPI and/or the editor(s). MDPI and/or the editor(s) disclaim responsibility for any injury to people or property resulting from any ideas, methods, instructions or products referred to in the content. |
© 2022 by the authors. Licensee MDPI, Basel, Switzerland. This article is an open access article distributed under the terms and conditions of the Creative Commons Attribution (CC BY) license (https://creativecommons.org/licenses/by/4.0/).
Share and Cite
Ma, Y.; Sun, S. Distributed Optimal and Self-Tuning Filters Based on Compressed Data for Networked Stochastic Uncertain Systems with Deception Attacks. Sensors 2023, 23, 335. https://doi.org/10.3390/s23010335
Ma Y, Sun S. Distributed Optimal and Self-Tuning Filters Based on Compressed Data for Networked Stochastic Uncertain Systems with Deception Attacks. Sensors. 2023; 23(1):335. https://doi.org/10.3390/s23010335
Chicago/Turabian StyleMa, Yimin, and Shuli Sun. 2023. "Distributed Optimal and Self-Tuning Filters Based on Compressed Data for Networked Stochastic Uncertain Systems with Deception Attacks" Sensors 23, no. 1: 335. https://doi.org/10.3390/s23010335
APA StyleMa, Y., & Sun, S. (2023). Distributed Optimal and Self-Tuning Filters Based on Compressed Data for Networked Stochastic Uncertain Systems with Deception Attacks. Sensors, 23(1), 335. https://doi.org/10.3390/s23010335

