Lower Body Joint Angle Prediction Using Machine Learning and Applied Biomechanical Inverse Dynamics
Abstract
1. Introduction
2. Materials and Methods
2.1. Footwear Sensor
2.2. Reference Data Collection System
2.3. Experimental Procedure
3. Machine Learning to Predict Lower Extremity Angles
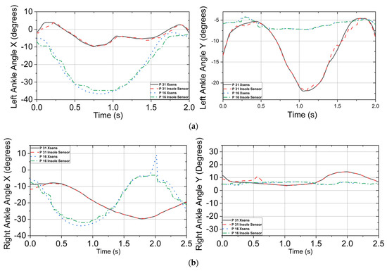
4. Results
5. Discussion
Author Contributions
Funding
Institutional Review Board Statement
Informed Consent Statement
Acknowledgments
Conflicts of Interest
References
- U. S. Bureau of Labor Statistics. Case and Demographic Characteristics for Work-related Injuries and Illnesses Involving Days Away from Work; U. S. Bureau of Labor Statistics: Washington, DC, USA, 2020. [Google Scholar]
- Centers for Disease Control and Prevention. Hierarchy of Controls; Centers for Disease Control and Prevention: Atlanta, GA, USA, 2015. [Google Scholar]
- Bureau of Labor Statistics. Occupational Injuries and Illnesses Industry Data (2014 Forward); Bureau of Labor Statistics: Washington, DC, USA, 2020. [Google Scholar]
- Stobbe, T.J. Occupational ergonomics and injury prevention. Occup. Med. 1996, 11, 531–543. [Google Scholar] [PubMed]
- Winter, D.A. Biomechanics and Motor Control of Human Movement; John Wiley: Hoboken, NJ, USA, 2009. [Google Scholar]
- Gagnon, M. Ergonomic identification and biomechanical evaluation of workers’ strategies and their validation in a training situation: Summary of research. Clin. Biomech. 2005, 20, 569–580. [Google Scholar] [CrossRef] [PubMed]
- Jahanandish, M.H.; Rabe, K.G.; Fey, N.P.; Hoyt, K. Ultrasound Features of Skeletal Muscle Can Predict Kinematics of Upcoming Lower-Limb Motion. Ann. Biomed. Eng. 2021, 49, 822–833. [Google Scholar] [CrossRef]
- Dey, S.; Eslamy, M.; Yoshida, T.; Ernst, M.; Schmalz, T.; Schilling, A. A Support Vector Regression Approach for Continuous Prediction of Ankle Angle and Moment During Walking: An Implication for Developing a Control Strategy for Active Ankle Prostheses. In Proceedings of the 2019 IEEE 16th International Conference on Rehabilitation Robotics (ICORR), Toronto, ON, Canada, 24–28 June 2019; pp. 727–733. [Google Scholar]
- Dey, S.; Yoshida, T.; Ernst, M.; Schmalz, T.; Schilling, A.F. A Random Forest Approach for Continuous Prediction of Joint Angles and Moments During Walking: An Implication for Controlling Active Knee-Ankle Prostheses/Orthoses. In Proceedings of the 2019 IEEE International Conference on Cyborg and Bionic Systems (CBS), Munich, Germany, 18–20 September 2019; pp. 66–71. [Google Scholar]
- Tanaka, Y.; Kosuge, K. Dynamic attack motion prediction for kendo agent. In Proceedings of the 2014 IEEE/RSJ International Conference on Intelligent Robots and Systems, Chicago, IL, USA, 14–18 September 2014; pp. 2187–2193. [Google Scholar]
- Aljaaf, A.J.; Hussain, A.J.; Fergus, P.; Przybyla, A.; Barton, G.J. Evaluation of machine learning methods to predict knee loading from the movement of body segments. In Proceedings of the 2016 International Joint Conference on Neural Networks (IJCNN), Vancouver, BC, Canada, 24–29 July 2016; pp. 5168–5173. [Google Scholar]
- Zheng, X.; Chen, X.; Lu, X. A Joint Relationship Aware Neural Network for Single-Image 3D Human Pose Estimation. IEEE Trans. Image Process. 2020, 29, 4747–4758. [Google Scholar] [CrossRef] [PubMed]
- Hu, W.; Charry, E.; Umer, M.; Ronchi, A.; Taylor, S. An inertial sensor system for measurements of tibia angle with applications to knee valgus/varus detection. In Proceedings of the 2014 IEEE Ninth International Conference on Intelligent Sensors, Sensor Networks and Information Processing (ISSNIP), Singapore, 21–24 April 2014; pp. 1–6. [Google Scholar]
- Sy, L.W.; Lovell, N.H.; Redmond, S.J. Estimating Lower Body Kinematics using a Lie Group Constrained Extended Kalman Filter and Reduced IMU Count. arXiv 2021. [Google Scholar] [CrossRef]
- Dang, D.C.; Soo Suh, Y. Gait Analysis Using Foot-Mounted Inertial Sensors and Permanent Magnet. In Proceedings of the 2019 12th Asian Control Conference (ASCC), Kitakyushu, Japan, 9–12 June 2019; pp. 1319–1322. [Google Scholar]
- Pang, M.; Guo, S. A novel method for elbow joint continuous prediction using EMG and musculoskeletal model. In Proceedings of the 2013 IEEE International Conference on Robotics and Biomimetics (ROBIO), Shenzhen, China, 12–14 December 2013; pp. 1240–1245. [Google Scholar]
- Coker, J.; Chen, H.; Schall, M.C.; Gallagher, S.; Zabala, M. EMG and Joint Angle-Based Machine Learning to Predict Future Joint Angles at the Knee. Sensors 2021, 21, 3622. [Google Scholar] [CrossRef]
- Shi, X.; Zhang, J.; Qin, P.; Liu, R. Angle Estimation for Lower Limb Joint Movement Based on VMD-NARX Algorithm. In Proceedings of the 2021 IEEE International Conference on Real-time Computing and Robotics (RCAR), Xining, China, 15–19 July 2021; pp. 474–479. [Google Scholar]
- Xiong, B.; Li, Y.; Huang, M.; Shi, W.; Du, M.; Yang, Y. Feature Selection of Input Variables for Intelligence Joint Moment Prediction Based on Binary Particle Swarm Optimization. IEEE Access 2019, 7, 182289–182295. [Google Scholar] [CrossRef]
- Zeng, Y.; Yang, J.; Yin, Y. Gaussian Process-Integrated State Space Model for Continuous Joint Angle Prediction from EMG and Interactive Force in a Human-Exoskeleton System. Appl. Sci. 2019, 9, 1711. [Google Scholar] [CrossRef]
- Xie, H.; Li, G.; Zhao, X.; Li, F. Prediction of Limb Joint Angles Based on Multi-Source Signals by GS-GRNN for Exoskeleton Wearer. Sensors 2020, 20, 1104. [Google Scholar] [CrossRef]
- Wang, F.; Yin, T.; Lei, C.; Zhang, Y.; Wang, Y.; Liu, J. Prediction of lower limb joint angle using sEMG based on GA-GRNN. In Proceedings of the 2015 IEEE International Conference on Cyber Technology in Automation, Control, and Intelligent Systems (CYBER), Shenyang, China, 8–12 June 2015; pp. 1894–1899. [Google Scholar]
- Little, K.; Pappachan, B.K.; Yang, S.; Noronha, B.; Campolo, D.; Accoto, D. Elbow Motion Trajectory Prediction Using a Multi-Modal Wearable System: A Comparative Analysis of Machine Learning Techniques. Sensors 2021, 21, 498. [Google Scholar] [CrossRef]
- Demeco, A.; Marotta, N.; Moggio, L.; Pino, I.; Marinaro, C.; Barletta, M.; Petraroli, A.; Palumbo, A.; Ammendolia, A. Quantitative analysis of movements in facial nerve palsy with surface electromyography and kinematic analysis. J. Electromyogr. Kinesiol. 2021, 56, 102485. [Google Scholar] [CrossRef] [PubMed]
- Favre, J.; Aissaoui, R.; Jolles, B.M.; de Guise, J.A.; Aminian, K. Functional calibration procedure for 3D knee joint angle description using inertial sensors. J. Biomech. 2009, 42, 2330–2335. [Google Scholar] [CrossRef] [PubMed]
- Zhu, Z.; Guo, S.; Qin, Y.; Chen, X.; Wu, R.; Shi, Y.; Liu, X.; Liao, M. Robust Elbow Angle Prediction With Aging Soft Sensors via Output-Level Domain Adaptation. IEEE Sens. J. 2021, 21, 22976–22984. [Google Scholar] [CrossRef]
- Choffin, Z.; Jeong, N.; Callihan, M.; Olmstead, S.; Sazonov, E.; Thakral, S.; Getchell, C.; Lombardi, V. Ankle Angle Prediction Using a Footwear Pressure Sensor and a Machine Learning Technique. Sensors 2021, 21, 3790. [Google Scholar] [CrossRef] [PubMed]
- Ramalingame, R.; Hu, Z.; Gerlach, C.; Kanoun, O. Shoe insole with MWCNT-PDMS-composite sensors for pressure monitoring. In Proceedings of the 2017 IEEE SENSORS, Glasgow, UK, 29 October–1 November 2017; pp. 1–3. [Google Scholar]
- Muzaffar, S.; Elfadel, I.A.M. Piezoresistive Sensor Array Design for Shoe-integrated Continuous Body Weight and Gait Measurement. In Proceedings of the 2019 Symposium on Design, Test, Integration Packaging of MEMS and MOEMS (DTIP), Paris, France, 12–15 May 2019; pp. 1–4. [Google Scholar]
- Xu, D.; Hou, Z.; Yang, Z.; Zhang, Q.; Xu, R.; Shang, P. A Wearable Ultra-low-cost Gait Analysis System Based on Foot Pressure Detection. In Proceedings of the 2018 IEEE International Conference on Cyborg and Bionic Systems (CBS), Shenzhen, China, 25–27 October 2018; pp. 80–83. [Google Scholar]
- Bencheikh, M.A.; Boukhenous, S. A low Cost Smart Insole for Diabetic Foot Prevention. In Proceedings of the 2018 International Conference on Applied Smart Systems (ICASS), Medea, Algeria, 24–25 November 2018; pp. 1–4. [Google Scholar]
- Li, G.; Liu, T.; Yi, J.; Wang, H.; Li, J.; Inoue, Y. The Lower Limbs Kinematics Analysis by Wearable Sensor Shoes. IEEE Sens. J. 2016, 16, 2627–2638. [Google Scholar] [CrossRef]
- Davarzani, S.; Saucier, D.; Peranich, P.; Carroll, W.; Turner, A.; Parker, E.; Middleton, C.; Nguyen, P.; Robertson, P.; Smith, B.; et al. Closing the Wearable Gap—Part VI: Human Gait Recognition Using Deep Learning Methodologies. Electronics 2020, 9, 796. [Google Scholar] [CrossRef]
- Kalamdani, A.A. Development and characterization of a high-spatial-temporal-resolution foot-sole-pressure measurement system. Master’s Thesis, The Robotics Institute Carnegie Mellon University Pittsburgh, Pittsburgh, PA, USA, 2006. [Google Scholar]
- Kärki, S.; Lekkala, J.; Kaistila, T.; Laine, H.-J.; Mäenpää, H.; Kuokkanen, H. Plantar pressure distribution measurements: An approach to different methods to compute a pressure map. Age 2009, 23, 19–30. [Google Scholar]
- Orlin, M.N.; McPoil, T.G. Plantar pressure assessment. Phys. Ther. 2000, 80, 399–409. [Google Scholar] [CrossRef]
- Tekscan. FlexiForce A301 Sensor; Tekscan: Norwood, MA, USA, 2022. [Google Scholar]
- Adafruit Industries. Adafruit Feather M0 Bluefruit LE; Adafruit Industries Blog RSS; Adafruit Industries: New York, NY, USA, 2022. [Google Scholar]
- Adafruit Industries. MicroSD Card Breakout Board; Adafruit Industries Blog RSS; Adafruit Industries: New York, NY, USA, 2022. [Google Scholar]
- Mickle, K.J.; Munro, B.J.; Lord, S.R.; Menz, H.B.; Steele, J.R. Foot shape of older people: Implications for shoe design. Footwear Sci. 2010, 2, 131–139. [Google Scholar] [CrossRef]
- Xsens. MVN Animate; Xsens: Enschede, The Netherlands, 2022. [Google Scholar]
- Zhang, J.-T.; Novak, A.C.; Brouwer, B.; Li, Q. Concurrent validation of Xsens MVN measurement of lower limb joint angular kinematics. Physiol. Meas. 2013, 34, N63. [Google Scholar] [CrossRef]
- Park, S.; Yoon, S. Validity Evaluation of an Inertial Measurement Unit (IMU) in Gait Analysis Using Statistical Parametric Mapping (SPM). Sensors 2021, 21, 3667. [Google Scholar] [CrossRef]
- Lee, C.J.; Lee, J.K. Inertial Motion Capture-Based Wearable Systems for Estimation of Joint Kinetics: A Systematic Review. Sensors 2022, 22, 2507. [Google Scholar] [CrossRef] [PubMed]
- Faber, G.; Kingma, I.; Chang, C.; Dennerlein, J.; Van Dieen, J. Validation of a wearable system for 3D ambulatory L5/S1 moment assessment during manual lifting using instrumented shoes and an inertial sensor suit. J. Biomech. 2020, 102, 109671. [Google Scholar] [CrossRef] [PubMed]
- Teufl, W.; Miezal, M.; Taetz, B.; Fröhlich, M.; Bleser, G. Validity, test-retest reliability and long-term stability of magnetometer free inertial sensor based 3D joint kinematics. Sensors 2018, 18, 1980. [Google Scholar] [CrossRef] [PubMed]
- Meyers, J.M.; Fathallah, F.A.; Janowitz, I. Stooped and squatting postures in the workplace. Natl. Ag Saf. Database 2015, 2015, 2–7. [Google Scholar]
- McIlroy, W.E.; Maki, B.E. Preferred placement of the feet during quiet stance: Development of a standardized foot placement for balance testing. Clin. Biomech. 1997, 12, 66–70. [Google Scholar] [CrossRef] [PubMed]
- Shabani, S.; Bourke, A.K.; Muaremi, A.; Praestgaard, J.; Keeffe, K.O.; Argent, R.; Brom, M.; Scotti, C.; Caulfield, B.; Walsh, L.C. An Automatic Foot and Shank IMU Synchronization Algorithm: Proof-of-concept. In Proceedings of the 2022 44th Annual International Conference of the IEEE Engineering in Medicine & Biology Society (EMBC), Glasgow, UK, 11–15 July 2022; pp. 4210–4213. [Google Scholar]
- Kumar, S.; Gopinath, K.; Rocchi, L.; Sukumar, P.T.; Kulkarni, S.; Sampath, J. Towards a portable human gait analysis & monitoring system. In Proceedings of the 2018 International Conference on Signals and Systems (ICSigSys), Bali, Indonesia, 1–3 May 2018; pp. 174–180. [Google Scholar]










| Author | Joint Angle | Sensor | Angle Measured | Mobility | Accuracy | RMSE |
|---|---|---|---|---|---|---|
| Jahanandish et al. [7] | Lower body | Ultrasonic imaging | 3-D | Low | 100% | N/A |
| Pang et al. [16] | Lower Body | sEMG | 3D | Medium | 90% | N/A |
| Coker et al. [17] | Knee | sEMG | 3D | Medium | N/A | 0.7 |
| Shi et al. [18] | Lower body | sEMG | 3D | Medium | N/A | 2.0 |
| Dey et al. [9] | Knee | Body markers | 3D | High | 99.5% | N/A |
| Dey et al. [8] | Knee | Body markers | 3D | High | N/A | 0.97 |
| Sy et al. [14] | Lower body | IMU | 3D | High | N/A | 5.93 |
| Zhu et al. [26] | Elbow | Resistive fibers | 3D | Medium | N/A | N/A |
| Little et al. [23] | Elbow | sEMG | 3D | High | N/A | N/A |
| Davarzani et al. [33] | Robotic joint | Capacitive plate | 3D | Low | N/A | 3.63 |
| Choffin et al. [27] | Ankle | FSR | 3D | High | 93% | N/A |
| Subject | Age | Sex | Height (m) | Weight (kg) | Shoe Size |
|---|---|---|---|---|---|
| 1 | 21 | Female | 1.6 | 54 | 8.5 |
| 2 | 21 | Female | 1.63 | 84 | 8.5 |
| 3 | 21 | Female | 1.7 | 59 | 10.5 |
| 4 | 21 | Female | 1.7 | 61 | 8.5 |
| 5 | 21 | Male | 1.8 | 82 | 10.5 |
| 6 | 21 | Female | 1.75 | 77 | 10.5 |
| 7 | 21 | Female | 1.73 | 57 | 8.5 |
| 8 | 21 | Female | 1.63 | 75 | 8.5 |
| 9 | 21 | Male | 1.85 | 77 | 10.5 |
| 10 | 20 | Female | 1.7 | 63 | 8.5 |
| 11 | 24 | Male | 1.78 | 84 | 10.5 |
| 12 | 21 | Male | 1.8 | 77 | 10.5 |
| 13 | 20 | Female | 1.7 | 77 | 8.5 |
| 14 | 29 | Female | 1.6 | 66 | 8.5 |
| 15 | 23 | Male | 1.78 | 79 | 10.5 |
| 16 | 21 | Male | 1.85 | 68 | 10.5 |
| 17 | 21 | Female | 1.63 | 68 | 8.5 |
| 18 | 23 | Female | 1.65 | 70 | 8.5 |
| 19 | 19 | Male | 1.85 | 61 | 10.5 |
| 20 | 21 | Male | 1.73 | 73 | 10.5 |
| 21 | 22 | Female | 1.73 | 68 | 8.5 |
| 22 | 22 | Male | 1.8 | 66 | 10.5 |
| 23 | 22 | Female | 1.63 | 75 | 8.5 |
| 24 | 21 | Female | 1.78 | 61 | 8.5 |
| 25 | 20 | Female | 1.68 | 59 | 8.5 |
| 26 | 21 | Female | 1.68 | 63 | 8.5 |
| 27 | 20 | Female | 1.68 | 66 | 8.5 |
| 28 | 21 | Female | 1.65 | 63 | 8.5 |
| 29 | 22 | Male | 1.91 | 86 | 10.5 |
| 30 | 20 | Female | 1.57 | 51 | 8.5 |
| 31 | 21 | Female | 1.68 | 63 | 8.5 |
| 32 | 21 | Male | 1.83 | 66 | 10.5 |
| 33 | 21 | Female | 1.68 | 68 | 8.5 |
| 34 | 20 | Female | 1.57 | 52 | 8.5 |
| 35 | 20 | Female | 1.65 | 52 | 8.5 |
| 36 | 20 | Female | 1.68 | 60 | 8.5 |
| 37 | 21 | Female | 1.63 | 68 | 8.5 |
| Test | Sensors On | Sensors Off | Total Sensors | L5S1 RMSE |
|---|---|---|---|---|
| 1 | S2, S5 | S1, S3, S4, S6 | 4 | 3.21 |
| 2 | S3, S4, S5, S6 | S1, S2 | 8 | 2.30 |
| 3 | S1, S3, S4, S6 | S2, S5 | 8 | 2.15 |
| 4 | S1 and S2 combined | None | 10 | 1.83 |
| 5 | S1, S2, S3, S5, S6 | S4 | 10 | 0.95 |
| 6 | S1, S2, S3, S4, S5, S6 | None | 12 | 0.30 |
Disclaimer/Publisher’s Note: The statements, opinions and data contained in all publications are solely those of the individual author(s) and contributor(s) and not of MDPI and/or the editor(s). MDPI and/or the editor(s) disclaim responsibility for any injury to people or property resulting from any ideas, methods, instructions or products referred to in the content. |
© 2022 by the authors. Licensee MDPI, Basel, Switzerland. This article is an open access article distributed under the terms and conditions of the Creative Commons Attribution (CC BY) license (https://creativecommons.org/licenses/by/4.0/).
Share and Cite
Choffin, Z.; Jeong, N.; Callihan, M.; Sazonov, E.; Jeong, S. Lower Body Joint Angle Prediction Using Machine Learning and Applied Biomechanical Inverse Dynamics. Sensors 2023, 23, 228. https://doi.org/10.3390/s23010228
Choffin Z, Jeong N, Callihan M, Sazonov E, Jeong S. Lower Body Joint Angle Prediction Using Machine Learning and Applied Biomechanical Inverse Dynamics. Sensors. 2023; 23(1):228. https://doi.org/10.3390/s23010228
Chicago/Turabian StyleChoffin, Zachary, Nathan Jeong, Michael Callihan, Edward Sazonov, and Seongcheol Jeong. 2023. "Lower Body Joint Angle Prediction Using Machine Learning and Applied Biomechanical Inverse Dynamics" Sensors 23, no. 1: 228. https://doi.org/10.3390/s23010228
APA StyleChoffin, Z., Jeong, N., Callihan, M., Sazonov, E., & Jeong, S. (2023). Lower Body Joint Angle Prediction Using Machine Learning and Applied Biomechanical Inverse Dynamics. Sensors, 23(1), 228. https://doi.org/10.3390/s23010228

