Multiservice-Based Traffic Scheduling for 5G Access Traffic Steering, Switching and Splitting
Abstract
:1. Introduction
1.1. Background
1.2. Related Work
1.3. Our Contribution
- A smart mode selection module was employed to choose between 3GPP and non-3GPP access. A model for the selection of the transmission path, based on the utility function, was developed.
- A method for determination of the suitable service network, based on the network load, which quickly and effectively discards high-load networks, was developed. This method comprises three steps: (a) determination of the service network candidate set; (b) elimination of the poor link quality network; and (c) elimination of the high-load network, based on a sigmoid function.
- An effective network capacity maximization problem was formulated under specific DQoS, statistical bandwidth and power constraints. Using the Lagrangian function and the sub-gradient algorithm, the original problem was solved and an optimal resource allocation solution for 3GPP access and non-3GPP was derived.
2. System Model
2.1. Network Model
2.2. Service Utility Model
- CBR
- DS
- VBR
2.3. Effective Network Capacity
3. Multiservice Type-Based Transmission (MSTT)
- Step 1. Determination of transmission path number.
- Step 2. Selection of dedicated path.
- Step 3. Distributed power and bandwidth allocation.
- (1)
- Optimal power-allocation mechanism
- (2)
- Optimal bandwidth-allocation mechanism
| Algorithm 1. Optimal bandwidth allocation using the sub-gradient method. |
| 1. Declare, instantiate, and initialize s = 0 as a counter of the number of iterations s according to (35). |
| 2. Input the initial values of , , , , and . |
| 3. Initialize maximum tolerance threshold and . |
| 4. Calculate gradients according to (39) and (40). |
| 5. Solve then calculate current optimal values , as obtained from the optimal power-allocation mechanism described by (34). |
| 6. Calculate the current optimal effective network capacity, . |
| 7. Increment the counter for the next iteration of the algorithm: . |
| 8. Continue solving and obtaining current optimal values according to optimal power allocations . |
| 9. . |
| 10. according to the iteration formula in (42). |
| 11. . |
| 12. End. |
4. Simulation Results and Analysis
4.1. Simulation Parameters
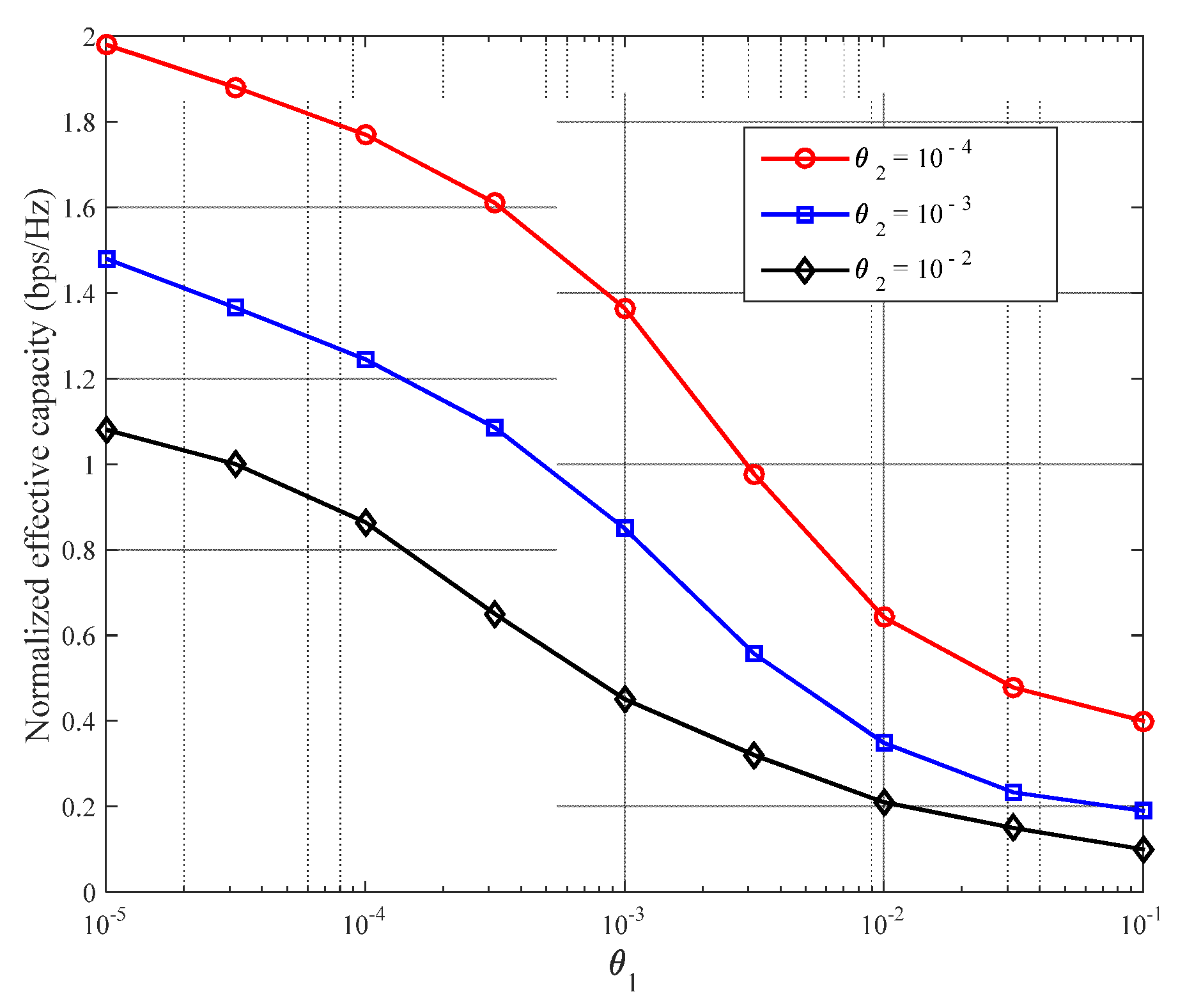
4.2. Simulation Results
5. Conclusions
Author Contributions
Funding
Conflicts of Interest
References
- NGMN Alliance. NGMN 5G White Paper. Available online: http://www.ngmn.org (accessed on 17 February 2015).
- Simon, M.; Kofi, E.; Libin, L.; Aitken, M. ATSC 3.0 Broadcast 5G Unicast Heterogeneous Network Converged Services Starting Release 16. IEEE Trans. Broadcast 2020, 66, 449–458. [Google Scholar] [CrossRef]
- Haneul, K.; Jaewook, L.; Sangheon, P. Joint Optimization of Channel Selection and Frame Scheduling for Coexistence of LTE and WLAN. IEEE Trans. Veh. Technol. 2018, 67, 6481–6491. [Google Scholar]
- Sankaran, C.B. Data offloading techniques in 3GPP Rel-10 networks: A tutorial. IEEE Commun. Mag. 2012, 50, 46–53. [Google Scholar] [CrossRef]
- Abass, A.A.A.; Kumbhkar, R.; Mandayam, N.B.; Gajic, Z. WiFi/LTE-U Coexistence: An Evolutionary Game Approach. IEEE Trans. Cogn. Commun. Netw. 2019, 5, 44–58. [Google Scholar] [CrossRef]
- Lin, Y.; Shih, Y.; Chao, P. Design and Implementation of LTE RRM With Switched LWA Policies. IEEE Trans. Veh. Technol. 2018, 67, 1053–1062. [Google Scholar] [CrossRef]
- Ko, H.; Lee, J.; Pack, S. A Fair Listen-Before-Talk Algorithm for Coexistence of LTE-U and WLAN. IEEE Trans. Veh. Technol. 2016, 65, 10116–10120. [Google Scholar] [CrossRef]
- Liu, B.; Zhu, Q.; Zhu, H. Delay-Aware LTE WLAN Aggregation in Heterogeneous Wireless Network. IEEE Access 2018, 6, 14544–14559. [Google Scholar] [CrossRef]
- Marzban, M.F.; Ismail, M.; Abdallah, M.M.; Khairy, M.M.; Qaraqe, K.A.; Serpedin, E. IDC Interference-Aware Resource Allocation for LTE/WLAN Heterogeneous Networks. IEEE Wirel. Commun. Lett. 2015, 4, 581–584. [Google Scholar] [CrossRef]
- Grassi, A.; Piro, G.; Bacci, G.; Boggia, G. Uplink Resource Management in 5G: When a Distributed and Energy-Efficient Solution Meets Power and QoS Constraints. IEEE Trans. Veh. Technol. 2017, 66, 5176–5189. [Google Scholar] [CrossRef]
- Al-Imari, M.; Imran, M.A.; Xiao, P. Radio Resource Allocation for Multicarrier Low-Density-Spreading Multiple Access. IEEE Trans. Veh. Technol. 2017, 66, 2382–2393. [Google Scholar] [CrossRef] [Green Version]
- Li, Y.; Barthelemy, J.; Sun, S.; Perez, P.; Moran, B. A Case Study of WiFi Sniffing Performance Evaluation. IEEE Access 2020, 8, 129224–129235. [Google Scholar] [CrossRef]
- Tan, J.; Zhang, L.; Liang, Y.-C.; Niyato, D. Intelligent Sharing for LTE and WiFi Systems in Unlicensed Bands: A Deep Reinforcement Learning Approach. IEEE Trans. Commun. 2020, 68, 2793–2808. [Google Scholar] [CrossRef]
- Markova, E.; Moltchanov, D.; Gudkova, I.; Samouylov, K.; Koucharyavy, Y. Performance Assessment of QoS Aware LTE Sessions Offloading Onto LAA/WiFi Systems. IEEE Access 2019, 7, 36300–36311. [Google Scholar] [CrossRef]
- Maule, M.; Moltchanov, D.; Kustarev, P.; Komarov, M.; Andreev, S.; Koucheryavy, Y. Delivering Fairness and QoS Guarantees for LTE/Wi-Fi Coexistence Under LAA Operation. IEEE Access 2018, 6, 7359–7373. [Google Scholar] [CrossRef]
- Kumar, S.; Misra, S. Procurement-Based User Association for LTE Advanced HetNets. IEEE Syst. J. 2020, 14, 3194–3201. [Google Scholar] [CrossRef]
- Nakayama, T.; Senoo, H.; Wen, Y.; Tajima, Y.; Kimura, D. A LTE/WLAN selection method based on a novel throughput estimation method. In Proceedings of the 2017 IEEE 28th Annual International Symposium on Personal, Indoor, and Mobile Radio Communications (PIMRC), Montreal, QC, Canada, 8–13 October 2017. [Google Scholar]
- Xu, S.; Fu, Y. Resource allocation algorithm for maximizing network utility in LTE network with dual connectivity. In Proceedings of the 2017 3rd IEEE International Conference on Computer and Communications (ICCC), Chengdu, China, 13–16 December 2017. [Google Scholar]
- Singh, S.; Geraseminko, M.; Yeh, S.-P.; Himayat, N.; Talwar, S. Proportional Fair Traffic Splitting and Aggregation in Heterogeneous Wireless Networks. IEEE Commun. Lett. 2016, 20, 1010–1013. [Google Scholar] [CrossRef] [Green Version]
- Hurtig, P.; Grinnemo, K.J.; Brunstrom, A.; Ferlin, S.; Alay, Ö.; Kuhn, N. Low-Latency Scheduling in MPTCP. IEEE/ACM Trans. Netw. 2019, 27, 302–315. [Google Scholar] [CrossRef]
- Elsherif, A.R.; Chen, W.-P.; Ito, A.; Ding, Z. Resource Allocation and Inter-Cell Interference Management for Dual-Access Small Cells. IEEE J. Sel. Areas Commun. 2015, 33, 1082–1096. [Google Scholar] [CrossRef]
- Liu, F.; Bala, E.; Erkip, E.; Beluri, M.C.; Yang, R. Small-Cell Traffic Balancing Over Licensed and Unlicensed Bands. IEEE Trans. Veh. Technol. 2015, 64, 5850–5865. [Google Scholar] [CrossRef]
- Bennis, M.; Simsek, M.; Czylwik, A.; Saad, W.; Valentin, S.; Debbah, M. When cellular meets WiFi in wireless small cell networks. IEEE Commun. Mag. 2013, 51, 44–50. [Google Scholar] [CrossRef] [Green Version]
- El Helou, M.; Ibrahim, M.; Lahoud, S.; Khawam, K.; Mezher, D.; Cousin, B. A Network-Assisted Approach for RAT Selection in Heterogeneous Cellular Networks. IEEE J. Sel. Areas Commun. 2015, 33, 1055–1067. [Google Scholar] [CrossRef] [Green Version]
- Musavian, L.; Ni, Q. Effective Capacity Maximization With Statistical Delay and Effective Energy Efficiency Requirements. IEEE Trans. Wireless Commun. 2015, 14, 3824–3835. [Google Scholar] [CrossRef] [Green Version]
- Roy, A.; Chaporkar, P.; Karandikar, A. Optimal Radio Access Technology Selection Algorithm for LTE-WiFi Network. IEEE Trans. Veh. Technol. 2018, 67, 6446–6460. [Google Scholar] [CrossRef]
- Khalek, A.A.; Caramanis, C.; Heath, R.W. Delay-Constrained Video Transmission: Quality-Driven Resource Allocation and Scheduling. IEEE J. Sel. Top. Signal Process. 2015, 9, 60–75. [Google Scholar] [CrossRef]
- Gu, Y.; Cui, Q.; Ni, W.; Zhang, P.; Zhuang, W. Optimal Scheduling across Heterogeneous Air Interfaces of LTE/WiFi Aggregation. In Proceedings of the IEEE International Conference on Communications, Kansas City, MO, USA, 20–24 May 2018. [Google Scholar]
- Buzzi, S.; Chih-Lin, I.; Klein, T.E.; Poor, H.V.; Yang, C.; Zappone, A. A survey of energy-efficient techniques for 5G networks and challenges ahead. IEEE J. Sel. Areas Commun. 2016, 4, 697–709. [Google Scholar] [CrossRef] [Green Version]
- Giannopoulos, A.; Spantideas, S.; Kapsalis, N.; Karkazis, P.; Trakadas, P. Deep reinforcement learning for energy-efficient multi-channel transmissions in 5G cognitive het-nets: Centralized, decentralized and transfer learning-based solutions. IEEE Access 2021, 9, 129358–129374. [Google Scholar] [CrossRef]
- Zhao, G.; Li, Y.; Xu, C.; Han, Z.; Xing, Y.; Yu, S. Joint power control and channel allocation for interference mitigation based on reinforcement learning. IEEE Access 2019, 7, 177254–177265. [Google Scholar] [CrossRef]
- Li, S.; Wang, Y.; Ba, X. Power control and bandwidth allocation based on multi-service for uplink in LWA system. In Proceedings of the IEEE Wireless Communications and Networking Conference, Marrakesh, Morocco, 15–18 April 2019. [Google Scholar]
- Ahmad, S.A.; DaSilva, L.A. Power Control and Soft Topology Adaptations in Multi-hop Cellular Networks with Multi-Point Connectivity. IEEE Trans. Commun. 2015, 63, 683–694. [Google Scholar] [CrossRef] [Green Version]
- Jiang, D.; Huo, L.; Lv, Z.; Song, H.; Qin, W. A Joint Multi-Criteria Utility-Based Network Selection Approach for Vehicle- to-Infrastructure Networking. IEEE Trans. Intell. Transp. Syst. 2018, 19, 3305–3319. [Google Scholar] [CrossRef]
- Iiduka, H. Distributed Optimization for Network Resource Allocation With Non-smooth Utility Functions. IEEE Trans. Control Netw. Syst. 2019, 6, 1354–1365. [Google Scholar] [CrossRef]
- Liu, Q.; Zeng, H.; Chen, M. Network Utility Maximization Under Maximum Delay Constraints and Throughput Requirements. IEEE/ACM Trans. Netw. 2020, 28, 2132–2145. [Google Scholar]
- Kumar, A.; Abdelhadi, A.; Clancy, C. A Delay Optimal Multiclass Packet Scheduler for General M2M Uplink. IEEE Syst. J. 2019, 13, 3815–3826. [Google Scholar] [CrossRef]
- Elmosilhy, N.A.; Elmesalawy, M.M.; Elhaleem, A.M.A. User Association With Mode Selection in LWA-Based Multi-RAT HetNet. IEEE Access 2019, 7, 158623–158633. [Google Scholar] [CrossRef]
- Anany, M.; Elmesalawy, M.M.; Abd El-Haleem, A.M. Matching Game-Based Cell Association in Multi-RAT HetNet Considering Device Requirements. IEEE Int. Things J. 2019, 6, 9774–9782. [Google Scholar] [CrossRef]
- Zarakovitis, C.C.; Ni, Q.; Skordoulis, D.E.; Hadjinicolaou, M.G. Power-Efficient Cross-Layer Design for OFDMA Systems With Heterogeneous QoS, Imperfect CSI, and Outage Considerations. IEEE Trans. Veh. Technol. 2012, 61, 781–798. [Google Scholar] [CrossRef]
- Wu, D.; Negi, R. Effective capacity: A wireless link model for support of quality of service. IEEE Trans. Wirel. Commun. 2003, 2, 630–643. [Google Scholar]
- Chang, C. Stability, queue length, and delay of deterministic and stochastic queueing networks. IEEE Trans. Autom. Control 1994, 35, 913–931. [Google Scholar] [CrossRef] [Green Version]
- Gao, Y.; Cheng, W.; Zhang, H. Statistical QoS guaranteed energy efficiency optimization for energy harvesting based wireless sensor networks. Sensors 2017, 17, 1933. [Google Scholar] [CrossRef] [Green Version]
- Chang, C.S.; Thomas, J.A. Effective bandwidth in high-speed digital networks. IEEE J. Sel. Areas Commun. 1995, 13, 1091–1100. [Google Scholar] [CrossRef]
- Tesema, F.B.; Awada, A.; Viering, I.; Simsek, M.; Fettweis, G.P. Fast cell select for mobility robustness in intra-frequency 5G ultra dense networks. In Proceedings of the Personal, Indoor and Mobile Radio Communications (PIMRC), Valencia, Spain, 4–8 September 2016. [Google Scholar]
- Tesema, F.B.; Awada, A.; Viering, I.; Simsek, M.; Fettweis, G.P. Fettweis, Evaluation of adaptive active set management for multi-connectivity in intra-frequency 5G networks. IEEE Wirel. Commun. Lett. 2016, 2, 608–611. [Google Scholar] [CrossRef]
- Wang, D.; Wang, Y.; Dong, S.; Huang, G.; Liu, J.; Gao, W. On Delay-Aware Resource Control with Statistical QoS Provisioning By Dual Connectivity in Heterogeneous Aeronautical Network. IEEE Trans. Veh. Technol. 2020, 69, 2915–2927. [Google Scholar] [CrossRef]
- Al-Halafi, A.; Alghadhban, A.; Shihada, B. Queuing Delay Model for Video Transmission Over Multi-Channel Underwater Wireless Optical Networks. IEEE Access 2019, 7, 10515–10522. [Google Scholar] [CrossRef]
- Wang, Y.; Ren, P.; Du, Q.; Sun, L. Optimal Power Allocation for Underlay-Based Cognitive Radio Networks With Primary User’s Statistical Delay QoS Provisioning. IEEE Trans. Wireless Commun. 2015, 14, 6896–6910. [Google Scholar] [CrossRef]
- Wang, Y.; Liu, K.J. Ray. Statistical Delay QoS Protection for Primary Users in Cooperative Cognitive Radio Networks. IEEE Commun. Lett. 2015, 19, 835–838. [Google Scholar] [CrossRef]
- Zafari, F.; Gkelias, A.K.; Leung, K. A Survey of Indoor Localization Systems and Technologies. IEEE Commun. Surv. Tutor. 2019, 21, 2568–2599. [Google Scholar] [CrossRef] [Green Version]
- Wu, H.; Ferlin, S.; Caso, G.; Alay, Ö.; Brunstrom, A. A Survey on Multipath Transport Protocols Towards 5G Access Traffic Steering, Switching and Splitting. IEEE Access 2021, 9, 164417–164439. [Google Scholar] [CrossRef]










| Parameter | Value | |
|---|---|---|
| Carrier frequency | NR WLAN | 3.5 GHz 5 GHz |
| Propagation path-loss model | NR WLAN | Urban macro cellular (Uma)Indoor |
| Bandwidth | NR WLAN | 10 MHz 22 MHz |
| NR inter-site distance (ISD) | 40 m | |
| WLAN AP in a cell | 3 | |
| Maximum transmit power (UE) | 21 dBm | |
| UE moving speed | 30 km/h | |
| Inter-network handover delay | 50 ms | |
| Intra-network handover delay | 10 ms | |
| File-transfer protocol (FTP) service data-packet arrival rate | 1 | |
| Packet size | 4 M | |
| Window size (mathematically obtained from expectation statistics) | 200 ms | |
| 8 kbps | ||
| 20 Mbps | ||
| 12 Mbps | ||
| 0.001 | ||
| 1 | ||
| UE Num | 10 | 20 | 30 | 40 | 50 |
|---|---|---|---|---|---|
| D utility (%) | 100 | 100 | 100 | 100 | 100 |
| MDT uility (%) | 99.658 | 99.765 | 99.639 | 99.772 | 98.683 |
Publisher’s Note: MDPI stays neutral with regard to jurisdictional claims in published maps and institutional affiliations. |
© 2022 by the authors. Licensee MDPI, Basel, Switzerland. This article is an open access article distributed under the terms and conditions of the Creative Commons Attribution (CC BY) license (https://creativecommons.org/licenses/by/4.0/).
Share and Cite
Ba, X.; Jin, L.; Li, Z.; Du, J.; Li, S. Multiservice-Based Traffic Scheduling for 5G Access Traffic Steering, Switching and Splitting. Sensors 2022, 22, 3285. https://doi.org/10.3390/s22093285
Ba X, Jin L, Li Z, Du J, Li S. Multiservice-Based Traffic Scheduling for 5G Access Traffic Steering, Switching and Splitting. Sensors. 2022; 22(9):3285. https://doi.org/10.3390/s22093285
Chicago/Turabian StyleBa, Xinran, Libiao Jin, Zengrui Li, Jianhe Du, and Sidong Li. 2022. "Multiservice-Based Traffic Scheduling for 5G Access Traffic Steering, Switching and Splitting" Sensors 22, no. 9: 3285. https://doi.org/10.3390/s22093285
APA StyleBa, X., Jin, L., Li, Z., Du, J., & Li, S. (2022). Multiservice-Based Traffic Scheduling for 5G Access Traffic Steering, Switching and Splitting. Sensors, 22(9), 3285. https://doi.org/10.3390/s22093285

