Prediction Techniques on FPGA for Latency Reduction on Tactile Internet
Abstract
:1. Introduction
- Parallel implementation of prediction techniques on FPGA without additional embedded processors.
- A detailed description of the modules implemented for the linear and nonlinear regression techniques on FPGA.
- A synthesis-based analysis of the system’s throughput, area occupation, and power consumption, using data from a robotic manipulator.
- An analysis of fixed-point precision against floating-point precision used by software implementations.
Related Works
2. Proposal Description
3. Prediction Methods
3.1. Linear Regression
3.2. Multilayer Perceptron Networks
3.2.1. Architecture
3.2.2. Backpropagation Training Algorithm
4. Implementation Description
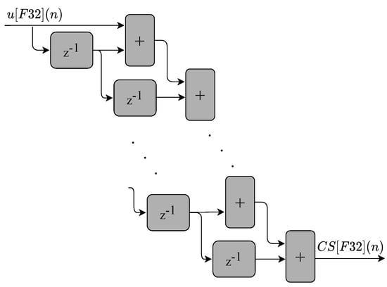
4.1. Linear Regression
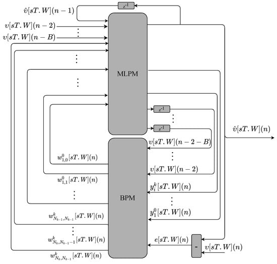
4.2. Multilayer Perceptron
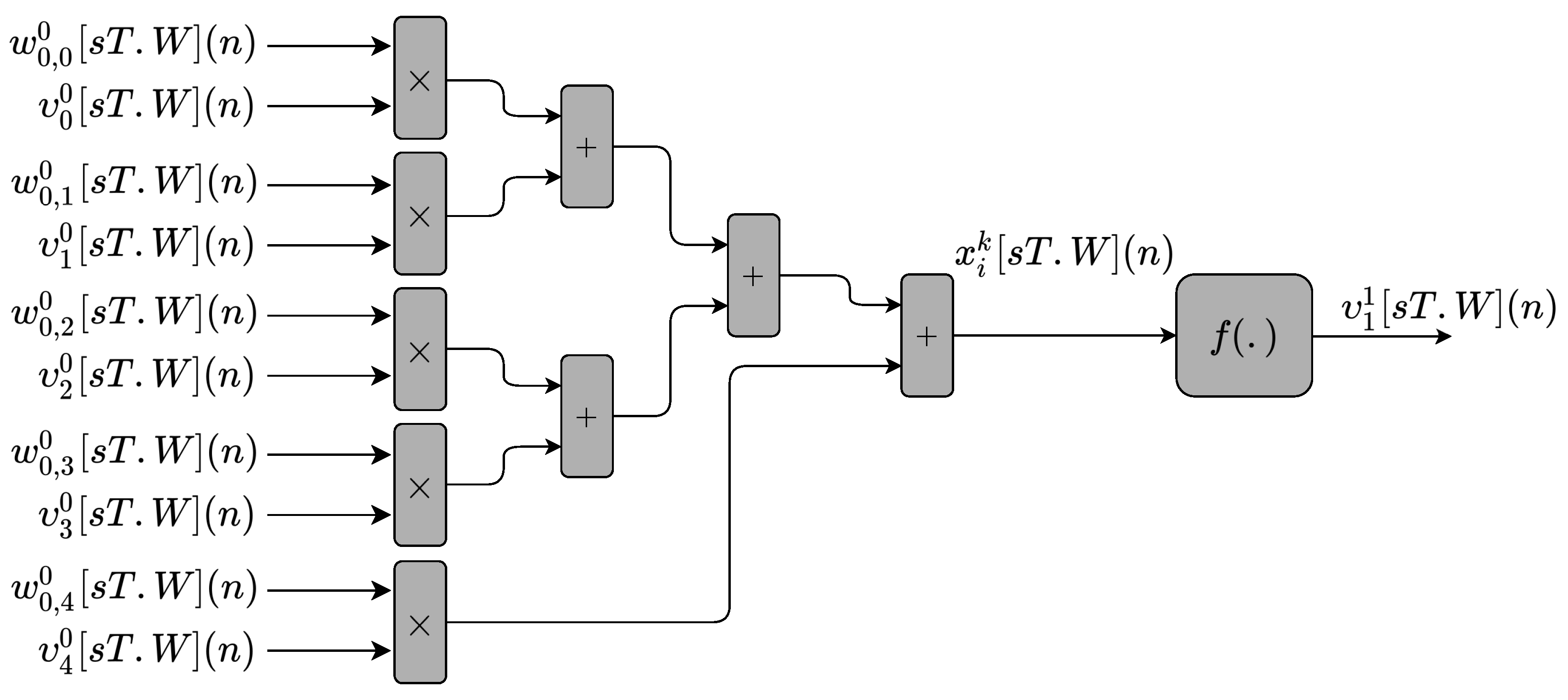
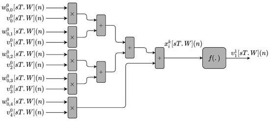
4.2.1. Multilayer Perceptron Module (MLPM)
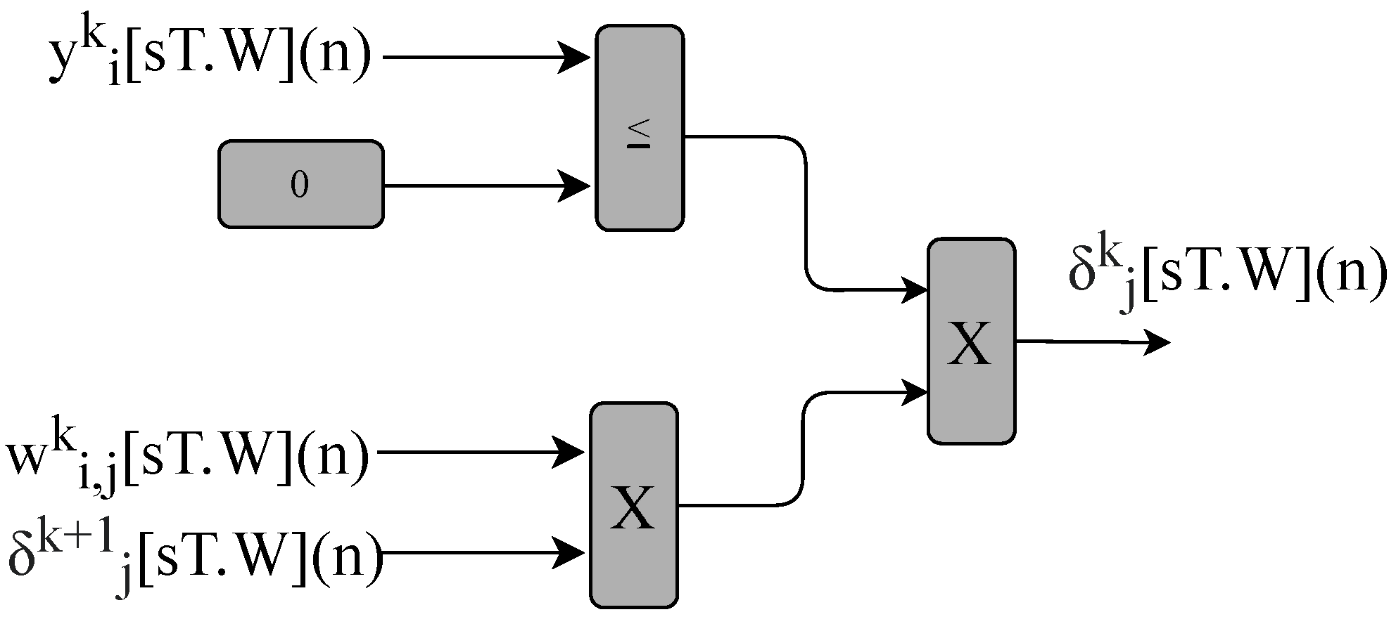
4.2.2. Backpropagation Module (BPM)
5. Synthesis Results
5.1. Linear Prediction Techniques
5.2. Nonlinear Prediction Techniques
6. Validation Results
6.1. Linear Prediction Techniques
6.2. Nonlinear Prediction Techniques
7. Comparison with State-of-the-Art Works
7.1. Throughput Comparison
7.2. Hardware Area Occupation
7.3. Dynamic Power Consumption
8. Conclusions
Author Contributions
Funding
Data Availability Statement
Acknowledgments
Conflicts of Interest
References
- Dohler, M. The tactile internet IoT, 5G and cloud on steroids. In 5G Radio Technology Seminar. Exploring Technical Challenges in the Emerging 5G Ecosystem; IEEE: Piscataway, NJ, USA, 2015; pp. 1–16. [Google Scholar] [CrossRef]
- Ateya, A.A.; Khayyat, M.; Muthanna, A.; Koucheryavy, A. Toward Tactile Internet. In Proceedings of the 2019 11th International Congress on Ultra Modern Telecommunications and Control Systems and Workshops (ICUMT), Dublin, Ireland, 28–30 October 2019; pp. 1–7. [Google Scholar]
- Aijaz, A.; Dohler, M.; Aghvami, A.H.; Friderikos, V.; Frodigh, M. Realizing The Tactile Internet: Haptic Communications over Next Generation 5G Cellular Networks. IEEE Wirel. Commun. 2016, 24, 82–89. [Google Scholar] [CrossRef] [Green Version]
- Del Re, E.; Morosi, S.; Mucchi, L.; Ronga, L.S.; Jayousi, S. Future wireless systems for human bond communications. Wirel. Pers. Commun. 2016, 88, 39–52. [Google Scholar] [CrossRef]
- Watch, I.t.T.; August, R. The Tactile Internet: ITU-T Technology Watch Report. 2014. Available online: https://www.itu.int/dms_pub/itu-t/opb/gen/T-GEN-TWATCH-2014-1-PDF-E.pdf (accessed on 29 March 2022).
- Fettweis, G.P. 5G—What Will It Be: The Tactile Internet at TU Dresden. Slides from ICC 2013 Budapest. 2013. Available online: https://icc2013.ieee-icc.org/speakers.html (accessed on 29 March 2022).
- Fettweis, G. The Tactile Internet: Applications and Challenges. Veh. Technol. Mag. IEEE 2014, 9, 64–70. [Google Scholar] [CrossRef]
- Maier, M.; Chowdhury, M.; Rimal, B.P.; Van, D.P. The tactile internet: Vision, recent progress, and open challenges. IEEE Commun. Mag. 2016, 54, 138–145. [Google Scholar] [CrossRef]
- Van Den Berg, D.; Glans, R.; De Koning, D.; Kuipers, F.A.; Lugtenburg, J.; Polachan, K.; Venkata, P.T.; Singh, C.; Turkovic, B.; Van Wijk, B. Challenges in haptic communications over the tactile internet. IEEE Access 2017, 5, 23502–23518. [Google Scholar] [CrossRef]
- Wei, X.; Duan, Q.; Zhou, L. A QoE-Driven Tactile Internet Architecture for Smart City. IEEE Netw. 2019, 34, 130–136. [Google Scholar] [CrossRef]
- Aijaz, A. Towards 5G-enabled Tactile Internet: Radio resource allocation for haptic communications. In Proceedings of the 2016 IEEE Wireless Communications and Networking Conference, Doha, Qatar, 3–6 April 2016; pp. 1–6. [Google Scholar] [CrossRef]
- Holland, O.; Wong, S.; Friderikos, V.; Qin, Z.; Gao, Y. Virtualized sub-GHz transmission paired with mobile access for the Tactile Internet. In Proceedings of the 2016 23rd International Conference on Telecommunications (ICT), Thessaloniki, Greece, 16–18 May 2016; pp. 1–5. [Google Scholar] [CrossRef] [Green Version]
- Pilz, J.; Mehlhose, M.; Wirth, T.; Wieruch, D.; Holfeld, B.; Haustein, T. A Tactile Internet demonstration: 1ms ultra low delay for wireless communications towards 5G. In Proceedings of the 2016 IEEE Conference on Computer Communications Workshops (INFOCOM WKSHPS), San Francisco, CA, USA, 10–14 April 2016; pp. 862–863. [Google Scholar] [CrossRef]
- Simsek, M.; Aijaz, A.; Dohler, M.; Sachs, J.; Fettweis, G. The 5G-Enabled Tactile Internet: Applications, requirements, and architecture. In Proceedings of the 2016 IEEE Wireless Communications and Networking Conference, Doha, Qatar, 3–6 April 2016; pp. 1–6. [Google Scholar] [CrossRef]
- Briscoe, B.; Brunstrom, A.; Petlund, A.; Hayes, D.; Ros, D.; Tsang, J.; Gjessing, S.; Fairhurst, G.; Griwodz, C.; Welzl, M. Reducing internet latency: A survey of techniques and their merits. IEEE Commun. Surv. Tutor. 2014, 18, 2149–2196. [Google Scholar] [CrossRef] [Green Version]
- Gordini, N.; Veglio, V. Customers churn prediction and marketing retention strategies. An application of support vector machines based on the AUC parameter-selection technique in B2B e-commerce industry. Ind. Mark. Manag. 2017, 62, 100–107. [Google Scholar] [CrossRef]
- Cui, D.; Curry, D. Prediction in marketing using the support vector machine. Mark. Sci. 2005, 24, 595–615. [Google Scholar] [CrossRef]
- Kamakura, W.A.; Wedel, M.; De Rosa, F.; Mazzon, J.A. Cross-selling through database marketing: A mixed data factor analyzer for data augmentation and prediction. Int. J. Res. Mark. 2003, 20, 45–65. [Google Scholar] [CrossRef] [Green Version]
- Srinivas, K.; Rani, B.K.; Govrdhan, A. Applications of data mining techniques in healthcare and prediction of heart attacks. Int. J. Comput. Sci. Eng. (IJCSE) 2010, 2, 250–255. [Google Scholar]
- Bhatia, M.; Kaur, S.; Sood, S.K.; Behal, V. Internet of things-inspired healthcare system for urine-based diabetes prediction. Artif. Intell. Med. 2020, 107, 101913. [Google Scholar] [CrossRef] [PubMed]
- Shah, D.; Isah, H.; Zulkernine, F. Stock market analysis: A review and taxonomy of prediction techniques. Int. J. Financ. Stud. 2019, 7, 26. [Google Scholar] [CrossRef] [Green Version]
- Thakur, P.; Kumar, A.; Pandit, S.; Singh, G.; Satashia, S. Performance analysis of high-traffic cognitive radio communication system using hybrid spectrum access, prediction and monitoring techniques. Wirel. Net. 2018, 24, 2005–2015. [Google Scholar] [CrossRef]
- De Souza, A.C.; Fernandes, M.A. Parallel fixed point implementation of a radial basis function network in an fpga. Sensors 2014, 14, 18223–18243. [Google Scholar] [CrossRef] [Green Version]
- Coutinho, M.G.; Torquato, M.F.; Fernandes, M.A. Deep neural network hardware implementation based on stacked sparse autoencoder. IEEE Access 2019, 7, 40674–40694. [Google Scholar] [CrossRef]
- Da Costa, A.L.; Silva, C.A.; Torquato, M.F.; Fernandes, M.A. Parallel implementation of particle swarm optimization on FPGA. IEEE Trans. Circuits Syst. II Express Briefs 2019, 66, 1875–1879. [Google Scholar] [CrossRef] [Green Version]
- Da Silva, L.M.; Torquato, M.F.; Fernandes, M.A. Parallel implementation of reinforcement learning q-learning technique for fpga. IEEE Access 2018, 7, 2782–2798. [Google Scholar] [CrossRef]
- Lopes, F.F.; Ferreira, J.C.; Fernandes, M.A. Parallel implementation on FPGA of support vector machines using stochastic gradient descent. Electronics 2019, 8, 631. [Google Scholar] [CrossRef] [Green Version]
- Noronha, D.H.; Torquato, M.F.; Fernandes, M.A. A parallel implementation of sequential minimal optimization on FPGA. Microprocess. Microsyst. 2019, 69, 138–151. [Google Scholar] [CrossRef]
- Wong, E.; Dias, M.P.I.; Ruan, L. Predictive resource allocation for Tactile Internet capable passive optical LANs. J. Light. Technol. 2017, 35, 2629–2641. [Google Scholar] [CrossRef]
- Ruan, L.; Wong, E. Machine intelligence in allocating bandwidth to achieve low-latency performance. In Proceedings of the 2018 International Conference on Optical Network Design and Modeling (ONDM), Dublin, Ireland, 14–17 May 2018. [Google Scholar]
- Ruan, L.; Mondal, S.; Wong, E. Machine learning based bandwidth prediction in tactile heterogeneous access networks. In Proceedings of the IEEE INFOCOM 2018—IEEE Conference on Computer Communications Workshops (INFOCOM WKSHPS), Honolulu, HI, USA, 15–19 April 2018. [Google Scholar]
- Sakr, N.; Georganas, N.D.; Zhao, J. Human perception-based data reduction for haptic communication in Six-DoF telepresence systems. IEEE Trans. Instrum. Meas. 2011, 60, 3534–3546. [Google Scholar] [CrossRef]
- Brandi, F.; Steinbach, E. Prediction techniques for haptic communication and their vulnerability to packet losses. In Proceedings of the HAVE 2013—2013 IEEE International Symposium on Haptic Audio-Visual Environments and Games, Istanbul, Turkey, 26–27 October 2013; pp. 63–68. [Google Scholar] [CrossRef]
- Štefanič, P.; Cigale, M.; Jones, A.C.; Knight, L.; Taylor, I.; Istrate, C.; Suciu, G.; Ulisses, A.; Stankovski, V.; Taherizadeh, S.; et al. SWITCH workbench: A novel approach for the development and deployment of time-critical microservice-based cloud-native applications. Future Gener. Comput. Syst. 2019, 99, 197–212. [Google Scholar] [CrossRef]
- Ghosh, S.; Mukherjee, A.; Ghosh, S.K.; Buyya, R. Mobi-iost: Mobility-aware cloud-fog-edge-iot collaborative framework for time-critical applications. IEEE Trans. Netw. Sci. Eng. 2019, 7, 2271–2285. [Google Scholar] [CrossRef] [Green Version]
- Zhou, H.; Taal, A.; Koulouzis, S.; Wang, J.; Hu, Y.; Suciu, G.; Poenaru, V.; Laat, C.d.; Zhao, Z. Dynamic real-time infrastructure planning and deployment for disaster early warning systems. In International Conference on Computational Science; Springer: Berlin/Heidelberg, Germany, 2018; pp. 644–654. [Google Scholar]
- Oballe-Peinado, O.; Hidalgo-López, J.A.; Castellanos-Ramos, J.; Sánchez-Durán, J.A.; Navas-Gonzalez, R.; Herran, J.; Vidal-Verdú, F. FPGA-based tactile sensor suite electronics for real-time embedded processing. IEEE Trans. Ind. Electron. 2017, 64, 9657–9665. [Google Scholar] [CrossRef]
- Hartley, E.; Maciejowski, J. Predictive control for spacecraft rendezvous in an elliptical orbit using an FPGA. In Proceedings of the European Control Conference (ECC), Zurich, Switzerland, 17–19 July 2013; pp. 1359–1364. [Google Scholar]
- Dorfling, T.; du Toit Mouton, H.; Geyer, T.; Karamanakos, P. Long-Horizon Finite-Control-Set Model Predictive Control with Nonrecursive Sphere Decoding on an FPGA. IEEE Trans. Power Electron. 2019, 35, 7520–7531. [Google Scholar] [CrossRef]
- Tu, W.; Luo, G.; Chen, Z.; Liu, C.; Cui, L. FPGA Implementation of Predictive Cascaded Speed and Current Control of PMSM Drives With Two-Time-Scale Optimization. IEEE Trans. Ind. Inform. 2019, 15, 5276–5288. [Google Scholar] [CrossRef]
- O’Malley, M.K.; Sevcik, K.S.; Kopp, E. Improved haptic fidelity via reduced sampling period with an FPGA-based real-time hardware platform. J. Comput. Inf. Sci. Eng. 2009, 9, 011002. [Google Scholar] [CrossRef]
- Tanaka, H.; Ohnishi, K.; Nishi, H.; Kawai, T.; Morikawa, Y.; Ozawa, S.; Furukawa, T. Implementation of bilateral control system based on acceleration control using FPGA for multi-DOF haptic endoscopic surgery robot. IEEE Trans. Ind. Electron. 2008, 56, 618–627. [Google Scholar] [CrossRef]
- Rebello, R.F.; Sriram, S. FPGA-Based High-Performance Computing for Haptic Simulation in a Virtual Environment; University Chennai: Chennai, India, 2004. [Google Scholar]
- Galvan, S.; Botturi, D.; Fiorini, P. FPGA-based controller for haptic devices. In Proceedings of the 2006 IEEE/RSJ International Conference on Intelligent Robots and Systems, Beijing, China, 9–15 October 2006; pp. 971–976. [Google Scholar]
- Bellemare-Rousseau, S.; Lachance, G.; Niyonambaza, S.D.; Boisselier, É.; Bouakadoum, M.; Miled, A. FPGA-based Prediction System for Neurotransmitter Concentration Measurement from Spectrophotometry Data. In Proceedings of the 2020 18th IEEE International New Circuits and Systems Conference (NEWCAS), Montreal, QC, Canada, 16–19 June 2020; pp. 267–270. [Google Scholar]
- Wienbrandt, L.; Kässens, J.C.; Hübenthal, M.; Ellinghaus, D. 1000× faster than PLINK: Combined FPGA and GPU accelerators for logistic regression-based detection of epistasis. J. Comput. Sci. 2019, 30, 183–193. [Google Scholar] [CrossRef]
- Carpeño, A.; Ruiz, M.; González, C.; Vega, J.; Dormido-Canto, S.; Esquembri, S.; Bernal, E. OpenCL implementation of an adaptive disruption predictor based on a probabilistic Venn classifier. IEEE Trans. Nucl. Sci. 2019, 66, 1007–1013. [Google Scholar] [CrossRef]
- Zhang, C.; Li, P.; Sun, G.; Guan, Y.; Xiao, B.; Cong, J. Optimizing fpga-based accelerator design for deep convolutional neural networks. In Proceedings of the 2015 ACM/SIGDA International Symposium on Field-Programmable Gate Arrays, Monterey, CA, USA, 22–24 February 2015; pp. 161–170. [Google Scholar]
- Yu, Q.; Wang, C.; Ma, X.; Li, X.; Zhou, X. A deep learning prediction process accelerator based FPGA. In Proceedings of the 2015 IEEE/ACM 15th International Symposium on Cluster, Cloud, and Grid Computing, CCGrid 2015, Shenzhen, China, 4–7 May 2015; pp. 1159–1162. [Google Scholar] [CrossRef]
- Bahoura, M. FPGA implementation of an automatic wheezing detection system. Biomed. Signal Process. Control 2018, 46, 76–85. [Google Scholar] [CrossRef]
- Gaikwad, N.B.; Tiwari, V.; Keskar, A.; Shivaprakash, N. Efficient FPGA implementation of multilayer perceptron for real-time human activity classification. IEEE Access 2019, 7, 26696–26706. [Google Scholar] [CrossRef]
- Zhai, X.; Ali, A.A.S.; Amira, A.; Bensaali, F. MLP neural network based gas classification system on Zynq SoC. IEEE Access 2016, 4, 8138–8146. [Google Scholar] [CrossRef]
- Bahoura, M. FPGA implementation of blue whale calls classifier using high-level programming tool. Electronics 2016, 5, 8. [Google Scholar] [CrossRef] [Green Version]
- Junior, J.C.; Torquato, M.F.; Mahmoodi, T.; Dohler, M.; Fernandes, M.A. Reconfigurable Computing Applied to Latency Reduction for the Tactile Internet. arXiv 2020, arXiv:2003.12463. [Google Scholar]
- Montgomery, D.C.; Peck, E.A.; Vining, G.G. Introduction to Linear Regression Analysis; John Wiley & Sons: Hoboken, NJ, USA, 2012; Volume 821. [Google Scholar]
- Haykin, S. Neural Networks: A Comprehensive Foundation, 2nd ed.; Prentice Hall: Hoboken, NJ, USA, 1998. [Google Scholar]
- Rumelhart, D.E.; Hinton, G.E.; Williams, R.J. Learning Internal Representations by Error Propagation; MIT Press: Cambridge, MA, USA, 1986; pp. 318–362. [Google Scholar]
- Gupta, V.; Hewett, R. Real-Time Tweet Analytics Using Hybrid Hashtags on Twitter Big Data Streams. Information 2020, 11, 341. [Google Scholar] [CrossRef]
- Lavín-Delgado, J.; Solís-Pérez, J.; Gómez-Aguilar, J.; Escobar-Jiménez, R. Trajectory tracking control based on non-singular fractional derivatives for the PUMA 560 robot arm. Multibody Syst. Dyn. 2020, 50, 259–303. [Google Scholar] [CrossRef]
- Jenkal, W.; Latif, R.; Elouardi, A.; Mejhoudi, S. FPGA Implementation of the Real-Time ADTF process using the Intel-Altera DE1 Board for ECG signal Denoising. In Proceedings of the 2019 4th World Conference on Complex Systems (WCCS), Ouarzazate, Morocco, 22–25 April 2019; pp. 1–6. [Google Scholar]
- Song, G.; Guo, S.; Wang, Q. A Tele-operation system based on haptic feedback. In Proceedings of the 2006 IEEE International Conference on Information Acquisition, Veihai, China, 20–23 August 2006; pp. 1127–1131. [Google Scholar] [CrossRef]
- Sansanayuth, T.; Nilkhamhang, I.; Tungpimolrat, K. Teleoperation with inverse dynamics control for PHANToM Omni haptic device. In Proceedings of the 2012 Proceedings of SICE Annual Conference (SICE), Akita, Japan, 20–23 August 2012; pp. 2121–2126. [Google Scholar]
- Silva, A.J.; Ramirez, O.A.D.; Vega, V.P.; Oliver, J.P.O. PHANToM OMNI Haptic Device: Kinematic and Manipulability. In Proceedings of the 2009 Electronics, Robotics and Automotive Mechanics Conference (CERMA), Cuernavaca, Mexico, 22–25 September 2009; pp. 193–198. [Google Scholar] [CrossRef]
- Al-Wais, S.; Al-Samarraie, S.A.; Abdi, H.; Nahavandi, S. Integral Sliding Mode Controller for Trajectory Tracking of a Phantom Omni Robot. In Proceedings of the 2016 International Conference on Cybernetics, Robotics and Control (CRC), Hong Kong, China, 19–21 August 2016; pp. 6–12. [Google Scholar] [CrossRef]
- McCool, M.; Robison, A.D.; Reinders, J. Chapter 2—Background. In Structured Parallel Programming; McCool, M., Robison, A.D., Reinders, J., Eds.; Morgan Kaufmann: Boston, MA, USA, 2012; pp. 39–75. [Google Scholar] [CrossRef]



































| Parameter | Value |
|---|---|
| Number of nodes in layers | 4–4–1 |
| Activation function | ReLU |
| Training Algorithm | Backpropagation |
| Training mode | Online mode |
| 0.008 | |
| 0.0 |
| Method | NR | PR | NLUT | PNLUT | NMULT | PNMULT | (ns) | (Msps) |
|---|---|---|---|---|---|---|---|---|
| LR () | 198 | 0.07% | 3440 | 2.28% | 9 | 1.17% | 40.25 | 24.84 |
| LR () | 380 | 0.13% | 5574 | 3.70% | 9 | 1.17% | 64.50 | 15.50 |
| LR () | 649 | 0.22% | 8870 | 5.89% | 9 | 1.17% | 104.81 | 9.54 |
| LR () | 942 | 0.31% | 11,762 | 7.80% | 9 | 1.17% | 142.16 | 7.03 |
| Method | NR | PR | NLUT | PNLUT | NMULT | PNMULT | (ns) | (Msps) |
|---|---|---|---|---|---|---|---|---|
| LR () | 529 | 0.18% | 9923 | 6.58% | 27 | 3.52% | 43.53 | 68.91 |
| LR () | 1075 | 0.36% | 16,328 | 10.83% | 27 | 3.52% | 66.07 | 45.42 |
| LR () | 1886 | 0.63% | 26,159 | 17.36% | 27 | 3.52% | 118.64 | 25.29 |
| LR () | 2764 | 0.92% | 34,979 | 23.21% | 27 | 3.52% | 139.12 | 21,57 |
| Method | NR | PR | NLUT | PNLUT | NMULT | PNMULT | (ns) | (Msps) |
|---|---|---|---|---|---|---|---|---|
| LR () | 1027 | 0.34% | 19,649 | 13.04% | 54 | 7.03% | 42.42 | 141.48 |
| LR () | 2119 | 0.70% | 32,457 | 21.53% | 54 | 7.03% | 66.81 | 89.82 |
| LR () | 3740 | 1.24% | 52,146 | 34.60% | 54 | 7.03% | 104.75 | 57.30 |
| LR () | 5497 | 1.82% | 69,595 | 46.18% | 54 | 7.03% | 171.32 | 35.04 |
| NI | NR | PR | NLUT | PNLUT | NMULT | PNMULT | (ns) | (Msps) | |
|---|---|---|---|---|---|---|---|---|---|
| 1 | 18.14 | 547 | 0.18% | 8141 | 5.40% | 54 | 7.03% | 54.24 | 18.44 |
| 16.12 | 514 | 0.17% | 7307 | 4.85% | 54 | 7.03% | 55.12 | 18.14 | |
| 14.10 | 431 | 0.14% | 6575 | 4.36% | 54 | 7.03% | 52.94 | 18.89 | |
| 3 | 18.14 | 1695 | 0.56% | 24,483 | 16.24% | 162 | 21.09% | 64.42 | 46.57 |
| 16.12 | 1590 | 0.53% | 21,889 | 14.52% | 162 | 21.09% | 60.24 | 49.80 | |
| 14.10 | 1335 | 0.44% | 19,729 | 13.09% | 162 | 21.09% | 55.39 | 54.16 | |
| 6 | 18.14 | 3390 | 1.12% | 48,520 | 32.19% | 324 | 42.19% | 63.95 | 93.82 |
| 16.12 | 3180 | 1.05% | 43,390 | 28.79% | 324 | 42.19% | 64.03 | 93.71 | |
| 14.10 | 2670 | 0.89% | 39,718 | 26.35% | 324 | 42.19% | 61.86 | 96.99 |
| NI | NR | PR | NLUT | PNLUT | NMULT | PNMULT | (ns) | (Msps) | |
|---|---|---|---|---|---|---|---|---|---|
| 1 | 18.14 | 565 | 0.19% | 8141 | 5.40% | 54 | 7.03% | 57.01 | 17.54 |
| 16.12 | 530 | 0.18% | 7303 | 4.85% | 54 | 7.03% | 55.87 | 17.90 | |
| 14.10 | 445 | 0.15% | 6577 | 4.36% | 54 | 7.03% | 54.74 | 18.27 | |
| 3 | 18.14 | 1,749 | 0.58% | 24,455 | 16.23% | 162 | 21.09% | 63.66 | 47.13 |
| 16.12 | 1,738 | 0.58% | 21,885 | 14.52% | 162 | 21.09% | 56.99 | 52.64 | |
| 14.10 | 1,377 | 0.46% | 19,725 | 13.09% | 162 | 21.09% | 56.37 | 53.22 | |
| 6 | 18.14 | 3,498 | 1.16% | 48,910 | 32.45% | 324 | 42.19% | 75.44 | 79.53 |
| 16.12 | 3,276 | 1.09% | 43,786 | 29.05% | 324 | 42.19% | 63.95 | 93.82 | |
| 14.10 | 2754 | 0.91% | 39,460 | 26.18% | 324 | 42.19% | 60.77 | 98.73 |
| NI | NR | PR | NLUT | PNLUT | NMULT | PNMULT | (ns) | (Msps) | |
|---|---|---|---|---|---|---|---|---|---|
| 1 | 18.14 | 0 | 0.00% | 1166 | 0.77% | 25 | 3.26% | 28.69 | 34.86 |
| 16.12 | 0 | 0.00% | 1061 | 0.70% | 25 | 3.26% | 27.30 | 36.64 | |
| 14.10 | 0 | 0.00% | 956 | 0.63% | 25 | 3.26% | 28.41 | 35.20 | |
| 3 | 18.14 | 0 | 0.00% | 3510 | 2.33% | 75 | 9.77% | 32.65 | 91.90 |
| 16.12 | 0 | 0.00% | 3195 | 2.12% | 75 | 9.77% | 32.20 | 93.18 | |
| 14.10 | 0 | 0.00% | 2880 | 1.91% | 75 | 9.77% | 30.72 | 97.65 | |
| 6 | 18.14 | 0 | 0.00% | 7020 | 4.66% | 150 | 19.53% | 34.36 | 174.63 |
| 16.12 | 0 | 0.00% | 6390 | 4.24% | 150 | 19.53% | 33.84 | 177.30 | |
| 14.10 | 0 | 0.00% | 5760 | 3.82% | 150 | 19.53% | 31.81 | 188.62 |
| NI | NR | PR | NLUT | PNLUT | NMULT | PNMULT | (ns) | (Msps) | |
|---|---|---|---|---|---|---|---|---|---|
| 1 | 18.14 | 475 | 0.16% | 6411 | 4.25% | 29 | 3.78% | 29.16 | 34.29 |
| 16.12 | 425 | 0.14% | 5651 | 3.75% | 29 | 3.78% | 25.83 | 38.71 | |
| 14.10 | 350 | 0.12% | 5316 | 3.53% | 29 | 3.78% | 25.16 | 39.74 |
| Method | MSE |
|---|---|
| LR () | |
| LR () | |
| LR () | |
| LR () |
| W | MSE |
|---|---|
| 14 | |
| 12 | |
| 10 |
| Ref. | NI | Data Precision (T.W) | MLP Speed (MHz) | MLP-BP Speed (MHz) | Throughput (Msps) |
|---|---|---|---|---|---|
| [50] | 1 | 24 | 113.14 | - | 113.14 |
| 115.88 | - | 115.88 | |||
| [51] | 1 | 16.15 | 100 | - | 3.70 |
| [52] | 1 | 24.20 | 100 | - | 1.85 |
| [53] | 1 | 24 | 27.89 | - | 27.89 |
| 25.24 | - | 25.24 | |||
| This Work | 1 | 14.10 | 35.20 | 18.89 | 18.89 |
| 3 | 32.55 | 18.05 | 54.15 | ||
| 6 | 31.44 | 16.17 | 97.02 |
| NI | [50] 1 | [50] 2 | [51] | [52] | [53] 1 | [53] 2 |
|---|---|---|---|---|---|---|
| 1 | 0.17× | 0.16× | 5.11× | 10.21× | 0.68× | 0.75× |
| 3 | 0.48× | 0.47× | 14.64× | 29.27× | 1.94× | 2.15× |
| 6 | 0.86× | 0.84× | 26.22× | 52.44× | 3.48× | 3.84× |
| Ref. | NI | Data Precision (T.W) | NLUT | NR | NMULT | NBRAM |
|---|---|---|---|---|---|---|
| [50] 1 | 1 | 24 | 19,567 | 21,861 | 168 | 26 |
| [50] 2 | 1 | 24 | 19,732 | 21,659 | 168 | 26 |
| [51] | 1 | 16.15 | 3466 | 569 | 81 | 0 |
| [52] | 1 | 24.20 | 4032 | 2863 | 28 | 2 |
| [53] 1 | 1 | 24 | 21,322 | 13,546 | 219 | 2 |
| [53] 2 | 1 | 24 | 21,658 | 13,330 | 219 | 2 |
| This Work | 1 | 14.10 | 6575 | 431 | 54 | 0 |
| 3 | 19,729 | 1335 | 162 | 0 | ||
| 6 | 39,718 | 2670 | 324 | 0 |
| NI | [50] 1 | [50] 2 | [51] | [52] | [53] 1 | [53] 2 | |
|---|---|---|---|---|---|---|---|
| This Work | 1 | 0.34× | 0.33× | 1.90× | 1.63× | 0.31× | 0.30× |
| 3 | 1.01× | 1.00× | 5.69× | 4.89× | 0.93× | 0.91× | |
| 6 | 2.03× | 2.01× | 11.46× | 9.85× | 1.86× | 1.83× |
| NI | [50] 1 | [50] 2 | [51] | [52] | [53] 1 | [53] 2 | |
|---|---|---|---|---|---|---|---|
| This Work | 1 | 0.02× | 0.02× | 0.76× | 0.15× | 0.03× | 0.03× |
| 3 | 0.06× | 0.06× | 2.35× | 0.47× | 0.10× | 0.10× | |
| 6 | 0.12× | 0.12× | 4.69× | 0.93× | 0.20× | 0.20× |
| NI | [50] 1 | [50] 2 | [51] | [52] | [53] 1 | [53] 2 | |
|---|---|---|---|---|---|---|---|
| This Work | 1 | 0.32× | 0.32× | 0.67× | 1.93× | 0.25× | 0.25× |
| 3 | 0.96× | 0.96× | 2.00× | 5.79× | 0.74× | 0.74× | |
| 6 | 1.93× | 1.93× | 4.00× | 11.57× | 1.48× | 1.48× |
| NI | [50] 1 | [50] 2 | [51] | [52] | [53] 1 | [53] 2 | |
|---|---|---|---|---|---|---|---|
| This Work | 1 | 0.04× | 0.04× | 1.00× | 0.50× | 0.50× | 0.50× |
| 3 | 0.04× | 0.04× | 1.00× | 0.50× | 0.50× | 0.50× | |
| 6 | 0.04× | 0.04× | 1.00× | 0.50× | 0.50× | 0.50× |
Publisher’s Note: MDPI stays neutral with regard to jurisdictional claims in published maps and institutional affiliations. |
© 2022 by the authors. Licensee MDPI, Basel, Switzerland. This article is an open access article distributed under the terms and conditions of the Creative Commons Attribution (CC BY) license (https://creativecommons.org/licenses/by/4.0/).
Share and Cite
Silva, S.N.; da Silva, L.M.D.; Dias, L.A.; Fernandes, M.A.C. Prediction Techniques on FPGA for Latency Reduction on Tactile Internet. Sensors 2022, 22, 3556. https://doi.org/10.3390/s22093556
Silva SN, da Silva LMD, Dias LA, Fernandes MAC. Prediction Techniques on FPGA for Latency Reduction on Tactile Internet. Sensors. 2022; 22(9):3556. https://doi.org/10.3390/s22093556
Chicago/Turabian StyleSilva, Sérgio N., Lucileide M. D. da Silva, Leonardo A. Dias, and Marcelo A. C. Fernandes. 2022. "Prediction Techniques on FPGA for Latency Reduction on Tactile Internet" Sensors 22, no. 9: 3556. https://doi.org/10.3390/s22093556
APA StyleSilva, S. N., da Silva, L. M. D., Dias, L. A., & Fernandes, M. A. C. (2022). Prediction Techniques on FPGA for Latency Reduction on Tactile Internet. Sensors, 22(9), 3556. https://doi.org/10.3390/s22093556

