A Smart Multi-Rate Data Fusion Method for Displacement Reconstruction of Beam Structures
Abstract
:1. Introduction
2. Smart Multi-Rate Data Fusion Method Using Acceleration and Strain
2.1. Basic Theory of Mode Superposition and Multi-Rate Kalman Filtering
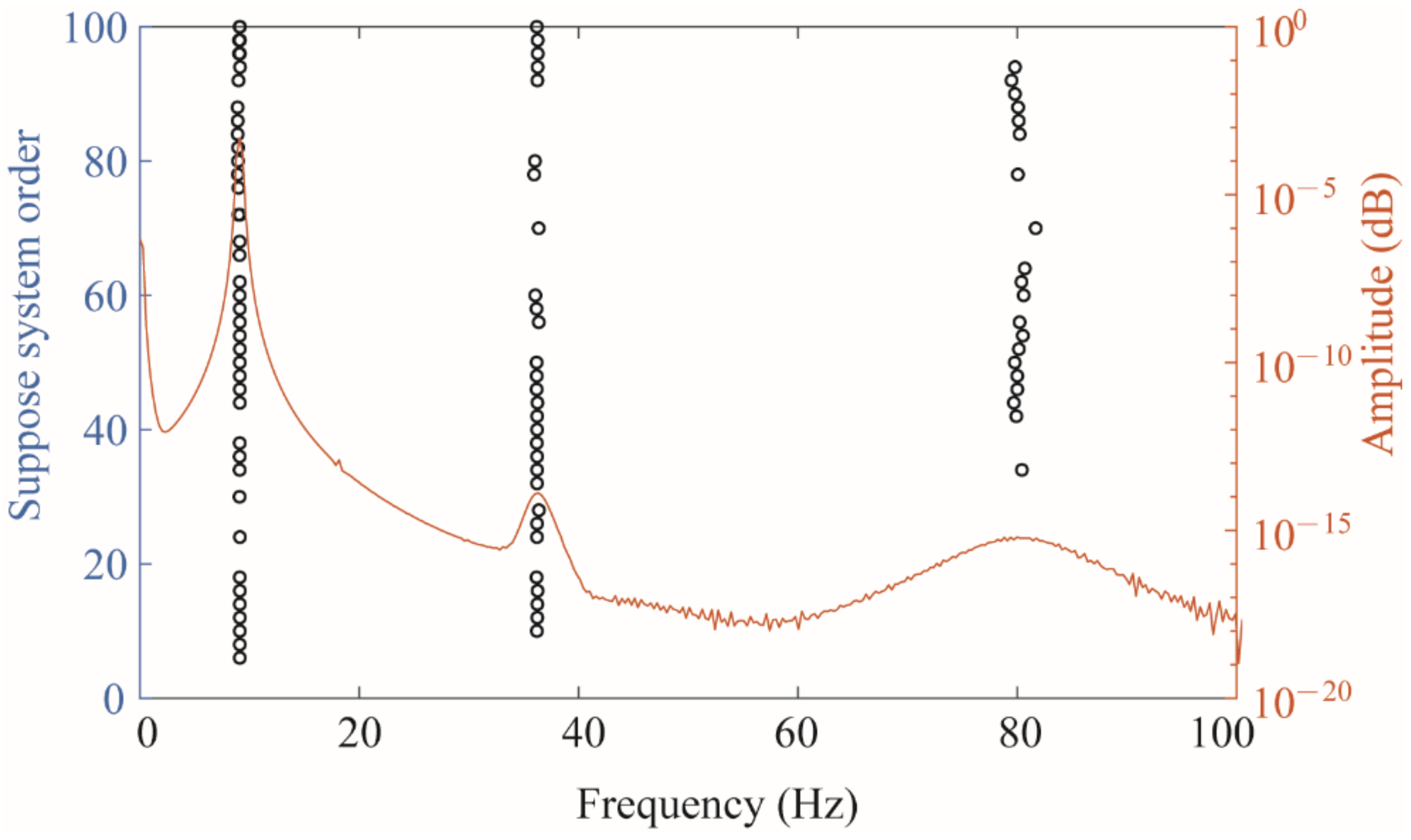
2.1.1. Mode Shape Superposition Method
2.1.2. Multi-Rate Kalman Filtering Technique
2.2. Proposed Data Fusion Approach
3. Verification Using Simply Supported Beam
3.1. Finite Element Model
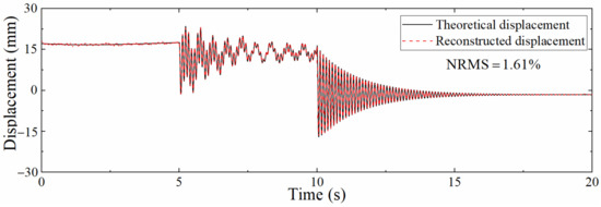
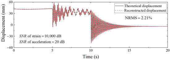
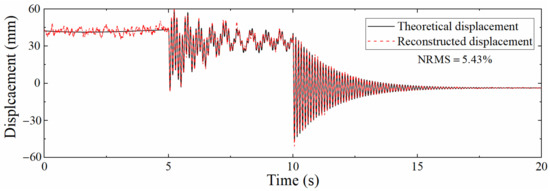
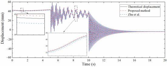
3.2. Displacement Reconstruction
3.3. Parametric Analysis
4. Validation of Complex Beam Structures
4.1. Model Description
4.2. Displacement Reconstruction Results
5. Experiment on a Simply Supported Beam
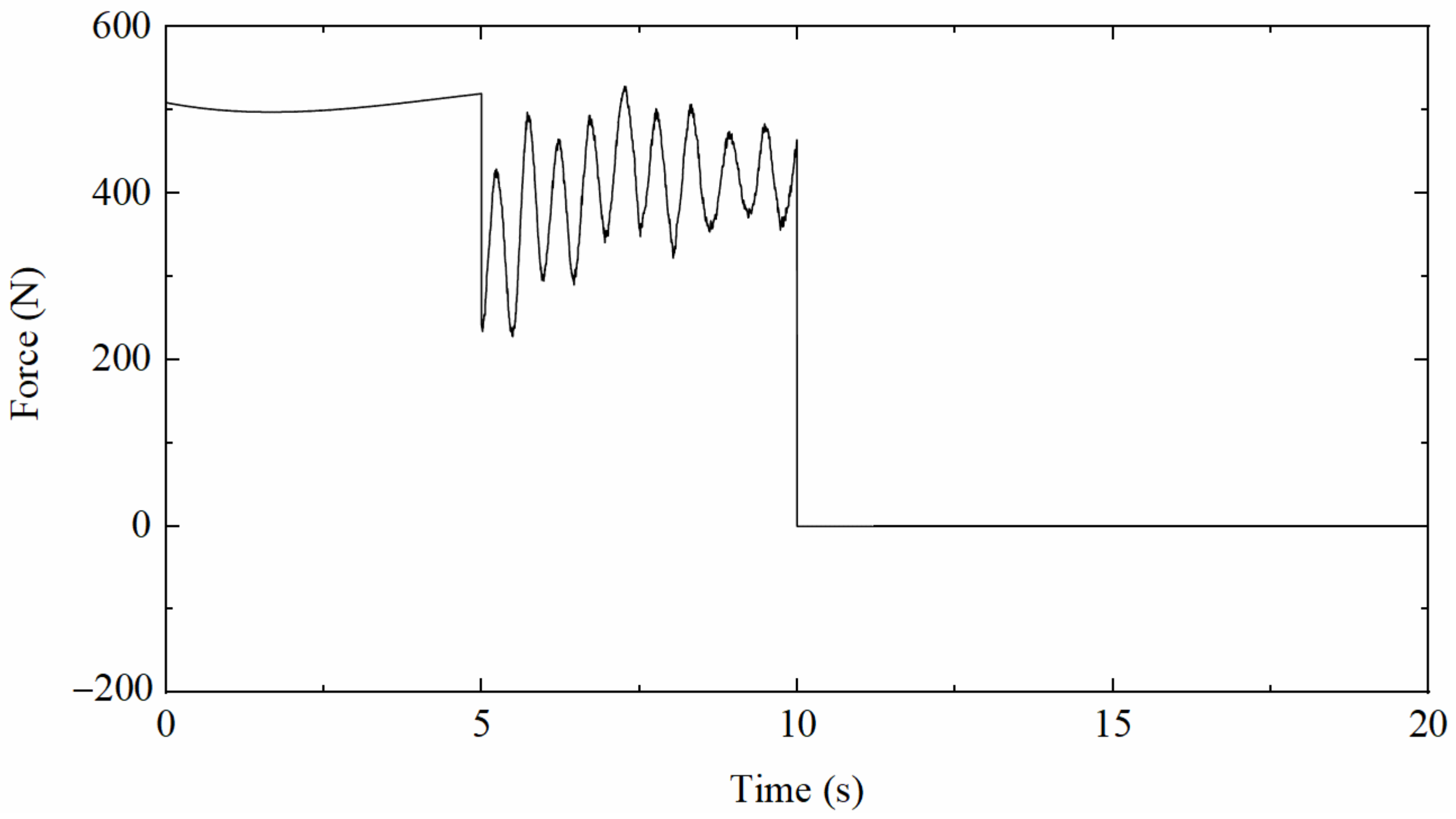
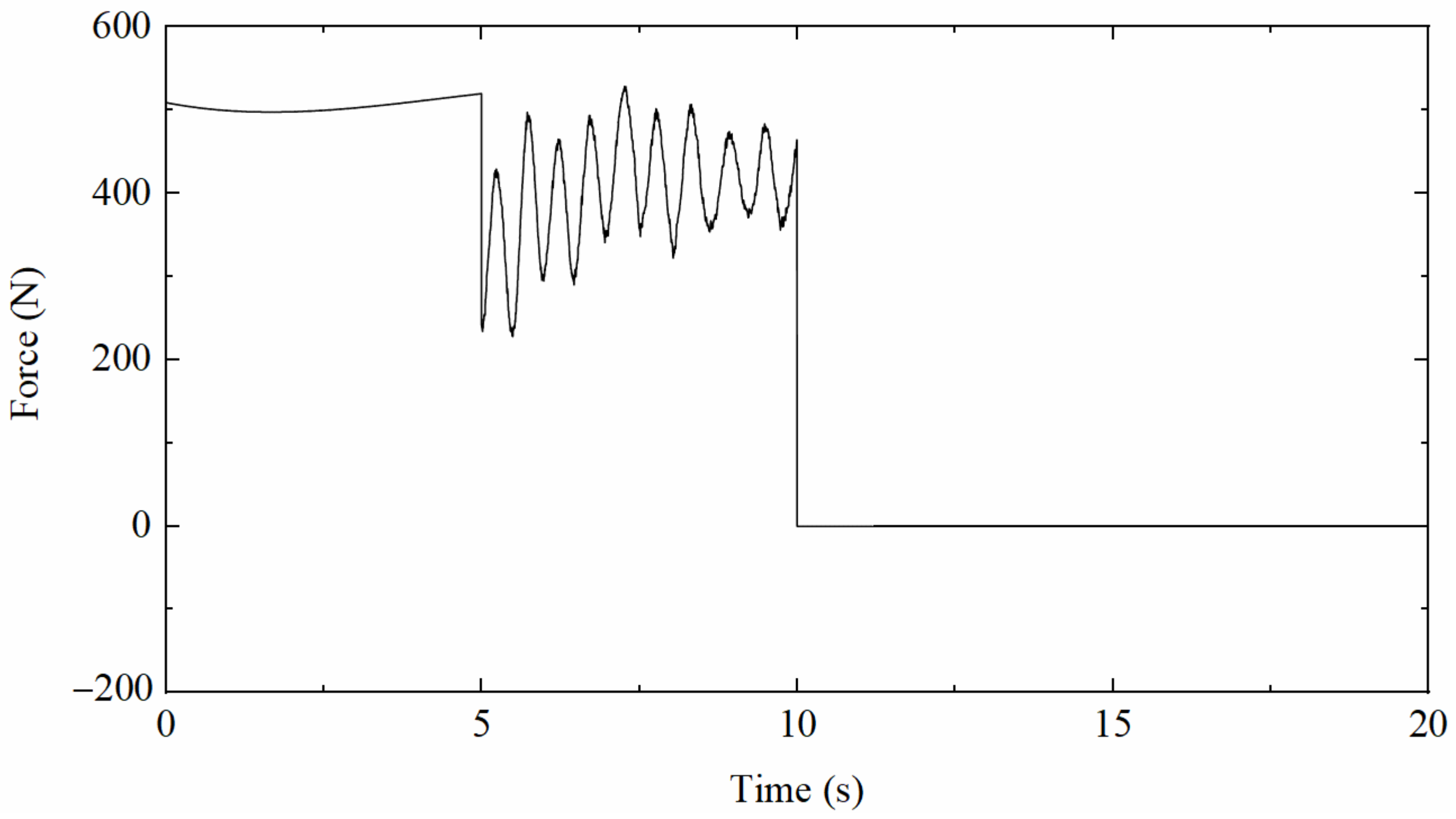
5.1. Experimental Setup
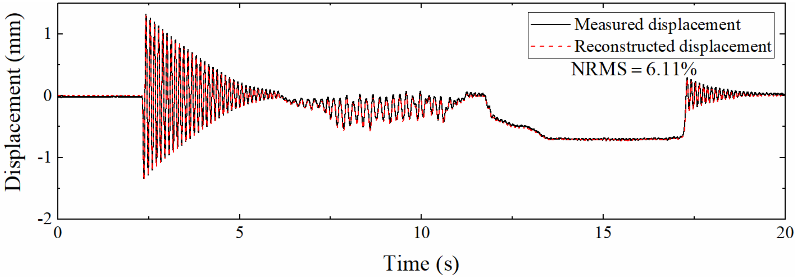
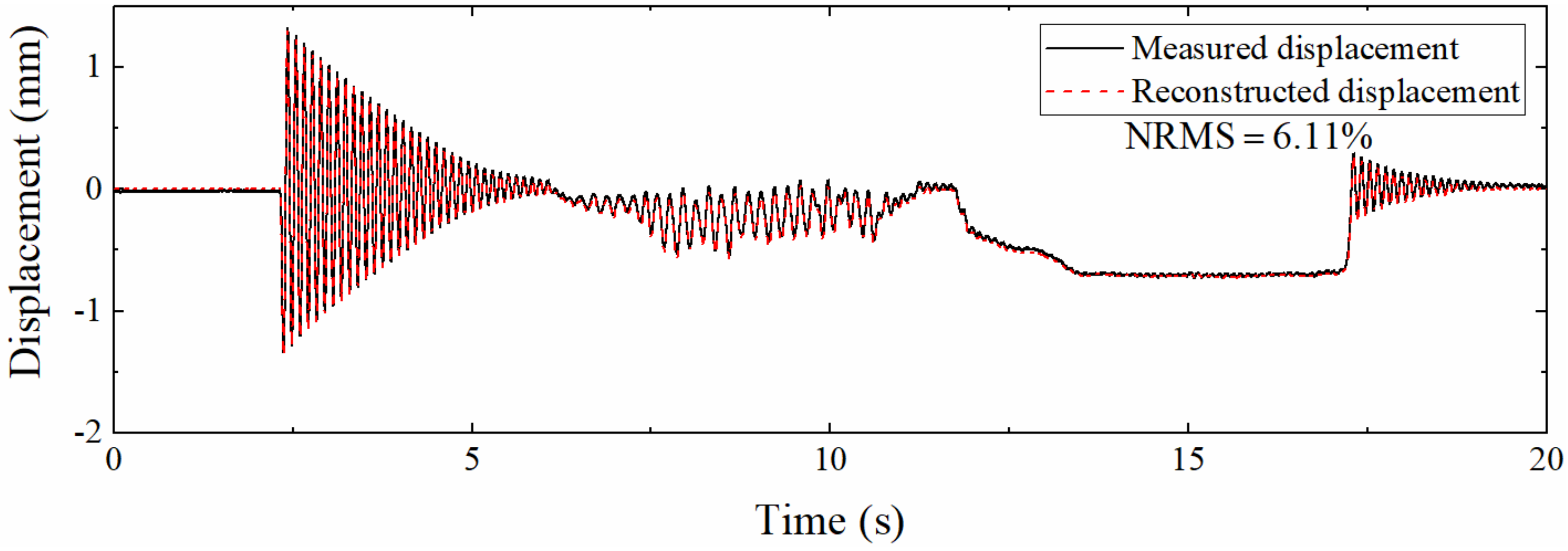
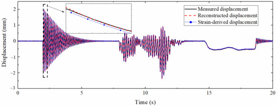
5.2. Displacement Reconstruction
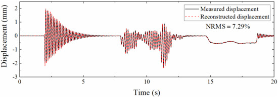
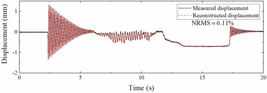
5.3. Results Analysis
6. Summary and Conclusions
Author Contributions
Funding
Institutional Review Board Statement
Informed Consent Statement
Data Availability Statement
Conflicts of Interest
References
- Law, S.S.; Ward, H.S.; Shi, G.B.; Chen, R.Z.; Waldron, P.; Taylor, C. Dynamic Assessment of Bridge Load-Carrying Capacities. II. J. Struct. Eng.-ASCE 1995, 121, 488–495. [Google Scholar] [CrossRef]
- Quan, Y.; Gu, M.; Tamura, Y. Experimental evaluation of aerodynamic damping of square super high-rise buildings. Wind Struct. Int. J. 2005, 8, 309–324. [Google Scholar] [CrossRef]
- Xie, Z.N.; Gu, M. Across-wind dynamic response of high-rise building under wind action with interference effects from one and two tall buildings. Struct. Des. Tall Spec. Build. 2009, 18, 37–57. [Google Scholar] [CrossRef]
- Chen, Y.L.; Abdelbarr, M.; Jahanshahi, M.R.; Masri, S.F. Color and depth data fusion using an RGB-D sensor for inexpensive and contactless dynamic displacement-field measurement. Struct. Control Health Monit. 2017, 24, e2000. [Google Scholar] [CrossRef]
- Oh, B.K.; Lee, S.H.; Park, H.S. Damage localization method for building structures based on the interrelation of dynamic displacement measurements using convolutional neural network. Struct. Control Health Monit. 2020, 27, 2578. [Google Scholar] [CrossRef]
- Shariati, A.; Schumacher, T. Eulerian-based virtual visual sensors to measure dynamic displacements of structures. Struct. Control Health Monit. 2017, 24, e1977. [Google Scholar] [CrossRef]
- Bond, J.; Kim, D.; Chrzanowski, A.; Szostak-Chrzanowski, A. Development of a Fully Automated, GPS Based Monitoring System for Disaster Prevention and Emergency Preparedness: PPMS + RT. Sensors 2007, 7, 1028–1046. [Google Scholar] [CrossRef] [Green Version]
- Garg, P.; Moreu, F.; Ozdagli, A.; Taha, M.R.; Mascareñas, D. Noncontact Dynamic Displacement Measurement of Structures Using a Moving Laser Doppler Vibrometer. J. Bridge Eng. 2019, 24, 04019089. [Google Scholar] [CrossRef]
- Stephen, G.A.; Brownjohn, J.M.W.; Taylor, C.A. Measurements of static and dynamic displacement from visual monitoring of the Humber Bridge. Eng. Struct. 1993, 15, 197–208. [Google Scholar] [CrossRef] [Green Version]
- Croker, M.D. Determination of displacement by double integration of accelerometer signals. J. Sound Vib. 1984, 93, 598–600. [Google Scholar] [CrossRef]
- Gomez, F.; Park, J.-W.; Spencer, B.F., Jr. Reference-free structural dynamic displacement estimation method. Struct. Control Health Monit. 2018, 25, e2209. [Google Scholar] [CrossRef]
- Park, J.-W.; Moon, D.-S.; Yoon, H.; Gomez, F.; Spencer, B.F., Jr.; Kim, J.R. Visual-inertial displacement sensing using data fusion of vision-based displacement with acceleration. Struct. Control Health Monit. 2018, 25, e2122. [Google Scholar] [CrossRef]
- Xia, Y.; Zhang, P.; Ni, Y.-Q.; Zhu, H.-P. Deformation monitoring of a super-tall structure using real-time strain data. Eng. Struct. 2014, 67, 29–38. [Google Scholar] [CrossRef] [Green Version]
- Kang, L.-H.; Kim, D.-K.; Han, J.-H. Estimation of dynamic structural displacements using fiber Bragg grating strain sensors. J. Sound Vib. 2007, 305, 534–542. [Google Scholar] [CrossRef]
- Hou, X.M.; Yang, X.S.; Huang, Q.X. Using Inclinometers to Measure Bridge Deflection. J. Bridge Eng. 2005, 10, 564–569. [Google Scholar] [CrossRef]
- Shin, S.; Lee, S.-U.; Kim, Y.; Kim, N.-S. Estimation of bridge displacement responses using FBG sensors and theoretical mode shapes. Struct. Eng. Mech. 2012, 42, 229–245. [Google Scholar] [CrossRef]
- Davis, M.A.; Kersey, A.D.; Sirkis, J.S.; Friebele, E.J. Shape and vibration mode sensing using a fiber optic Bragg grating array. Smart Mater. Struct. 1996, 5, 759–765. [Google Scholar] [CrossRef]
- Chung, W.; Kim, S.; Kim, N.-S.; Lee, H.-U. Deflection estimation of a full scale prestressed concrete girder using long-gauge fiber optic sensors. Constr. Build. Mater. 2008, 22, 394–401. [Google Scholar] [CrossRef]
- Kim, K.; Sohn, H. Dynamic displacement estimation by fusing LDV and LiDAR measurements via smoothing based Kalman filtering. Mech. Syst. Signal Process. 2017, 82, 339–355. [Google Scholar] [CrossRef]
- Kim, J.; Kim, K.; Sohn, H. Autonomous dynamic displacement estimation from data fusion of acceleration and intermittent displacement measurements. Mech. Syst. Signal Process. 2014, 42, 194–205. [Google Scholar] [CrossRef]
- Zheng, Z.P.; Qiu, H.; Wang, Z.C.; Luo, S.J.; Lei, Y. Data fusion based multi-rate Kalman filtering with unknown input for on-line estimation of dynamic displacements. Measurement 2019, 131, 211–218. [Google Scholar] [CrossRef]
- Xu, Y.; Brownjohn, J.M.W.; Hester, D.; Koo, K.Y. Long-span bridges: Enhanced data fusion of GPS displacement and deck accelerations. Eng. Struct. 2017, 147, 639–651. [Google Scholar] [CrossRef] [Green Version]
- Li, H.-N.; Wang, J.-X.; Fu, X.; Ren, L.; Zhang, Q. Field measurements of typhoon effects on a transmission tower and its modal parameter identification. Adv. Struct. Eng. 2020, 23, 1548–1561. [Google Scholar] [CrossRef]
- Zhang, Q.; Fu, X.; Ren, L.; Jia, Z.G. Modal parameters of a transmission tower considering the coupling effects between the tower and lines. Eng. Struct. 2020, 220, 110947. [Google Scholar] [CrossRef]
- Yang, X.-M.; Yi, T.-H.; Qu, C.-X.; Li, H.-N.; Liu, H. Modal Identification of High-Speed Railway Bridges through Free-Vibration Detection. J. Eng. Mech. 2020, 146, 04020107. [Google Scholar] [CrossRef]
- Magalhães, F.; Cunha, Á.; Caetano, E. Online automatic identification of the modal parameters of a long span arch bridge. Mech. Syst. Signal Process. 2009, 23, 316–329. [Google Scholar] [CrossRef]
- Hageman, R.B.; Drummen, I. Modal analysis for the global flexural response of ships. Mar. Struct. 2019, 63, 318–332. [Google Scholar] [CrossRef]
- Wang, Z.-C.; Geng, D.; Ren, W.-X.; Liu, H.-T. Strain modes based dynamic displacement estimation of beam structures with strain sensors. Smart Mater. Struct. 2014, 23, 125045. [Google Scholar] [CrossRef]
- Zhu, H.; Gao, K.; Xia, Y.; Gao, F.; Weng, S.; Sun, Y.; Hu, Q. Multi-rate data fusion for dynamic displacement measurement of beam-like supertall structures using acceleration and strain sensors. Struct. Health Monit.-Int. J. 2019, 19, 520–536. [Google Scholar] [CrossRef]






















| Signal to Noise Ratio (dB) | NRMS (%) |
|---|---|
| 5 | 5.43 |
| 20 | 3.04 |
| 50 | 2.09 |
| 100 | 1.49 |
| Scale | NRMS (%) |
|---|---|
| 3 | 1.49 |
| 20 | 2.09 |
| 50 | 2.71 |
| Distance from Left Support (m) | NRMS (%) |
|---|---|
| 0.2 | 1.61 |
| 0.4 | 1.31 |
| 0.6 | 1.34 |
| 0.8 | 1.49 |
| Data duration (s) | 20 | 40 | 60 |
| Processing time (s) | 3.2 | 4.1 | 5.4 |
| Scale | NRMS (%) |
|---|---|
| 3 | 3.93 |
| 10 | 4.25 |
| 20 | 4.79 |
| 50 | 7.29 |
| Distance from Left Support (m) | NRMS (%) |
|---|---|
| 0.2 | 6.11 |
| 0.4 | 5.43 |
| 0.6 | 4.98 |
| 0.8 | 3.93 |
Publisher’s Note: MDPI stays neutral with regard to jurisdictional claims in published maps and institutional affiliations. |
© 2022 by the authors. Licensee MDPI, Basel, Switzerland. This article is an open access article distributed under the terms and conditions of the Creative Commons Attribution (CC BY) license (https://creativecommons.org/licenses/by/4.0/).
Share and Cite
Zhang, Q.; Fu, X.; Sun, Z.; Ren, L. A Smart Multi-Rate Data Fusion Method for Displacement Reconstruction of Beam Structures. Sensors 2022, 22, 3167. https://doi.org/10.3390/s22093167
Zhang Q, Fu X, Sun Z, Ren L. A Smart Multi-Rate Data Fusion Method for Displacement Reconstruction of Beam Structures. Sensors. 2022; 22(9):3167. https://doi.org/10.3390/s22093167
Chicago/Turabian StyleZhang, Qing, Xing Fu, Zhiguo Sun, and Liang Ren. 2022. "A Smart Multi-Rate Data Fusion Method for Displacement Reconstruction of Beam Structures" Sensors 22, no. 9: 3167. https://doi.org/10.3390/s22093167
APA StyleZhang, Q., Fu, X., Sun, Z., & Ren, L. (2022). A Smart Multi-Rate Data Fusion Method for Displacement Reconstruction of Beam Structures. Sensors, 22(9), 3167. https://doi.org/10.3390/s22093167

